FIN 509 Class Web Page, Fall'22
Weekly SCHEDULE, LINKS, FILES and Questions
|
Week |
Coverage, HW, Supplements -
Required |
Equations and
Assignments |
|
||||||||||||||||||||||||||||||||||||||||||||||||||||||||||||||||||||||||||||||||||||||||||||||||||||||||||||||||||||||||||||||||||||||||||||||||||||||||||||||||||||||||||||||||||||||||||||||||||||||||||||||||||||||||||||||||||||||||||||||||||||||||||||||||||||||||||||||||||||||||||||||||||||||||||||||||||||||||||||||||||||||||||||||||||||||||||||||||||||||||||||||||||||||||||||||||||||||||||||||||||||||||||||||||||||||||||||||||||||||||||||||||||||||||||||||||||||||||||||||||||||||||||||||||||||||||||||||||||||||||||||||||||||||||||||||||||||||||||||||||||||||||||||||||||||||||||||||||||||||||||||||||||||||||||||||||||||||||||||||||||||||||||||||||||||||||||||||||||||||||||||||||||||||||||||||||||||||||||||||||||||||||||||||||||||||||||||||||||||||||||||||||||||||||||||||||||||||||||||||||||||||||||||||||||||||||||||||||||||||||||||||||||||||||||||||||||||||||||||||||||||||||||||||||||||||||||||||||||||||||||||||||||||||||||||||||||||||||||||||||||||||||||||||||||||||||||||||||||||
|
Weekly Thursday class url on blackboard
collaborate: https://us.bbcollab.com/guest/2331a0a851bb41eb95b1b6bc8f13a885 Weekly
Office Hour on Blackboard collaborate (Sunday 5PM-6PM) https://us.bbcollab.com/guest/596f3af0c7754b359b25a5edc33f612b Class Schedule:
|
Tamer
Inflation But Trouble Lies Ahead As Fed Has Overtightened Robert BaroneContributor Oct 1,
2022,11:16pm EDT (discussion
board assignment #2, suggested reading #2, FYI) Long-term (30 year) Treasuries closed at
3.78%, much lower than the 2-Yr. This is called an inverted yield curve and
only happens when the Federal Reserve is over-tightening. The inverted yield
curve is a very reliable indicator of an oncoming Recession. As we’ve said in past blogs,
the Fed appears to be fighting yesterday’s war. The July and August CPI,
taken together, were 0%. That said, On Friday morning (September 30), the
Fed’s preferred gauge of inflation, the PCE (Personal Consumption
Expenditures) Index came in at a mild +0.3%. Core PCE inflation (ex-food
& energy) rose 4.9% Y/Y. The trouble in the report was the M/M core rate
rose 0.6%. Now, this is a mixed message. The Y/Y isn’t bad, but the monthly
is. So, is the Fed now going to switch its view from looking at Y/Y numbers
to looking at monthly ones (i.e., always choosing the worst view)? We don’t
know the answer to that – but our gut feel is that they have already
overtightened policy. We see very little written
about the growing debt problem, but debt is a growth killer. With aging
demographics and labor shortages, growth is already a problem. Debt has risen
on household, corporate, and government balance sheets. The savings rate in
the U.S. (chart) is down to the 5.0% area, a post-pandemic low, and most of
such savings comes from the higher income earners. Lower income families have
either cut back or have borrowed heavily on their credit cards in order to keep
their living standards. Corporate cash flows are
dwindling relative to their liabilities (chart), leaving them little choice
but to borrow to expand, postpone any expansion, or, for most, look for ways
to cut costs. The latter means lowering labor costs either through shorter
hours (the workweek has been contracting), a slower increase in pay/benefits,
or directly through layoffs (which we expect to see as the Recession
unfolds). The worst trend we see is at
the Federal level. Debt there exploded during the 2.5 years since the
pandemic – by $7 trillion. The national debt is now $24 trillion; it was $17
trillion in February 2020; that’s a 41% increase in a very short period of
time. The gross cost of the debt in August was $88 billion. Because the Fed and
other agencies own a significant portion of the debt and return the interest
to the Treasury, the net interest expense was $63 billion in August, or $756
billion on an annualized basis. Let’s not forget that the Fed is reducing its
balance sheet at a rate of $95 billion/month, of which more than $60 billion
is from its Treasury holdings. As a result, the net cost to the Treasury will
be rising, even if the federal government runs a balanced budget (fat
chance!). As the Recession unfolds, tax revenue is going to fall. Capital
gains taxes have averaged about 12% of individual tax revenues; these will
dry up in the 2023 tax collection cycle given the losses sustained in both
the equity and fixed-income markets this year. Hence, the federal deficit is
likely to be quite large in 2023 (and 2024 due to the Recession). Some economists believe that as
long as the economy grows as fast or faster than the debt, the burden of the
debt as a percentage of GDP doesn’t grow, so the debt doesn’t become an
increasing burden as a percentage of GDP. This, we think, is true to some
extent. But the level of interest rates plays a big role here, and, rates
today/ are quite high when viewed against the potential growth rate of an
economy with demographic issues (the percentage of older citizens and a low
birth rate). Even the most optimistic pundits don’t think the potential
growth rate of the economy is greater than 2%. Our view is that it is likely
closer to 1%. In the short-run, that is moot, as 2022 and 2023 will likely
show negative growth. The current net annual interest
rate on the debt is more than 3% and rising as the Fed has pushed today’s
rates to the 4% area. Over the next couple of years deficits will rise as the
Recession and comatose markets reduce the tax take. In addition, the large
monthly reduction of Treasuries in the Fed’s balance sheet means the net cost
to the Treasury will be rising; it could be over $1 trillion soon (in a $6
trillion budget). That would be more than the annual cost of Social Security. Debt is a growth killer,
especially as interest rates rise, because it takes more and more of current
income to service that debt. That leaves less for households to consume and
for businesses to invest. Rapidly rising household, corporate, and especially
government debt hasn’t been written about or discussed much, perhaps because
interest rates were so low for so long. Debt, however, is going to be a big
issue in the foreseeable future. In our last blog, we discussed
some anomalies we saw in the Payroll Employment data. To reiterate, on a
not-seasonally adjusted basis (NSA), YTD through August, payrolls have risen
+2.2 million, but, seasonally adjusted (SA), that number is +3.5 million. The
difference is 1.3 million. Theoretically, over the year, the SA process is
supposed to net to zero with the NSA data. Seasonal factors adjust for
influences within the year itself – like retail sales around the holidays.
So, one of two things should happen 1) the seasonal factors will be negative
to the tune of 1.2 million payrolls in the September to December period
(that’s 300,000/month!) – this is highly unlikely even though it would appear
logical, or 2) the past data will get adjusted downward. For the Payroll data
in particular, the BLS changes the seasonal factors on a monthly basis (the
so-called “Concurrent Seasonal Adjustment Method”). They actually make
revisions to the data all the way back to January every single month, but
they only tell the public the revision for last month. There is a footnote in
their monthly release that says they don’t want to “confuse” the public! In
January of every year, they make all the revised data public for the entire
preceding year, but, by that time, nobody cares to even look! As we said in our last blog, we
are going to see the unemployment rate rise, likely much higher than the
Fed’s current 4.4% estimate. Until their September meeting, the Fed had a
3-handle on its unemployment forecast! So, this is their way of telling us
there won’t be a “soft-landing.” All the Regional Fed Manufacturing
Surveys (monthly) are telling the same story about supply chains. The graphs
below are from the Richmond Fed as this is the most recent of the regional
surveys. Note the rapid falloff in the charts for order backlogs and vendor
lead times. This indicates that supply chains are back to normal. New orders,
employment and prices paid and received have also weakened significantly in
each Regional Fed Survey. As noted by Chairman Powell at
the after-meeting press conference, inflation expectations have remained
well-anchored. This is key because expectations play a pivotal role in the
inflation process. One of our colleagues, Bob Khoury of Morgan Stanley, who
helps us in our fixed-income practice, emailed us the following note on
Friday (September 30): The Shrinking Money Supply The famous economist, Milton
Friedman, taught the economics world the importance of money. If there is too
much, we get inflation. If there isn’t enough for companies to borrow to
expand, the economy slows. This Fed has embarked on a policy of selling off
its portfolio of Treasury and Mortgage Backed Securities, which it built up
over the past decade. This is called Quantitative Tightening or simply QT,
and it shrinks the money supply. Friedman taught us that economic growth +
inflation is, in the long run, equal to the growth of the money supply. So,
if the economy can potentially grow at 2%, and the Fed wants 2% inflation,
then the money supply should grow at 4%. During the Covid episode, the money
supply grew at a significant double-digit rate; thus, the high rate of
current inflation. Now, on top of rising interest rates, the money supply is
shrinking (and M/M inflation is 0%) and it is going to shrink faster going
forward as the Fed has told us it will sell larger quantities of securities
from its portfolio in the months ahead. Besides the restrictive interest
rates, which markets and pundits are fixated on, we also have a shrinking
money supply. Every indicator is pointing to Recession. Final Thoughts As is apparent from the
incoming data, the economy has entered a Recession; it is still mild, but a
Recession nonetheless. The Fed, clearly ignoring the incoming data and
concentrating on backward looking indicators (i.e., the Y/Y rate of inflation
and the unemployment rate), has become more hawkish and has now told the
market that it intends to raise rates another 125 basis points before year’s
end and even more in 2023. The Summary of Economic Projections (the dot-plot)
from which the markets glean the Fed’s intentions, has historically had a 37%
correlation with what actually transpires as far as rates are concerned, and
it is clear that the FOMC members are nowhere near consensus for 2024 and
2025 rate levels. July’s M/M CPI was -0.1% and August’s was +0.1%. Over those
two months, the headline CPI was flat (i.e., 0%). Seems like the Fed should
recognize this, especially since monetary policy impacts the economy with
long and variable lags. Yet this Fed is still moving forward with
increasingly restrictive policy, seemingly impervious to the lagged impacts
of its prior rate hikes. We are already seeing the impacts of rising rates in
the housing market, and we have had two quarters in a row of negative GDP and
nearly daily evidence that the economy is weakening/contracting. Ultra-high
rates here are also causing chaos in the foreign exchange markets. Powell has referenced Paul
Volcker several times, both in public statements, and in his remarks to
Congress, holding Volcker out as a hero to be emulated. Volcker, of course,
did slay the inflation dragon, but the cost was two significant recessions in
the 1980s. Of greater import, Volcker knew that monetary policy acts with
long lags because he moved the Fed Funds rate down when the Y/Y inflation
metric was still over 11%! The continuance of ever more restrictive monetary
policy (including Quantitative Tightening (QT)), which has already pushed the
economy into the initial throes of Recession, will only make that Recession
deeper and longer. Factors that lead inflation
strongly suggest that the Y/Y trend in the CPI will be sliced below +2% next
year. The table shows what the backward-looking Y/Y rate would be, by month,
going forward, if the M/M rate of inflation remains at 0% as it has in July
and August. By the time the Fed pivots, as it awaits its 2% Y/Y goal, the
economy will be in deep Recession. Over the summer, the U.S. and
Europe experienced heat waves that ignited raging fires and caused undue
human suffering. In the U.S., in places like Texas, the extreme weather
forced power grid operators to implement rarely used emergency measures to
avoid rolling blackouts amid surging electricity demand. Wholesale
electricity prices skyrocketed to $5,000 per megawatt-hour as consumers
cranked up their AC to stay cool. ECB Officials
Lay Foundation for Significant October Rate Hike (discussion
board assignment #3, suggested reading #2, FYI) By Carolynn Look,September 30, 2022 at 7:13
AM EDT European Central Bank officials are already staking
out their positions before next month’s decision on interest rates, laying
the ground for another forceful hike as the euro-zone grapples with inflation
that’s just hit double digits. The vast majority of the ECB’s
25-member Governing Council delivered public remarks this week, with several
rallying around a second straight move of 75 basis points. Some policymakers remain wary
of rushing to lift borrowing costs as the energy crisis triggered by Russia’s
invasion of Ukraine brings a recession in the 19-member currency bloc ever
nearer. Consumer-price data Friday, however, hammered home the need for
action, revealing a record surge of 10% from a year ago in September. ECB policy makers that have
suggested a number for next month’s decision have all mentioned a
three-quarter-point rate hike President Christine Lagarde
kicked off the week by reiterating before European Union lawmakers that
borrowing costs will be lifted at the ECB’s next “several meetings” -- even
with economic activity expected to “slow substantially.” While she didn’t elaborate
further on the monetary-policy trajectory, some of her colleagues were less
reserved. Even before Eurostat revealed
the latest inflation record, Latvia’s Martins Kazaks and Lithuania’s
Gediminas Simkus both told Bloomberg they’re leaning toward another
three-quarter-point hike, joining their colleagues from Austria, Slovenia and
Slovakia. Estonia’s Madis Muller wants
“something in the same ballpark” as the ECB’s two steps to date -- 50 and 75
basis points -- a sentiment that’s shared by Finland’s Olli Rehn. Others
refrained from numerical preferences but contributed to the debate with calls
for “decisive action” -- including Bundesbank President Joachim Nagel. There was some pushback: Chief
Economist Philip Lane thinks it’s much too early to decide on the magnitude
of the next rate increase, going as far as to say that speculating on it is
“not particularly helpful.” Portugal’s Mario Centeno cautioned against rapid
moves that may need undoing later on. Investors noted the overall
tone, however, pricing in a 75 basis-point increase on Oct. 27. Beyond that, uncertainty
persists. Most officials said they’re prepared to push borrowing costs beyond
the neutral rate that neither stimulates nor restricts economic activity, if
inflation warrants such a move. While the majority declined to
take a stab at where the monetary-tightening cycle will peak, one did --
Pablo Hernandez de Cos. The Bank of Spain, which he heads, estimates that a
so-called terminal rate of 2.25% to 2.5% would bring inflation down to the
ECB’s 2% target by the end of 2024. De Cos warned, though, that
raising rates “immediately” to the terminal level isn’t advisable. Before it comes to October’s
decision, there’ll be a debate next week on how to shrink the ECB’s balance
sheet when policymakers gather for a catch-up in Cyprus. Lagarde on Monday
sounded wary on starting the process too quickly, though others are more keen
for it to happen sooner. |
|
|||||||||||||||||||||||||||||||||||||||||||||||||||||||||||||||||||||||||||||||||||||||||||||||||||||||||||||||||||||||||||||||||||||||||||||||||||||||||||||||||||||||||||||||||||||||||||||||||||||||||||||||||||||||||||||||||||||||||||||||||||||||||||||||||||||||||||||||||||||||||||||||||||||||||||||||||||||||||||||||||||||||||||||||||||||||||||||||||||||||||||||||||||||||||||||||||||||||||||||||||||||||||||||||||||||||||||||||||||||||||||||||||||||||||||||||||||||||||||||||||||||||||||||||||||||||||||||||||||||||||||||||||||||||||||||||||||||||||||||||||||||||||||||||||||||||||||||||||||||||||||||||||||||||||||||||||||||||||||||||||||||||||||||||||||||||||||||||||||||||||||||||||||||||||||||||||||||||||||||||||||||||||||||||||||||||||||||||||||||||||||||||||||||||||||||||||||||||||||||||||||||||||||||||||||||||||||||||||||||||||||||||||||||||||||||||||||||||||||||||||||||||||||||||||||||||||||||||||||||||||||||||||||||||||||||||||||||||||||||||||||||||||||||||||||||||||||||||||||||
|
Week 0 |
Market
Watch Game Use the information and directions
below to join the game. 1.
URL for
your game: 2. Password for this private game: havefun. 3. Click on the 'Join Now' button to get
started. 4. If you are an existing MarketWatch member, login. If you are a new user,
follow the link for a Free account - it's
easy! 5. Follow the instructions and start trading! How To Win The MarketWatch Stock
Trading Simulation Game (video, FYI)
MarketWatch Stock Game: Short
Selling Explained For Beginners (youtube)
Finviz is a comprehensive toolbox for investors and traders with a focus on US markets. Finviz's stock market portal offers many features from stock screeners, news feeds, portfolio management, stock charts, and more. Finviz's mission is to provide leading financial research, analysis, and visualization to its users. https://finmasters.com/finviz-review/ |
Pre-class assignment: Set up marketwatch.com account and have
fun |
|
||||||||||||||||||||||||||||||||||||||||||||||||||||||||||||||||||||||||||||||||||||||||||||||||||||||||||||||||||||||||||||||||||||||||||||||||||||||||||||||||||||||||||||||||||||||||||||||||||||||||||||||||||||||||||||||||||||||||||||||||||||||||||||||||||||||||||||||||||||||||||||||||||||||||||||||||||||||||||||||||||||||||||||||||||||||||||||||||||||||||||||||||||||||||||||||||||||||||||||||||||||||||||||||||||||||||||||||||||||||||||||||||||||||||||||||||||||||||||||||||||||||||||||||||||||||||||||||||||||||||||||||||||||||||||||||||||||||||||||||||||||||||||||||||||||||||||||||||||||||||||||||||||||||||||||||||||||||||||||||||||||||||||||||||||||||||||||||||||||||||||||||||||||||||||||||||||||||||||||||||||||||||||||||||||||||||||||||||||||||||||||||||||||||||||||||||||||||||||||||||||||||||||||||||||||||||||||||||||||||||||||||||||||||||||||||||||||||||||||||||||||||||||||||||||||||||||||||||||||||||||||||||||||||||||||||||||||||||||||||||||||||||||||||||||||||||||||||||||||
|
Week1,2 |
Chapter 5 Time value of money 1 Week 1 in class exercise (word file) Solution The time value of money -
German Nande (youtube)
Concept of FV, PV,
Rate, Nper Calculation of FV, PV,
Rate, Nper Concept of interest
rate, compounding rate, discount rate
Chapter 6 Time Value of Money 2 Concept of PMT, NPV Calculation of FV, PV,
Rate, Nper, PMT, NPV, NFV Concept of EAR, APR Calculation of EAR,
APR First Discussion Board Assignment (post your writing on blackboard
under discussion folder):
(due by 10/30/2022 at 11:59 pm)
Market Watch Game
Let's start trading in the stock
market! Please join a game and report back on your experience. Directions
Instructions
HOMEWORK of Chapters 5
and 6 (due on week 4, 10/30/2022) 1. The Thailand Co.
is considering the purchase of some new equipment. The quote consists of a
quarterly payment of $4,740 for 10 years at 6.5 percent interest. What is the
purchase price of the equipment? ($138,617.88) 2. The
condominium at the beach that you want to buy costs $249,500. You plan to
make a cash down payment of 20 percent and finance the balance over 10 years
at 6.75 percent. What will be the amount of your monthly mortgage
payment? ($2,291.89) 4. Shannon wants
to have $10,000 in an investment account three years from now. The account
will pay 0.4 percent interest per month. If Shannon saves money every month,
starting one month from now, how much will she have to save each month?
($258.81)
(Hint: Bridget’s is an annuity due, so abs(fv(8%/12, 10*12, 150, 0,
1)) --- type =1; Jordan’s is an ordinary annuity, so abs(fv(8%/12, 10*12,
150, 0) --- type =0, or omitted. There is a mistake in the help video for
this question. Sorry for the mistake.) 14. What is the
future value of weekly payments of $25 for six years at 10 percent? ($10,673.90) 15. At the end of
this month, Bryan will start saving $80 a month for retirement through his
company's retirement plan. His employer will contribute an additional $.25
for every $1.00 that Bryan saves. If he is employed by this firm for 25 more
years and earns an average of 11 percent on his retirement savings, how much
will Bryan have in his retirement account 25 years from
now? ($157,613.33) 16. Sky
Investments offers an annuity due with semi-annual payments for 10 years at 7
percent interest. The annuity costs $90,000 today. What is the amount of each
annuity payment? ($6,118.35) 17. Mr. Jones
just won a lottery prize that will pay him $5,000 a year for thirty years. He
will receive the first payment today. If Mr. Jones can earn 5.5 percent on
his money, what are his winnings worth to him
today? ($76,665.51) 18. You want to
save $75 a month for the next 15 years and hope to earn an average rate of
return of 14 percent. How much more will you have at the end of the 15 years
if you invest your money at the beginning of each month rather than the end
of each month? ($530.06) 19. What is the
effective annual rate of 10.5 percent compounded
semi-annually? (10.78%) 22. What is the
effective annual rate of 12.75 percent compounded daily? (13.60 percent) 23. Your
grandparents loaned you money at 0.5 percent interest per month. The APR on
this loan is _____ percent and the EAR is _____ percent. (6.00; 6.17) FYI only: help for homework Part 1(Qs
1-2) Part 2(Qs
4-8) Part 3(Qs 9-12) Part 4(Qs
13-16) Part 5(Qs
17-20) Part 6(Qs 21-24) (Q13: Bridget’s is an annuity
due, so abs(fv(8%/12, 10*12, 150, 0, 1)) --- type =1; Jordan’s is an ordinary
annuity, so abs(fv(8%/12, 10*12, 150, 0) --- type =0, or omitted. There is a
mistake in the help video for this question. Sorry for the mistake.) Quiz 1- Help Videos (Quiz
1 Due by the end of week 2 Sunday on 10/16/2022) |
Calculators Time
Value of Money Calculator © 2002 - 2019 by Mark A. Lane,
Ph.D. Math Formula FV = PV *(1+r)^n PV = FV /
((1+r)^n) N
= ln(FV/PV) / ln(1+r) Rate = (FV/PV)1/n -1 Annuity: N
= ln(FV/C*r+1)/(ln(1+r)) Or N
= ln(1/(1-(PV/C)*r)))/ (ln(1+r))
EAR = (1+APR/m)^m-1 APR = (1+EAR)^(1/m)*m Excel Formulas To get FV, use FV
function. =abs(fv(rate, nper,
pmt, pv)) To get PV, use PV
function = abs(pv(rate, nper,
pmt, fv)) To get r, use rate
function =
rate(nper, pmt, pv, -fv) To get number of years,
use nper function = nper(rate, pmt, pv,
-fv) To get annuity payment, use PMT
function = abs(pmt(rate, nper, pv,
-fv)) To get Effective rate (EAR), use
Effect
function =
effect(nominal_rate, npery) To get annual percentage rate
(APR), use nominal function APR = nominal(effective rate, npery) |
|
||||||||||||||||||||||||||||||||||||||||||||||||||||||||||||||||||||||||||||||||||||||||||||||||||||||||||||||||||||||||||||||||||||||||||||||||||||||||||||||||||||||||||||||||||||||||||||||||||||||||||||||||||||||||||||||||||||||||||||||||||||||||||||||||||||||||||||||||||||||||||||||||||||||||||||||||||||||||||||||||||||||||||||||||||||||||||||||||||||||||||||||||||||||||||||||||||||||||||||||||||||||||||||||||||||||||||||||||||||||||||||||||||||||||||||||||||||||||||||||||||||||||||||||||||||||||||||||||||||||||||||||||||||||||||||||||||||||||||||||||||||||||||||||||||||||||||||||||||||||||||||||||||||||||||||||||||||||||||||||||||||||||||||||||||||||||||||||||||||||||||||||||||||||||||||||||||||||||||||||||||||||||||||||||||||||||||||||||||||||||||||||||||||||||||||||||||||||||||||||||||||||||||||||||||||||||||||||||||||||||||||||||||||||||||||||||||||||||||||||||||||||||||||||||||||||||||||||||||||||||||||||||||||||||||||||||||||||||||||||||||||||||||||||||||||||||||||||||||||
|
Week3 |
Chapter 7 Bond
Pricing
Yield Curve http://finra-markets.morningstar.com/BondCenter/Default.jsp Balance Sheet of WalMart https://www.nasdaq.com/market-activity/stocks/wmt/financials
For
discussion: · What is this “long term debt”? · Who is the lender of this “long term debt”? So
this long term debt is called bond in the financial market. Where can you
find the pricing information and other specifications of the bond issued by
WMT? FINRA – Bond market information http://finra-markets.morningstar.com/BondCenter/Default.jsp Go to http://finra-markets.morningstar.com/BondCenter/Default.jsp , the bond market data website of FINRA to find bond
information. For example, find bond sponsored by Wal-mart Or, just go to www.finra.org, č Investor center č market data č bond č corporate bond Corporate
Bond
1.
Understand
what is coupon, coupon rate, yield, yield to maturity, market price, par
value, maturity, annual bond, semi-annual bond, current yield. Refer
to the following bond at http://finra-markets.morningstar.com/BondCenter/BondDetail.jsp?ticker=C104227&symbol=WMT.GP
The above graph shows the cash flows of a five year 5% coupon
bond. How
Bonds Work (video) Investing Basics: Bonds(video) In class exercise: 1.
Find bonds
sponsored by WMT ·
just
go to www.finra.org, č Investor
center č market
data č bond č corporate bond ·
Search
for Walmart bonds For discussion: ·
What
are the ratings of the WMT bonds? How does the rating agency rate a bond? Altman Z Score video
(video) ·
FYI ·
Walmart Altman Z-Score : 4.37 (As of Today
10/17/2022) ·
Walmart has a Altman Z-Score of 4.37,
indicating it is in Safe Zones. This implies the Altman Z-Score is strong. ·
The zones of discrimination were as such: ·
When Altman Z-Score <= 1.8, it is in
Distress Zones. ·
When Altman Z-Score >= 3, it is in Safe
Zones. ·
When Altman Z-Score is between 1.8 and 3,
it is in Grey Zones. ·
The historical rank and industry rank for
Walmart's Altman Z-Score or its related term are showing as below: ·
WMT' s Altman Z-Score Range Over the Past
10 Years ·
Min: 3.9
Med: 4.85 Max: 8.85 ·
Current: 4.36 ·
During the past 13 years, Walmart's
highest Altman Z-Score was 8.85. The lowest was 3.90. And the median was
4.85. https://www.gurufocus.com/term/zscore/NYSE:WMT/Altman-Z-Score ·
Why
some WMT bonds are priced higher than the par value, while others are priced
at a discount? ·
Why
some WMT bonds have higher coupon rates than other bonds? How does WMT
determine the coupon rates? ·
Why
some WMT bonds have higher yields than other bonds? Does a bond’s yield
change daily? ·
Which
of the WMT bonds are the most attractive one to you? Why? http://finra-markets.morningstar.com/BondCenter/BondDetail.jsp?ticker=C610043&symbol=WMT4117477 2. 2.
Understand what is coupon, coupon rate, yield, yield to maturity, market
price, par value, maturity, annual bond, semi-annual bond, current yield. 3. 3.
Understand how to price bond Bond
price = abs(pv(yield, maturity, coupon, 1000)) ------- annual coupon Bond
price = abs(pv(yield/2, maturity*2, coupon/2, 1000)) ------- semi-annual
coupon Also change the yield and observe the
price changes. Summarize the price change pattern and draw a graph to
demonstrate your findings. Again, when yield to maturity of
this semi_annual coupon bond is 4%, how should this WMT bond
sell for? 4. Understand
how to calculate bond returns Yield
to maturity = rate(maturity, coupon, -market price, 1000) ----
annual coupon Yield
to maturity = rate(maturity*2, coupon/2, -market price, 1000)*2
----- semi-annual coupon Bond
Calculator (www.jufinance.com/bond) For example, when the annual coupon bond
is selling for $1,100, what is its return to investors? For example, when the semi-annual
coupon bond is selling for $1,100, what is its return to investors? 5. Current
yield: For the above bond, calculate current yield. Note: current yield = coupon/bond price 6. Zero
coupon bond: coupon=0 and treat it as semi-annual coupon bond. Example:
A ten year zero coupon bond is selling for $400. How much is its yield to
maturity? A ten year zero coupon bond’s yield to
maturity is 10%. How much is its price? 7. Understand
what is bond rating and how to read those ratings. a. Who
are Moody, S&P and Fitch? b. What
is WMT’s rating? c. Is
the rating for WMT the highest? d. Who
earned the highest rating? Supplement:
Municipal Bond
For class
discussion: · Shall you
invest in municipal bonds? · Are
municipal bonds better than investment grade bonds? The
risks investing in a bond · Bond investing: credit Risk (video) · Bond investing: Interest rate risk (video) · Bond investing:
increased risk (video) Market data
website: 1. FINRA http://finra-markets.morningstar.com/BondCenter/Default.jsp (FINRA bond market data) 2. WSJ Market watch on Wall Street Journal has daily yield curve and bond
yield information. http://www.marketwatch.com/tools/pftools/ https://www.youtube.com/watch?v=yph8TRldW6k 3. Bond Online http://www.bondsonline.com/Todays_Market/ Homework ( due by 10/30/2022) 1. Firm AAA’s bonds price =
$850. Coupon rate is 5% and par is $1,000. The bond has six years
to maturity. Calculate for current yield? (5.88%) 2. For a zero coupon bond, use
the following information to calculate its yield to maturity. (14.35%) Years left to maturity = 10 years.
Price = $250. 3. For a zero coupon
bond, use the following information to calculate its price. ($456.39)
Years left to maturity = 10 years. Yield = 8%. 4. Imagine that an annual
coupon bond’s coupon rate = 5%, 15 years left. Draw price-yield profile.
(hint: Change interest rate, calculate new price and draw the graph). 5. IBM
5 year 2% annual coupon bond is selling for $950. How much
this IBM bond’s YTM? 3.09% 6. IBM 10 year 4% semi-annual coupon
bond is selling for $950. How much is this IBM bond’s YTM? 4.63% 7. IBM 10 year 5% annual coupon
bond offers 8% of return. How much is the price of this
bond? 798.7 8. IBM 5 year 5% semi-annual coupon
bond offers 8% of return. How much is the price of this bond? $878.34 9. IBM 20 year zero coupon bond
offers 8% return. How much is the price of this bond? 208.29 10. Collingwood Homes has a
bond issue outstanding that pays an 8.5 percent coupon and matures in 18.5
years. The bonds have a par value of $1,000 and a market price of $964.20.
Interest is paid semiannually. What is the yield to maturity? (8.90%) 11. Grand Adventure Properties
offers a 9.5 percent coupon bond with annual payments. The yield to maturity
is 11.2 percent and the maturity date is 11 years from today. What is the
market price of this bond if the face value is $1,000? ($895.43) 12. The zero coupon bonds of D&L
Movers have a market price of $319.24, a face value of $1,000, and a yield to
maturity of 9.17 percent. How many years is it until these bonds
mature? (12.73 years) 13. A zero coupon bond with a face
value of $1,000 is issued with an initial price of $212.56. The bond matures
in 25 years. What is yield to maturity? (6.29%) 14. The
bonds issued by Stainless Tubs bear a 6 percent coupon, payable semiannually.
The bonds mature in 11 years and have a $1,000 face value. Currently, the
bonds sell for $989. What is the yield to maturity? (6.14%) Videos
--- homework help (due by ) Part
I Q1-Q2
Q3-Q4 Q5-Q8 Q9-Q14 Quiz
2- Help Video (Quiz 2 Due by the end of week 3 Sunday on 10/23/2022) |
Bond Pricing Formula (FYI)
Bond Pricing Excel Formula Summary of
bond pricing excel functions To calculate bond price (annual coupon bond): Price=abs(pv(yield
to maturity, years left to maturity, coupon rate*1000, 1000) To calculate yield to maturity (annual coupon bond):: Yield
to maturity = rate(years left to maturity, coupon rate *1000, -price, 1000) To calculate bond price (semi-annual coupon bond): Price=abs(pv(yield
to maturity/2, years left to maturity*2, coupon rate*1000/2,
1000) To calculate yield to maturity (semi-annual coupon
bond): Yield
to maturity = rate(years left to maturity*2, coupon rate *1000/2,
-price, 1000)*2 To calculate number of years left(annual coupon bond) Number
of years =nper(yield to maturity, coupon rate*1000, -price, 1000) To calculate number of years left(semi-annual coupon bond) Number
of years =nper(yield to maturity/2, coupon rate*1000/2, -price,
1000)/2 To calculate coupon (annual coupon bond) Coupon
= pmt(yield to maturity, number of years left, -price, 1000) Coupon
rate = coupon / 1000 To calculate coupon (semi-annual coupon bond) Coupon
= pmt(yield to maturity/2, number of years left*2, -price, 1000)*2 Coupon
rate = coupon / 1000 Analysis: U.S. yield curve flashing more
warning signs of recession risks ahead (FYI) By Davide Barbuscia, 7/28/2022 NEW YORK, July 27 (Reuters) - The U.S. government bond market is sending a fresh batch of signals
that investors are increasingly convinced the Federal Reserve's aggressive
actions to tame inflation will result in recession. The shape of the yield curve, which plots the return on all
Treasury securities, is seen as an indicator of the future state of health of
the economy, as inversions of the
curve have been a reliable sign of looming recession. While Fed Chair Jerome Powell on Wednesday said that he does not
see the economy currently in a recession, spreads between different pairings
of Treasury securities - and derivatives tied to them - have in past weeks moved
into or toward an "inversion" when the shorter dated of the pair yields
more than the longer one. These join another widely followed yield spread
relationship - between 2- and 10-year notes - that has been in inversion for
most of this month. read more "Curves are flattening and some are negative. They're
ultimately all telling you the same thing," said Eric Theoret, global
macro strategist at Manulife Investment Management. A steepening curve
typically reflects expectations of stronger economic activity, higher
inflation and interest rates. A flattening curve can signal expectations of
rate hikes in the near term and a weaker economic outlook. The Fed is aiming to
achieve a so-called "soft landing" that does not entail an outright
contraction in U.S. economic output and the rise in joblessness that
typically accompanies that. But the moves in the bond market over the past
week show waning confidence in the Fed's ability to achieve so benign an
outcome. Some of those moves reversed slightly on Wednesday, with rates
at the short end of the curve turning lower on expectations of the Fed being
less likely to continue with super-sized hikes. On Wednesday the Fed raised its benchmark overnight interest
rate by 0.75% to a range of between 2.25% and 2.50% as it flagged weakening
economic data. Powell said on Wednesday that achieving a soft landing for the
economy was challenging. The curve is
indicating that the Fed will have to start cutting rates after hiking. The part of the U.S.
Treasury yield curve that compares yields on two-year Treasuries with yields
on 10-year government bonds has been inverted for most of the past month and
is around the most negative its been since 2000 on a closing price basis. Powell, however, has in recent months said that the short-end of
the yield curve was a more reliable warning of an upcoming recession. "The first 18 months of the yield curve has 100% of the
explanatory power of the yield curve, and it makes sense ... because if it's
inverted that means the Fed is going to cut which means the economy is
weak", he said in March. Some analysts pointed
to another measure, the differential between what money markets expect the
three-month federal funds rate to be in 18 months and the current three-month
federal funds rate. That went briefly into negative territory on Tuesday,
said George Goncalves, head of U.S. Macro Strategy at MUFG. That spread - measured
through overnight indexed swap (OIS) rates, which reflect traders'
expectations on the federal funds rate - was about 230 basis points in March. "It's very similar to looking at the Treasury curve, these
are all curves that trade with tiny spreads with each other," said
Subadra Rajappa head of U.S. rates strategy at Societe Generale. Another measurement of
the curve, the 2-year forward rate for 3-month bills , is around the flattest
since June 2021. Fed economists have
said that near-term forward yield spreads - namely the differential between
the three-month Treasury yield and what the market expects that yield to be
in 18 months - are more reliable predictors of a recession than the
differential between long-maturity Treasury yields and their short-maturity
counterparts. That spread has not gone negative, though it has narrowed
significantly from over 250 basis points in March to about 70 basis points
this week, said MUFG's Goncalves. Another part of the curve that compares the yield on three-month
Treasury bills and 10-year notes has flattened dramatically over the past few
weeks, from nearly 220 basis points in May to around 15 basis points this
week although it steepened after Powell's remarks. Separately, futures contracts tied to the Fed's policy rate
showed this week that benchmark U.S. interest rates will peak in January
2023, earlier than the February reading they gave last week. read more "Inverting yield curves, rising inflation, weakening
housing data, and slumping surveys have all driven the increase (in recession
probability) in the US," wrote Credit Suisse analysts in a research note
on Tuesday, forecasting that the probability of the United States being in
recession 6 and 12 months ahead is approximately 25%. "It is likely
recession probabilities rise further in the coming months if policy rate
hikes cause further curve inversion and cyclical data continue to
deteriorate," they added. Protection for Inflation, With Some
Leaks (FYI) A TIPS fund can shield
investors from inflation to some extent, but so can other choices, like real
estate, dividend-paying stocks and commodities. Credit...Ben Konkol, By Tim
Gray, Jan. 14, 2022 https://www.nytimes.com/2022/01/14/business/mutual-funds/inflation-tips-fund-etf.html Judged by their name alone,
Treasury Inflation-Protected Securities would seem a cure for one of today’s
main investor anxieties: inflation. Alas, that name doesn’t tell
all you need to know. A mutual fund or
exchange-traded fund that invests in TIPS can help prevent rising prices from
eroding the value of your investment portfolio. And inflation is a worry
today: It’s running at an annual rate of 7 percent, a level not seen since
1982. That’s when “E.T.” landed in movie theaters and Michael Jackson’s
“Thriller” thrummed on radios. But TIPS funds and E.T.F.s
aren’t the best inflation fighters for every investor, and TIPS, a kind of
bond issued by the U.S. Treasury, have complexities that belie their
plain-as-boiled-potatoes label. People assume “just because
inflation goes up, you’ll do well” with TIPS, said Lynn K. Opp, a financial
adviser with Raymond James in Walnut Creek, Calif. But other factors, like
rising interest rates, can sap TIPS’s returns, she said. Plus, TIPS are expensive when compared with standard Treasuries in that
they pay less interest, Ms. Opp said. In the first week of January, a
five-year TIPS was yielding minus 1.7 percent, while a five-year Treasury was
yielding 1.4 percent. In effect, TIPS investors were paying the Treasury to
hold their money. In 2020, net new flows of about
$22 billion gushed into them, according to Morningstar. In just the first 10
months of 2021, those flows nearly tripled, to $61 billion. Performance may have been the
draw: The average TIPS fund tracked by Morningstar returned 5.5 percent in
2021, compared with a loss of 1.5 percent for the Bloomberg Barclays
Aggregate Bond Index, a well-known bond index. To understand TIPS funds or
E.T.F.s, it helps to understand the underlying inflation-protected
securities. The
U.S. Treasury adjusts the principal of a TIPS twice a year based on the most
recent reading of the Consumer Price Index, a government measure of
inflation.
When the C.P.I. climbs, the principal
ratchets up. And when the index falls — because prices are falling — it
ratchets down. “The interest payments can
change,” said Gargi Chaudhuri, head of iShares investment strategy, Americas,
for BlackRock, because those payments are based on principal that can change
with inflation. “If you look back a decade,
inflation expectations sat above where inflation rolled in year after year,”
said Steve A. Rodosky, a co-manager of PIMCO’s Real Return Fund. “So people
would’ve been better off owning nominal Treasuries.” (“Nominal” is
professionals’ term for noninflation-protected bonds.) Perhaps TIPS’s most confusing
quality is the nature of their inflation protection. It
might seem that a TIPS fund would work like hiking pants that zip off into
shorts: right for whatever (inflationary) conditions arise. But what sets
TIPS apart is the protection they afford against unexpected inflation, said
Roger Aliaga-Diaz, chief economist for Vanguard. Market prices for all assets
adjust, to some extent, to reflect anticipated inflation. Prices for standard
bonds, for example, fall to compensate for the fact that inflation has
purloined part of their original yields. Prices for TIPS fall, too, though
the crucial difference is that their inflation adjustments help compensate
for that. (Bond prices and yields move in opposite directions.) Whether
you opt for a TIPS fund in your portfolio will probably turn on your age and
expectations about inflation. Retirees
and people approaching retirement might choose one because its value should be
less volatile than that of other assets that can help buffer inflation, like
stocks and commodities, said Mr. Aliaga-Diaz. Vanguard’s Target
Retirement 2015 Fund, a so-called target-date fund, allocates 16 percent of
its asset value to TIPS. Jennifer Ellison, a financial
adviser in Redwood City, Calif., said her firm, Cerity Partners, currently
recommends that clients keep 15 percent to 20 percent of the bond portion of
their portfolios in TIPS funds. “But we have been as low as 10 percent at
times,” she said. A
young person might not want any allocation to a TIPS fund, preferring stock
funds as inflation insurance instead. “Over the longer term, there’s been no better way to protect oneself
from inflation than to have an allocation to stocks, because corporate
earnings tend to grow at a rate that outpaces inflation, and stocks have
appreciated at a rate that well outpaces inflation,” said Ben Johnson,
director of global E.T.F. research for Morningstar. Even
for retirees, a less volatile sort of stock fund, like one that invests in
dividend payers, might blunt inflation better than a TIPS fund, Mr. Johnson
said. “Among our favorites is the
Vanguard Dividend Appreciation E.T.F.,” he said. “It owns stocks that have
grown their dividends for at least 10 years running. That’s a way to dial
down a bit of risk while maintaining some equity exposure.” Another stock option is
Fidelity’s Stocks for Inflation E.T.F., which holds shares of companies in
industries that tend to outperform during inflationary times. If
you go for a TIPS fund, pick one with low costs, Mr. Johnson
said. Costs always matter in investing, but they’re especially important here
because all these funds, in the main, do the same thing: They buy a single
sort of Treasury security. “In the TIPS market itself,
it’s exceedingly difficult to add value,” he said. Portfolio managers are
thus often allowed to add in a slug of other sorts of bonds, as well as
derivative securities. “But you do add risk by doing that.” Among
the cheaper TIPS offerings are the iShares 0-5 Year TIPS Bond E.T.F., the
Vanguard Short-Term Inflation-Protected Securities E.T.F. and the Schwab U.S.
TIPS E.T.F. All three have expense ratios of 0.05 percent or less. Inflation expectations present
a harder puzzle for investors than your expected retirement date. In
theory, if you think inflation will exceed the market’s expectations, a TIPS
fund would be a good bet. Investment
pros make this assessment by checking the break-even inflation rate — the
difference between the yields on TIPS and nominal Treasuries. “It’s the rate of inflation you need to average for TIPS to outperform
nominal Treasuries over the period for which you’re investing,” said
Kathy Jones, chief fixed income strategist at the Schwab Center for Financial
Research. In the first week of
January, that rate was about 3 percent for five-year Treasuries versus
five-year TIPS. People
who think inflation will exceed that level for the next five years might want
a TIPS fund.
(They also might want to ask themselves why their inflation intuition is
better than the market’s.) Another vexation is how TIPS
funds state their yields. The
U.S. Securities and Exchange Commission mandates a standard formula for computing
yields — the 30-day yield. That formula doesn’t work well for TIPS offerings
because the regular principal adjustments to the underlying securities can
distort its result. Some fund companies calculate
the 30-day yield including the principal adjustments; some don’t. State Street Global Advisors,
which sponsors the SPDR Portfolio TIPS E.T.F., is one that doesn’t. “In our view, it’s more
conservative to not include the inflation adjustment,” said Matthew
Bartolini, head of SPDR Americas research for State Street. “Including it can
lead to a misleading statistic — it’s likely to overstate the eventual yield
of the fund.” Perhaps
the crucial fact to know about TIPS funds is the most basic one: They’re bond
offerings, buffeted by the same macrofactors that buffet other bonds. “If
interest rates go up, the price is going to go down, pretty much irrespective
of what happens to inflation,” said Ms. Jones of the Schwab Center. She cautioned, too, that
“there’s no guaranteed way to beat inflation.” A TIPS fund might help. So
might an appropriate stock fund. “Having some allocation to things like
real-estate investment trusts and precious metals makes sense, too, but
that’s not necessarily going to beat inflation, either,” she said. FYI: I bond I Bond: What It Is,
How It Works, Where to Buy By ADAM HAYES Updated September 18, 2022,
Reviewed by ROGER WOHLNER, Fact checked by SUZANNE KVILHAUG https://www.investopedia.com/terms/s/seriesibond.asp What Is a Series I Bond? A series I bond is a non-marketable, interest-bearing U.S.
government savings bond that earns a combined fixed interest rate and
variable inflation rate (adjusted semiannually). Series I bonds are meant to give
investors a return plus protection from inflation. Most Series I bonds are issued
electronically, but it is possible to purchase paper certificates with a
minimum of $50 using your income tax refund, according to Treasury Direct. KEY TAKEAWAYS ·
A series I bond is a non-marketable, interest-bearing U.S.
government savings bond. ·
Series I bonds give investors a return plus inflation protection
on their purchasing power and are considered a low-risk investment. ·
The bonds cannot be bought or sold in the secondary markets. ·
Series I bonds earn a fixed interest rate for the life of the
bond and a variable inflation rate that is adjusted each May and November. ·
These bonds have a 20-year initial maturity with a 10-year
extended period for a total of 30 years. How Do I Bonds Work? I bonds are issued at a fixed interest rate for up to 30 years,
plus a variable inflation rate that is adjusted each May and November. This gives the
bondholder some protection from the effects of inflation. Understanding Series I Bonds Series I bonds are non-marketable bonds that are part of the
U.S. Treasury savings bond program designed to offer low-risk investments. Their
non-marketable feature means they cannot be bought or sold in the secondary
markets. The two types of interest that a Series I bond earns are an interest
rate that is fixed for the life of the bond and an inflation rate that is
adjusted each May and November based on changes in the non-seasonally
adjusted consumer price index for all urban consumers (CPI-U). The fixed-rate component of the Series I bond is determined by
the Secretary of the Treasury and is announced every six months on the first
business day in May and the first business day in November. That fixed rate
is then applied to all Series I bonds issued during the next six months is
compounded semiannually and does not change throughout the life of the bond. Like the fixed interest rate, the inflation rate is announced twice a
year in May and November and is determined by changes to the Consumer Price
Index (CPI), which is used to gauge inflation in the U.S. economy. The
change in the inflation rate is applied to the bond every six months from the
bond's issue date. Where Can I Buy Series I Savings Bonds? U.S. savings bonds, including Series I bonds, can only be
purchased online from the U.S. Treasury, using the TreasuryDirect website. You can also use your
federal tax refund to purchase Series I bonds. |
|
||||||||||||||||||||||||||||||||||||||||||||||||||||||||||||||||||||||||||||||||||||||||||||||||||||||||||||||||||||||||||||||||||||||||||||||||||||||||||||||||||||||||||||||||||||||||||||||||||||||||||||||||||||||||||||||||||||||||||||||||||||||||||||||||||||||||||||||||||||||||||||||||||||||||||||||||||||||||||||||||||||||||||||||||||||||||||||||||||||||||||||||||||||||||||||||||||||||||||||||||||||||||||||||||||||||||||||||||||||||||||||||||||||||||||||||||||||||||||||||||||||||||||||||||||||||||||||||||||||||||||||||||||||||||||||||||||||||||||||||||||||||||||||||||||||||||||||||||||||||||||||||||||||||||||||||||||||||||||||||||||||||||||||||||||||||||||||||||||||||||||||||||||||||||||||||||||||||||||||||||||||||||||||||||||||||||||||||||||||||||||||||||||||||||||||||||||||||||||||||||||||||||||||||||||||||||||||||||||||||||||||||||||||||||||||||||||||||||||||||||||||||||||||||||||||||||||||||||||||||||||||||||||||||||||||||||||||||||||||||||||||||||||||||||||||||||||||||||||||
|
Week 4 |
Chapter 8 Stock
Valuation Part
I Dividend payout and Stock Valuation For class
discussion: · Why can we
use dividend to estimate a firm’s intrinsic value? · Are
future dividends predictable? F Dividend History
·
EX-DIVIDEND DATE 08/10/2022 ·
DIVIDEND YIELD 4.92% ·
ANNUAL DIVIDEND $0.60 ·
P/E RATIO 4.36 https://www.nasdaq.com/market-activity/stocks/f/dividend-history
Wal-Mart Dividend History · Refer
to the following table for Wal-mart
(WMT’s dividend history) http://stock.walmart.com/investors/stock-information/dividend-history/default.aspx
WMT Dividend History
https://www.nasdaq.com/market-activity/stocks/wmt/dividend-history WMT Dividend History
·
EX-DIVIDEND DATE 08/11/2022 ·
DIVIDEND YIELD 1.64% ·
ANNUAL DIVIDEND $2.24 ·
P/E RATIO 27.83
For class discussion: What conclusions can be drawn from
the above information? Can we figure out the stock price of
Wal-Mart based on dividend, with reasonable assumptions? Stock Splits
Wal-Mart
Stores, Inc. was incorporated on Oct. 31, 1969. On Oct. 1, 1970, Walmart
offered 300,000 shares of its common stock to the public at a price of $16.50
per share. Since that time, we have had 11 two-for-one (2:1) stock splits. On
a purchase of 100 shares at $16.50 per share on our first offering, the
number of shares has grown as follows:
Can you estimate the
expected dividend in 2022? And in 2023? And on and on…
Can you write down the math equation
now? WMT stock price = ? WMT
stock price = npv(return, D1, D2, …D∞) WMT
stock price = D1/(1+r) + D2/(1+r)2
+ D3/(1+r)3 + D4/(1+r)4 + … Can you calculate now? It is hard
right because we assume dividend payment goes to infinity. How can we
simplify the calculation? We can assume that dividend grows at
certain rate, just as the table on the right shows. Discount rate is r (based on Beta and
CAPM that we will learn in chapter 13) https://www.nasdaq.com/market-activity/stocks/wmt
What
does each item indicate? From
finviz.com https://finviz.com/quote.ashx?t=WMT
Part II: Constant Dividend
Growth-Dividend growth model Calculate
stock prices 1) Given next dividends and price Po= Po= Po= Po= ……
Refer to http://www.calculatinginvestor.com/2011/05/18/gordon-growth-model/ · Now let’s apply this Dividend
growth model in problem solving. Constant dividend
growth model calculator (www.jufinance.com/stock) Equations ·
Po=
D1/(r-g) or Po= Do*(1+g)/(r-g) ·
r
= D1/Po+g = Do*(1+g)/Po+g · g= r-D1/Po = r-
Do*(1+g)/Po ·
D1 = Po *(r-g); D0 =
Po*(r-g)/(1+g) · Capital Gain yield = g · Dividend Yield = r – g = D1
/ Po = Do*(1+g) / Po ·
D1=Do*(1+g);
D2= D1*(1+g); D3=D2*(1+g)… Exercise: 1.
Consider the valuation of a common stock that
paid $1.00 dividend at the end of the last year and is expected to pay a cash
dividend in the future. Dividends are expected to grow at 10% and the
investors required rate of return is 17%. How much is the price? How much is
the dividend yield? Capital gain yield? 2. The
current market price of stock is $90 and the stock pays dividend of $3 (D1)
with a growth rate of 5%. What is the return of this stock? How much is the
dividend yield? Capital gain yield? Part III: Non-Constant Dividend
Growth Calculate
stock prices 1) Given next dividends and price Po= Po= Po= Po= …… Non-constant
dividend growth model Equations Pn
= Dn+1/(r-g) = Dn*(1+g)/(r-g), since year n, dividends
start to grow at a constant rate. Where
Dn+1= next dividend in year n+1; Do
= just paid dividend in year n; r=stock
return; g= dividend growth rate; Pn=
current market price in year n; Po
= npv(r, D1, D2, …, Dn+Pn) Or,
Po
= D1/(1+r) + D2/(1+r)2 + … + (Dn+Pn)/(1+r)n
Calculator: Non-Constant Dividend Growth Calculator In class exercise for
non-constant dividend growth model 1.
You expect
AAA Corporation to generate the following free cash flows over the next five
years:
Since year 6, you estimate that AAA's free cash flows will
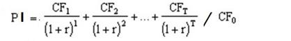
grow at 6% per year. WACC of AAA = 15% · Calculate the enterprise value for DM Corporation. · Assume that AAA has $500 million debt and 14 million shares
outstanding, calculate its stock price. Answer:
2. AAA pays no dividend
currently. However, you expect it pay an annual dividend of $0.56/share 2
years from now with a growth rate of 4% per year thereafter. Its equity cost
= 12%, then its stock price=? Answer:
Do=0 D1=0 D2=0.56 g=4%
after year 2 č
P2 = D3/(r-g), D3=D2*(1+4%) č
P2 = 0.56*(1+4%)/(12%-4%) = 7.28 r=12% Po=? Po =
NPV(12%, D1, D2+P2), D2 = 0.56, P2=7.28. SO Po = NPV(12%, 0,0.56+7.28) =
6.25 (Note: for non-constant growth
model, calculate price when dividends start to grow at the constant rate.
Then use NPV function using dividends in previous years, last dividend plus
price. Or use calculator at https://www.jufinance.com/dcf/
) 3. Required return =12%.
Do = $1.00, and the dividend will grow by 30% per year for the next 4
years. After t = 4, the dividend is
expected to grow at a constant rate of 6.34% per year forever. What is the stock price ($40)? Answer:
Do=1 D1 =
1*(1+30%) = 1.3 D2=
1.3*(1+30%) = 1.69 D3 =
1.69*(1+30%) = 2.197 D4 =
2.197*(1+30%) = 2.8561 D5 =
2.8561*(1+6.34%), g=6.34% P4 =
D5/(r-g) = 2.8561*(1+6.34%) /(12% - 6.34%) Po = NPV(12%, 1.3, 1.69, 2.197,
2.8561+2.8561*(1+6.34%)) /(12% - 6.34%)) = 40 Or use calculator at https://www.jufinance.com/dcf/ Part IV: How to pick stocks?
(FYI) How to pick
stocks – Does it work? PE ratio Stock screening tools ·
Reuters
stock screener to help select stocks http://stockscreener.us.reuters.com/Stock/US/ ·
FINVIZ.com http://finviz.com/screener.ashx use
screener on finviz.com to narrow down your choices of stocks, such as
PE<15, PEG<1, ROE>30% ·
WSJ
stock screen http://online.wsj.com/public/quotes/stock_screener.html ·
Simply
the Web's Best Financial Charts You can
find analyst rating from MSN money For
instance, ANALYSTS RATINGS Zacks average brokerage
recommendation is Moderate Buy
Summary of stock screening rules
from class discussion PEG<1 PE<15 (? FB’s
PE>100?) Growth rate<20 ROE>10% Analyst ranking:
strong buy only Zacks average
=1 (from Ranking stocks using PEG ratio) current
price>5 How to pick stocks Capital
Asset Pricing Model (CAPM)Explained https://www.youtube.com/watch?v=JApBhv3VLTo Ranking
stocks using PEG ratio https://www.youtube.com/watch?v=bekW_hTehNU HOMEWORK (Due with final by
11/17/2022) 1. Northern
Gas recently paid a $2.80 annual dividend on its common stock. This dividend
increases at an average rate of 3.8 percent per year. The stock is currently
selling for $26.91 a share. What is the market rate of return? (14.60
percent) 3.
IBM just paid $3.00 dividend per share to
investors. The dividend growth rate is 10%. What is the expected dividend of
the next year? ($3.3) 5.
Investors of
Creamy Custard common stock earns 15% of return. It just paid a
dividend of $6.00 and dividends are expected to grow at a rate of 6%
indefinitely. What is expected price of Creamy Custard's stock? ($70.67) Quiz 3- Help Video (Quiz
3 Due by the end of week 3 Sunday on 10/30/2022) Part I Part II Part III Part IV
|
P/E Ratio Summary by
industry (FYI) --- Thanks to Dr Damodaran Data Used: Multiple data services Date of Analysis: Data used is as of January 2021 Download as an excel file instead: http://www.stern.nyu.edu/~adamodar/pc/datasets/pedata.xls For global datasets: http://www.stern.nyu.edu/~adamodar/New_Home_Page/data.html
Details
about how to derive the model mathematically (FYI) The Gordon growth model is a simple discounted cash flow
(DCF) model which can be used to value a stock, mutual fund, or even the
entire stock market. The model is named after Myron Gordon who first
published the model in 1959. The Gordon model assumes that a financial security
pays a periodic dividend (D) which grows at a constant rate
(g). These growing dividend payments are assumed to continue forever.
The future dividend payments are discounted at the required rate of return (r)
to find the price (P) for the stock or fund. Under these simple assumptions, the price of the
security is given by this equation:
In this equation, I’ve used the “0” subscript
on the price (P) and the “1” subscript on the dividend (D) to
indicate that the price is calculated at time zero and the dividend is the
expected dividend at the end of period one. However, the equation is
commonly written with these subscripts omitted. Obviously, the assumptions built into this
model are overly simplistic for many real-world valuation problems. Many
companies pay no dividends, and, for those that do, we may expect
changing payout ratios or growth rates as the business matures. Despite
these limitations, I believe spending some time experimenting with the
Gordon model can help develop intuition about the relationship between
valuation and return. Deriving the Gordon Growth Model Equation
The Gordon growth model calculates the present value of
the security by summing an infinite series of discounted dividend payments
which follows the pattern shown here:
Multiplying both sides of the previous equation by
(1+g)/(1+r) gives:
We can then subtract the second equation from the first
equation to get:
Rearranging and simplifying:
Finally,
we can simplify further to get the Gordon growth model equation Stock Splits
Calendar (FYI)
10/25/2022 https://www.nasdaq.com/market-activity/stock-splits
Dividend
Calendar (FYI)
10/25/2022 https://www.nasdaq.com/market-activity/dividends
Here are the 7 biggest investing mistakes you want to avoid,
according to financial experts Here are the common
mistakes that the average investor makes with their money. Updated Thu, Apr 7 2022,
Elizabeth Gravier https://www.cnbc.com/select/biggest-investing-mistakes/ It’s no secret that
the pandemic brought a wave of new investors eager to give a shot at playing
the market. In fact, a Charles
Schwab study found that 15% of all current U.S. stock market
investors got their start in 2020 — giving rise to what Schwab calls the
“Investor Generation.” The pandemic prompted
the perfect timing to begin investing: stocks became cheaper to buy as the
market dipped, savings account interest rates got slashed in half and many
young consumers were stranded at home with nothing much else to do. Plus, now that many
brokerage firms now offer accounts with no minimums and zero-commission
trading, just about anyone can start investing, even with a small amount of
money. To help guide this new
generation of investors, as well as their more experienced counterparts,
Select spoke with a handful of certified financial planners about what to
watch out for. Here are the seven biggest investing mistakes they say are the
most common. · Constantly watching the markets · Chasing the trends · Following bad advice from social media · Not giving your investments time to grow · Investing money you’ll soon need · Having unclear investing goals · Delaying investing altogether Mistake 1: Constantly watching the
markets Of all the mistakes we
heard, this one came up the most. “I have told many
clients to turn off their TVs and stop watching the daily market news,”
Danielle Harrison, a Missouri-based CFP at Harrison Financial Planning, tells
Select. While it’s normal (and
generally advised) to keep an eye on what’s happening in the overall economy, it’s
easy to get swept up in the excitement or doom and gloom of it all. The
markets are constantly moving and trying to follow along in real-time can
lead you to continuously checking or changing your investments when you’re
better off leaving them alone for the long haul. “You’re likely to
perform worse than if you just stuck with your original strategy in the first
place,” says Douglas Boneparth, a New York City-based CFP, president of Bone
Fide Wealth and co-author of The Millennial Money Fix. Viewing negative
performance without context can lead to rash decision making, while positive
performance can instill overconfidence, explains Joe Lum, a California-based
CFP and wealth advisor at Intersect Capital. Lum agrees that it’s
best for investors to avoid tracking their performance (both good and bad)
too frequently. While it’s easier than ever to get instant information on
your portfolio’s progress, it doesn’t mean it’s necessary. “If we were running a
marathon, it wouldn’t make sense to track our mileage in quarter-mile
increments,” Lum says. “The same can be said about long-term investing, particularly
in retirement accounts which traditionally have the longest time horizon.” Before investing,
Boneparth suggests asking yourself, “Can I hold these positions for a long
period of time?” “Investing should be
boring,” Harrison says. Her advice? Look at your investments on a quarterly
basis, which should be more than enough for most investors. Mistake 2: Chasing the trends Whether it be
participating in a frenzy over GameStop stock, which we all saw back in
January, or investing in the newest cryptocurrency, chasing the trends is a
common mistake investors make. Lauryn Williams, a
Texas-based CFP and founder of Worth Winning, says she sees investors
follow the next hot stock not knowing why they are choosing a particular
investment other than the fact that “someone else says it is awesome.” “A lot investors make
the mistake of chasing trends or what’s cool because of FOMO,” Boneparth
adds. He recommends always doing your due diligence before putting your money
in the market. Or, as another option for a more hands-off approach, invest
passively in the markets through index funds and watch your portfolio grow
over time. By using your brokerage account to buy diversified
mutual and index funds, you take on less risk than when you buy an individual
company’s stock. The best free stock
trading platforms Select reviewed over
12 online brokers that offer zero-commission trading and narrowed down
the top six platforms for all sorts of investors: TD
Ameritrade; Ally Invest; E*TRADE; Vanguard; Charles Schwab; and Fidelity. These six offer the
widest range of investment options, user-friendly technology, quality
customer support and educational resources. You can read more about our
methodology on selecting the best $0 commission trading platforms below. Mistake 3: Following bad advice from social media “I cringe at the
misinformation out there surrounding investing and finances in general,
especially on social media,” Harrison says. The overall guidance
from experts is simple: Don’t take investment advice from those who
don’t know your personal financial situation. For example, you may feel
pressured by someone on social media to start investing in a certain company,
but they aren’t clued in to what other investment options you may have. You
may be better off putting that money in your employer-sponsored retirement
account, especially if your company matches contributions up to a certain
percentage of your salary. Make sure to do your own
research when investing and read up on the person giving financial advice on
TikTok or another social-media platform. Whether you are just
starting out or you’re a more seasoned investor, a good place to begin is
with FINRA’s free e-learning program for investors. Mistake 4: Not giving your investments time to grow When it comes to
investing, time is important. Ideally, you should hold investments for as
long as you can to maximize your returns. “Investing is something you do with
the expectation of reasonable returns over a long-term period,” Harrison
says. A big mistake Williams
sees is investors bailing out on an investment because they did not double
their money in a certain period of time, which is usually days or weeks. “If you need your money
to grow urgently, you probably don’t have proper savings,” she says. “Quick
growth comes with a lot of risk.” More about this in Mistake No. 5 below. Mistake 5: Investing money you’ll soon need People jumping into the
markets before building themselves a strong financial foundation is the
biggest mistake Boneparth sees
investors make. Prior to investing,
you should feel in control of how you spend your money. A big part of that is
building a cash reserve so you don’t need to rely on your investments when
you run into an emergency or want to make a certain purchase. “The stock market can
be volatile, and you’d hate to lose the money you were saving for something
like a down payment on a home you were wanting to purchase,” Harrison says. A good way to know if
you’re ready to invest is understanding if you have a healthy amount of cash
in a savings account set aside for all your near-term goals. Harrison
suggests that money needed within a relatively short time period, such as
within three years, should not be invested in stocks. Mistake 6: Having unclear investing goals Once you have a
separate savings net set aside that you can fall back on, make sure you have
clear goals as you go into investing. Harrison warns that
investing to make more money is rarely the goal. Instead, people should see
money as a tool for meeting their other goals. Making investing all about
returns is a common mistake she sees. “You don’t have to
chase high returns that also correlate with higher risk, if you can
adequately meet your goals with less risky investments,” Harrison says. Many investors use the
S&P 500 as a benchmark for their investment performance, but Lum points
out that this index is often not a fair comparison against individuals’
actual portfolios. “While the S&P 500
serves as an easy proxy for how ‘the market is doing,’ it is important to
remember that the design of your portfolio and performance should be aligned to
meet your goals — not an index that doesn’t know your financial situation,
goals or time horizon,” Lum says. Mistake 7: Delaying investing altogether Lastly, choosing to
never invest at all is a costly mistake. Keeping all your cash in a bank
account means that money loses its purchasing power due to the rising rate of
inflation. “Some people are so
scared of investing that they never even begin and lose out on the amazing
compounding effect that can happen over the long term,” Harrison says. Index funds are one of the easiest ways to invest — here’s how
they work (FYI only) Index investing allows
you to put money in the largest U.S. companies with low fees and minimal
risk. Updated Thu, Apr 7
2022, Elizabeth Gravier Plenty of people shy away
from investing because of fear. In fact, a survey from
Ally Invest found that 65% of adults say they find investing in the stock
market to be scary and/or intimidating. Whether it’s the concern you’ll make
a bad investment and lose money or a lack of access to quality investing
advice, at the end of the day that fear is holding you back from really
growing your net worth. The good news is there
are many easy ways to invest; you don’t have to worry about picking
individual stocks, and hiring an expensive advisor isn’t always necessary.
One of the easiest ways to get started investing is through index funds. How index funds work Index funds are
investment funds that follow a benchmark index, such as the S&P 500 or
the Nasdaq 100. When you put money in
an index fund, that cash is then used to invest in all the companies that
make up the particular index, which gives you a more diverse portfolio than
if you were buying individual stocks. Let’s use the S&P
500 as an example. The S&P 500 is one of the major indexes that tracks
the performance of the 500 largest companies in the U.S. Investing in an
S&P 500 fund (one of the most popular) means your investments are tied to
the performance of a wide range of companies. Because the goal of
index funds is to mirror the same holdings of whatever index they track, they
are naturally diversified and thus hold a lower risk than individual stock
holdings. Market indexes tend to have a good track record, too. Though the
S&P 500 certainly fluctuates, it has historically generated nearly a 10%
average annual return over time for investors. (Just remember that future
returns are not guaranteed.) Index investing is a
form of passive investing Index investors don’t
need to actively manage the stocks and bonds investment as closely since the
fund is just copying a particular index. This is why index funds are known as
passive investing — and it’s what sets them apart from mutual funds. Mutual funds are
actively managed by fund managers who choose your investments. The goal with
mutual funds is to beat the market, while the goal with index funds is simply
to match the market’s performance. Since index funds don’t require daily
human management, they have lower management costs (called “expense ratios”)
than mutual funds. The money saved in fees by investing in an index fund over
a mutual fund can save you lots of money in the long term and in turn help
you make more money. A common strategy for
many investors who have a long investment timeline is to regularly invest
money into an S&P 500 index fund (known as dollar-cost averaging) and
watch their money grow over time. Get started index
investing with a brokerage account Some of the top index
funds are those that track the S&P 500 and have low costs. For example,
Charles Schwab’s S&P 500 Index Fund (SWPPX) is a straightforward option
with no investment minimum. Its expense ratio is 0.02%, meaning every $10,000
invested costs $2 annually. Passive, or index funds, generally have a 0.2%
expense ratio, so this is notably low. For an option with no
expense ratio, consider the Fidelity ZERO Large Cap Index (FNILX). Though the
fund doesn’t technically track the S&P 500, the Fidelity U.S. Large Cap
Index tracks large capitalization stocks, which the website says, “are
considered to be stocks of the largest 500 U.S. companies.” To invest in an index
fund, you’ll need to open a brokerage account, a traditional IRA or a Roth
IRA (you can often choose to invest in index funds through your employer’s
401(k) too). Once your account is open and funded, you can choose from a
number of different index funds, like an S&P 500 fund, a fund that tracks
government bonds or a fund that tracks international stocks. Also, consider using a
robo-advisor like Wealthfront and Betterment (which Select rated highly on
our list of the best robo-advisors), which will invest in a handful of index
funds and ETFs based on your risk tolerance and investment timeline.
Robo-advisors will automatically rebalance your portfolio based on market conditions
and have much lower fees than traditional financial advisors. |
|
||||||||||||||||||||||||||||||||||||||||||||||||||||||||||||||||||||||||||||||||||||||||||||||||||||||||||||||||||||||||||||||||||||||||||||||||||||||||||||||||||||||||||||||||||||||||||||||||||||||||||||||||||||||||||||||||||||||||||||||||||||||||||||||||||||||||||||||||||||||||||||||||||||||||||||||||||||||||||||||||||||||||||||||||||||||||||||||||||||||||||||||||||||||||||||||||||||||||||||||||||||||||||||||||||||||||||||||||||||||||||||||||||||||||||||||||||||||||||||||||||||||||||||||||||||||||||||||||||||||||||||||||||||||||||||||||||||||||||||||||||||||||||||||||||||||||||||||||||||||||||||||||||||||||||||||||||||||||||||||||||||||||||||||||||||||||||||||||||||||||||||||||||||||||||||||||||||||||||||||||||||||||||||||||||||||||||||||||||||||||||||||||||||||||||||||||||||||||||||||||||||||||||||||||||||||||||||||||||||||||||||||||||||||||||||||||||||||||||||||||||||||||||||||||||||||||||||||||||||||||||||||||||||||||||||||||||||||||||||||||||||||||||||||||||||||||||||||||||||
|
Chapter 9 Capital
Budgeting
1. NPV Excel syntax Syntax NPV(rate,value1,value2, ...) Rate is the rate of discount over
the length of one period. Value1, value2,
... are 1 to
29 arguments representing the payments and income. · Value1, value2, ... must be equally spaced in
time and occur at the end of each period. NPV uses the
order of value1, value2, ... to interpret the order of cash flows.
Be sure to enter your payment and income values in the correct sequence. 2. IRR Excel syntax Syntax IRR(values, guess) Values is an array or a reference to cells
that contain numbers for which you want to calculate the internal rate of
return. Guess is a number that you guess is
close to the result of IRR.
Or, PI =
NPV / CFo +1 Profitable
index (PI) =1 + NPV / absolute value of CFo 3. MIRR( values, finance_rate, reinvest_rate ) Where
the function arguments are as follows:
Modified Rate of Return:
Definition & Example (video)
https://study.com/academy/lesson/modified-rate-of-return-definition-example.html NPV, IRR, Payback Period calculator I NPV, IRR, Payback Period calculator II
Excel Template - NPV, IRR, MIRR, PI, Payback,
Discounted payback NPV
Profile in Excel Demonstration (Video, FYI) In class exercise Part I: Single project 1.
How much is MIRR? IRR? Payback period?
Discounted payback period? NPV? WACC: 11.00% Year 0 1 2 3 Cash
flows -$800 $350 $350 $350 Answer: 1)
NPV: NPV = -800 + 350/(1+11%) +
350/(1+11%)2 + 350/(1+11%)3 = 55.30 Or in excel: = npv(11%, 350, 350, 350)-800 = 55.30 2)
IRR:
So NPV = 0 = -800 +
350/(1+IRR) + 350/(1+IRR)2 + 350/(1+IRR)3 , use Solver,
can get IRR = 14.93% Or in excel:
3)
PI: profitable index
SO, PI= (350/(1+11%) + 350/(1+11%)2 + 350/(1+11%)3
) / 800 = 1.069 Or PI = NPV/800 + 1 = 55.30/800 + 1 = 1.069 4)
Payback period:
A portion of the third year = (800-350-350)/350 = 100/350 =
0.2857 So it takes 2 + 0.2857 = 2.2857 years to pay off the debt of
$800. 5)
Discounted payback period:
Note: All the cash flows in the above equation should be the
present values.
A portion of the third year = (800-318.18-289.26)/262.96 =
0.72 So it takes 2 + 0.72 = 2.72 years to pay off the debt of $800.
Or use the calculator at https://www.jufinance.com/capital/ Part
II: Multi-Projects 1.
Projects S and L, whose cash flows are
shown below. These projects are
mutually exclusive, equally risky, and not repeatable. The CEO believes the IRR is the best
selection criterion, while the CFO advocates the NPV. If the decision is made by choosing the
project with the higher IRR rather than the one with the higher NPV, how much,
if any, value will be forgone, i.e., what's the chosen NPV versus the maximum
possible NPV? Note that (1) “true value” is measured by NPV,
and (2) under some conditions the choice of IRR vs. NPV will have no effect
on the value gained or lost. WACC: 7.50% Year 0 1 2 3 4 CFS -$1,100 $550 $600 $100 $100 CFL -$2,700 $650 $725 $800 $1,400 Answer:
If the required rate of return is 10%. Which
project shall you choose? 1) How
much is the cross over rate? (answer: 11.8%) 2) How
is your decision if the required rate of return is 13%? (answer: NPV of
B>NPV of A) · Rule for mutually exclusive projects: (answer:
Choose B) · What about the two projects are independent?
(answer: Choose both) Solution:
Part III More on IRR – (non-conventional cash flow) Suppose an investment will
cost $90,000 initially and will generate the following cash flows: – Year 1: 132,000 – Year 2: 100,000 – Year 3: -150,000 The required return is 15%.
Should we accept or reject the project? 1) How does the
NPV profile look like? (Answer: Inverted NPV profile) 2) IRR1= 10.11% --
answer 3) IRR2= 42.66% --
answer Solution:
HOMEWORK(Due with final by 11/17/2022) Year Cash flows 1 $8,000 2 4,000 3 3,000 4 5,000 5 10,000 1) How
much is the payback period (approach one)? ----
4 years 2) If
the firm has a 10% required rate of return. How much is NPV (approach
2)?-- $2456.74 3) If
the firm has a 10% required rate of return. How much is IRR (approach
3)? ---- 14.55% 4) If
the firm has a 10% required rate of return. How much is PI (approach
4)? ---- 1.12 Question 2: Project with an initial cash outlay of $60,000 with
following free cash flows for 5 years. Year FCF Initial
outlay –60,000 1 25,000 2 24,000 3 13,000 4 12,000 5 11,000 The firm has a 15% required rate of return. Calculate payback period, NPV, IRR and PI.
Analyze your results. Question 3: Mutually Exclusive
Projects 1) Consider
the following cash flows for one-year Project A and B, with required rates of
return of 10%. You have limited capital and can invest in one but one
project. Which one? § Initial
Outlay: A = -$200; B = -$1,500 § Inflow: A
= $300; B = $1,900 2) Example:
Consider two projects, A and B, with initial outlay of $1,000, cost of
capital of 10%, and following cash flows in years 1, 2, and 3: A:
$100 $200 $2,000 B:
$650 $650 $650 Which
project should you choose if they are mutually exclusive? Independent?
Crossover rate? (mutually
exclusive: A’s NPV=758.83 > B’s NPV = 616.45, so choose A; Independent,
choose all positive NPV, so choose both; Crossover
rate = 21.01%. The calculator does not work. Use IRR in Excel) Quiz 4- chapter 9 –
(no video prepared; Could use the calculator) (Quiz 2 Due by the end of week
3 Sunday on 11/6/2022) Homework help videos (chapter 9) |
Simple
Rules’ for Running a Business
From the 20-page cellphone contract to the five-pound employee
handbook, even the simple things seem to be getting more complicated. Companies have been complicating things for themselves, too—analyzing hundreds of factors when making decisions, or
consulting reams of data to resolve every budget dilemma. But those
requirements might be wasting time and muddling priorities. So argues Donald Sull,
a lecturer at the Sloan School of Management at the Massachusetts Institute
of Technology who has also worked for McKinsey & Co. and Clayton, Dubilier & Rice LLC. In the book Simple
Rules: How to Thrive in a Complex World, out this week from Houghton
Mifflin Harcourt HMHC -1.36%,
he and Kathleen Eisenhardt of Stanford University claim that
straightforward guidelines lead to better results than complex formulas. Mr. Sull recently spoke with At Work about
what companies can do to simplify, and why five basic rules can beat a
50-item checklist. Edited excerpts: WSJ: Where, in the business
context, might “simple rules” help more than a complicated
approach? Donald Sull: Well, a common decision that people face in organizations is
capital allocation. In many organizations, there will be thick procedure
books or algorithms–one company I worked with had an
algorithm that had almost 100 variables for every project. These are very cumbersome
approaches to making decisions and can waste time. Basically, any decision
about how to focus resources—either people or money
or attention—can benefit from simple rules. WSJ: Can you give an example of
how that simplification works in a company? Sull: There’s
a German company called Weima GmBH that makes shredders. At one point,
they were getting about 10,000 requests and could only fill about a thousand
because of technical capabilities, so they had this massive problem of
sorting out which of these proposals to pursue. They had a very detailed checklist with 40 or 50 items. People
had to gather data and if there were gray areas the proposal would go to
management. But because the data was hard to obtain and there were so many
different pieces, people didn’t always fill out the checklists completely. Then
management had to discuss a lot of these proposals personally because there
was incomplete data. So top management is spending a disproportionate amount
of time discussing this low-level stuff. Then Weima came up with guidelines that the
frontline sales force and engineers could use to quickly decide whether a
request fell in the “yes,” “no” or “maybe” category. They did it with five
rules only, stuff like “Weima had to
collect at least 70% of the price before the unit leaves the factory.” After that, only the “maybes” were sent to management. This
dramatically decreased the amount of time management spend evaluating these
projects–that time was decreased by almost a factor
of 10. Or, take Frontier Dental Laboratories in Canada. They were
working with a sales force of two covering the entire North American market.
Limiting their sales guidelines to a few factors that made someone likely to
be receptive to Frontier—stuff like “dentists
who have their own practice” and “dentists
with a website”—helped focus their efforts and
increase sales 42% in a declining market. WSJ: Weima used five factors—is
that the optimal number? And how do you choose which rules to follow? Sull: You should have four to six
rules. Any more than that, you’ll spend too much time trying to follow
everything perfectly. The entire reason simple rules help is because they
force you to prioritize the goals that matter. They’re
easy to remember, they don’t confuse or stress you,
they save time. They should be tailored to your specific goals, so you choose
the rules based on what exactly you’re trying to
achieve. And you should of course talk to others. Get information from
different sources, and ask them for the top things that worked for them. But
focus on whether what will work for you and your circumstances. WSJ: Is there a business leader
you can point to who has embraced the “simple rules” guideline? Donald Sull: Let’s look at when Alex Behring took
over America
Latina Logistica SARUMO3.BR +1.59%,
the Brazilian railway and logistics company. With a budget of $15 million,
how do you choose among $200 million of investment requests, all of which are
valid? The textbook business-school answer to this is that you run the
NPV (net present value) test on each project and rank-order them by NPV. Alex
Behring knows this. He was at the top of the class at Harvard Business School. But instead Similarly, the global-health arm of the Gates Foundation gets
many, many funding requests. But since they know that their goal is to have
the most impact worldwide, they focus on projects in developing countries
because that’s where the money will stretch farther. |
|
|||||||||||||||||||||||||||||||||||||||||||||||||||||||||||||||||||||||||||||||||||||||||||||||||||||||||||||||||||||||||||||||||||||||||||||||||||||||||||||||||||||||||||||||||||||||||||||||||||||||||||||||||||||||||||||||||||||||||||||||||||||||||||||||||||||||||||||||||||||||||||||||||||||||||||||||||||||||||||||||||||||||||||||||||||||||||||||||||||||||||||||||||||||||||||||||||||||||||||||||||||||||||||||||||||||||||||||||||||||||||||||||||||||||||||||||||||||||||||||||||||||||||||||||||||||||||||||||||||||||||||||||||||||||||||||||||||||||||||||||||||||||||||||||||||||||||||||||||||||||||||||||||||||||||||||||||||||||||||||||||||||||||||||||||||||||||||||||||||||||||||||||||||||||||||||||||||||||||||||||||||||||||||||||||||||||||||||||||||||||||||||||||||||||||||||||||||||||||||||||||||||||||||||||||||||||||||||||||||||||||||||||||||||||||||||||||||||||||||||||||||||||||||||||||||||||||||||||||||||||||||||||||||||||||||||||||||||||||||||||||||||||||||||||||||||||||||||||||||||
|
Week 5 - Chapter 14 Cost of Capital
For class discussion: · What is WACC? · Why is it important? · WACC increases, good or bad to stock holders? · How to apply WACC to figure out firm value?
One option (if beta is given, refer to chapter 13)
Another option (if dividend is given):
WACC Formula
WACC calculator (annual
coupon bond) (www.jufinance.com/wacc)
WACC calculator (semi-annual coupon bond) (www.jufinance.com/wacc_1)
WACC Calculator help
videos FYI
Summary of Equations
Discount rate to figure out the value of projects is called WACC (weighted average cost of capital)
WACC = weight of debt * cost of debt + weight of equity *( cost of equity)
Wd= total debt / Total capital = total borrowed / total capital We= total equity/ Total capital Cost of debt = rate(nper,
coupon, -(price – flotation costs), 1000)*(1-tax rate) Cost of Equity = D1/(Po – Flotation Cost) + g D1: Next period dividend; Po: Current stock price; g: dividend growth rate Note: flotation costs = flotation percentage * price
Or if beta is given, use CAPM model (refer to chapter 13) Cost of equity = risk free
rate + beta *(market return – risk free rate) Cost of equity = risk free rate +
beta * market risk premium
In Class Exercise: A firm borrows money from bond market. The price they paid is $950 for the bond with 5% coupon rate and 10 years to mature. Flotation cost is $40. For the new stocks, the expected dividend is $2 with a growth rate of 10% and price of $40. The flotation cost is $4. The company raises capital in equal proportions i.e. 50% debt and 50% equity (such as total $1m raised and half million is from debt market and the other half million is from stock market). Tax rate 34%. What is WACC (weighted average cost of capital, cost of capital)? (Answer: 9.84%) 1) Why does the firm raise capital from the financial market? Is there of any costs of doing so? What do you think? 2) What is cost of debt? (Kd = rate(nper, coupon, -(price – flotation costs $)), 1000)*(1-tax rate)) 3) Cost of equity? (Ke = (D1/(Price – flotation costs $)) +g, or Ke = Rrf + Beta*MRP)) Why no tax adjustment like cost of debt? 4) WACC=Cost of capital = Percentage of Debt * cost of debt + percentage of stock * cost of stock = Wd*Kd + We* Ke Meaning: For a dollar raised in the capital market from debt holders and stockholders, the cost is WACC (or WACC * 1$ = several cents, and of course, the lower the better but many companies do not have good credits)
Solution: Cost
of debt = rate(10, 50, -(950-40), 1000)*(1-34%) Cost
of/equity = 2/(40-4)+10% WACC
= 0.5*cost of debt + 0.5*cost of equity
https://www.jufinance.com/wacc/ No
homework for chapter 14
Homework
help videos (chapter 9) Quiz 4- chapter 9 – (no video prepared) |
(both annual and
semi-annual) WACC calculator (annual coupon bond) WACC calculator (semi-annual coupon
bond) (www.jufinance.com/wacc_1) Wal-Mart
Inc (NYSE:WMT) WACC %: 6.23%
As of 10/31/2022 As of today (2022-10-31), Walmart's
weighted average cost of capital is 6.23%. Walmart's ROIC % is 10.48% (calculated using TTM income
statement data). Walmart generates higher returns on investment than it costs
the company to raise the capital needed for that investment. It is earning
excess returns. A firm that expects to continue generating positive excess
returns on new investments in the future will see its value increase as
growth increases.https://www.gurufocus.com/term/wacc/WMT/WACC/Walmart%2BInc
Amazon.com
Inc (NAS:AMZN) WACC %:10.43%
As of 10/31/2022 As of today (2022-10-31), Amazon.com's weighted average cost of capital is 10.43%. Amazon.com's ROIC % is 5.84% (calculated using TTM income statement data). Amazon.com generates higher returns on investment than it costs the company to raise the capital needed for that investment. It is earning excess returns. A firm that expects to continue generating positive excess returns on new investments in the future will see its value increase as growth increases. https://www.gurufocus.com/term/wacc/AMZN/WACC-Percentage/Amazon.com%20Inc
Apple
Inc (NAS:AAPL) WACC %:11.42%
As of 10/31/2022 As of today (2022-10-31), Apple's
weighted average cost of capital is 11.42%. Apple's ROIC % is 33.75% (calculated
using TTM income statement data). Apple generates higher returns on
investment than it costs the company to raise the capital needed for that
investment. It is earning excess returns. A firm that expects to continue
generating positive excess returns on new investments in the future will see
its value increase as growth increases..https://www.gurufocus.com/term/wacc/AAPL/WACC/Apple%2Binc Tesla WACC %: 20.31% As of 10/31/2022
As of today (2022-10-31), Tesla's weighted average cost of capital is 20.31%. Tesla's ROIC % is 27.38% (calculated using TTM income statement data). Tesla earns returns that do not match up to its cost of capital. It will destroy value as it grows. https://www.gurufocus.com/term/wacc/NAS:TSLA/WACC-/Tesla
Cost of Capital by
Sector (US) Date of Analysis: Data used is as of January 2022 Download as an excel file instead: https://www.stern.nyu.edu/~adamodar/pc/datasets/wacc.xls For global datasets: https://www.stern.nyu.edu/~adamodar/New_Home_Page/data.html
http://people.stern.nyu.edu/adamodar/New_Home_Page/datafile/wacc.htm |
|
|||||||||||||||||||||||||||||||||||||||||||||||||||||||||||||||||||||||||||||||||||||||||||||||||||||||||||||||||||||||||||||||||||||||||||||||||||||||||||||||||||||||||||||||||||||||||||||||||||||||||||||||||||||||||||||||||||||||||||||||||||||||||||||||||||||||||||||||||||||||||||||||||||||||||||||||||||||||||||||||||||||||||||||||||||||||||||||||||||||||||||||||||||||||||||||||||||||||||||||||||||||||||||||||||||||||||||||||||||||||||||||||||||||||||||||||||||||||||||||||||||||||||||||||||||||||||||||||||||||||||||||||||||||||||||||||||||||||||||||||||||||||||||||||||||||||||||||||||||||||||||||||||||||||||||||||||||||||||||||||||||||||||||||||||||||||||||||||||||||||||||||||||||||||||||||||||||||||||||||||||||||||||||||||||||||||||||||||||||||||||||||||||||||||||||||||||||||||||||||||||||||||||||||||||||||||||||||||||||||||||||||||||||||||||||||||||||||||||||||||||||||||||||||||||||||||||||||||||||||||||||||||||||||||||||||||||||||||||||||||||||||||||||||||||||||||||||||||||||||
|
Chapter 13 Risk and Return Equations (FYI): 1. Expected return and
standard deviation Given a probability distribution of
returns, the expected return can be calculated using the following equation:
where
https://www.zenwealth.com/businessfinanceonline/RR/ExpectedReturn.html Given an asset's expected return,
its variance can be calculated using the following equation:
where
The standard deviation is
calculated as the positive square root of the variance.
https://www.zenwealth.com/businessfinanceonline/RR/MeasuresOfRisk.html Exercise: Stock A has the following returns for various states of the
economy: State of the
Economy Probability Stock
A's Return Recession 10% -30% Below
Average 20% -2% Average 40% 10% Above
Average 20% 18% Boom 10% 40% Stock A's expected return is?
Standard deviation? Solution: Expected return = 10%*(-30%))
+ 20%*(-2%) + 40% *10% + 20%*18% + 10%*40% = 8.2% Standard deviation = sqrt(10%*(-30%-8.2%)2 + 20%*(-2%-8.2%)2
+40%*(10%-8.2%)2 + 20%*(18%-8.2%)2 +10%*(40%-8.2%)2)
= 16.98% Or, https://www.jufinance.com/return/
W1 and W2 are the percentage of each stock in the
portfolio.
Exercise: Stocks A and B have the following returns for various states of
the economy: State of the
Economy Probability Stock
A's Return Recession 10% -30% -10% Below Average 20% -2% 2% Average 40% 10% 1% Above
Average 20% 18% 2% Boom 10% 40% -5% Solution: (or use calculator
at https://www.jufinance.com/return/) Stock 1: Expected return = 10%*(-30%)) +
20%*(-2%) + 40% *10% + 20%*18% + 10%*40% = 8.2% Standard deviation = sqrt(10%*(-30%-8.2%)2 + 20%*(-2%-8.2%)2
+40%*(10%-8.2%)2 + 20%*(18%-8.2%)2 +10%*(40%-8.2%)2)
= 16.98% Stock 2: Expected return = 10%*(10%)) +
20%*(2%) + 40% *1% + 20%*2% + 10%*(-5)% = 1.7% Standard deviation = sqrt(10%*(10%-1.7%)2 + 20%*(2%-1.7%)2
+40%*(1%-1.7%)2 + 20%*(2%-1.7%)2 +10%*((-5)%-1.7%)2)
= 3.41% Covariance: Covariance =
10%*(-30%-8.2%)*(10%-1.7%)+20%*(-2%-8.2%)*(2%-1.7%)+40%*(10%-8.2%)*(1%-1.7%)+20%*(18%-8.2%)*(2%-1.7%)+10%*(40%-8.2%)*((-5%)-1.7%)
= -0.54% Correlation: Correlation = -0.54%/(16.98%* 3.41%) = -0.93
]3..
Historical returns Holding period return (HPR) =
(Selling price – Purchasing price + dividend)/ Purchasing price 4. CAPM (Capital Asset
Pricing Model) model · What is Beta? Where to find Beta?
Beta
is a measurement of a stock's price fluctuations, which is often called
volatility, and is used by investors to gauge how quickly a stock's price
will rise or fall. Because beta is calculated from past returns, it's not
considered as reliable a tool to forecast rises in stock prices, and it is
more commonly used by options traders. Beta compares the changes in a
company's stock returns against the returns of the market as a whole. Online
brokerages give investors extensive data on a stock's beta value, and some
free financial news websites also show current beta measurements. · What
Is the Capital Asset Pricing Model?
The Capital Asset Pricing Model (CAPM)
describes the relationship between systematic risk and expected
return for assets, particularly stocks. CAPM is widely used throughout
finance for pricing risky securities and generating expected
returns for assets given the risk of those assets and cost of capital. Ri = Rf + βi *( Rm -
Rf) ------ CAPM model Ri =
Expected return of investment Rf = Risk-free
rate βi = Beta of the investment Rm = Expected
return of market (Rm - Rf) = Market risk premium Investors expect to be compensated for risk and the time
value of money. The risk-free rate in the CAPM formula accounts for
the time value of money. The other components of the CAPM formula account for
the investor taking on additional risk. The beta of a potential investment is a
measure of how much risk the investment will add to a portfolio that looks
like the market. If a stock is riskier than the market, it will have a beta
greater than one. If a stock has a beta of less than one, the formula assumes
it will reduce the risk of a portfolio. A stock’s beta is then multiplied by
the market risk premium, which is the return expected from the market
above the risk-free rate. The risk-free rate is then added to the product of
the stock’s beta and the market risk premium.
The result should give an investor the required
return or discount rate they can use to find the value of an
asset. The goal of the CAPM formula is to evaluate whether a stock is
fairly valued when its risk and the time value of money are compared to its
expected return. For example, imagine an investor is
contemplating a stock worth $100 per share today that pays a 3% annual
dividend. The stock has a beta compared to the market of 1.3, which means it
is riskier than a market portfolio. Also, assume that the risk-free rate is
3% and this investor expects the market to rise in value by 8% per year. The expected return of the stock based on the CAPM formula is
9.5%. The expected return of the CAPM formula is used to discount the
expected dividends and capital appreciation of the stock over the expected
holding period. If the discounted value of those future cash flows is equal
to $100 then the CAPM formula indicates the stock is fairly valued relative
to risk. (https://www.investopedia.com/terms/c/capm.asp) · SML – Security Market Line
In class
exercise Steps: 1. From finance.yahoo.com, collect stock prices
of the above firms, in the past five years Steps: · Goto finance.yahoo.com,
search for the company · Click
on “Historical prices” in the left column on the top and choose monthly stock
prices. · Change
the starting date and ending date to “Sept 30th, 2016” and “Sept 30th, 2021”,
respectively. · Download
it to Excel · Delete
all inputs, except “adj close”
– this is the closing price adjusted for dividend. · Merge
the three sets of data just downloaded Pick three stocks. Has to be the leading firm
in three different industries. · For
example: chose Apple, Dell, and Boeing. 3. Evaluate the performance of each stock: · Calculate
the monthly stock returns. · Calculate
the average return · Calculate
standard deviation as a proxy for risk · Calculate
correlation among the three stocks. · Calculate
beta. But you need to download S&P500 index values in the past five years from
finance.yahoo.com. · Calculate stock returns based on CAPM. · Draw SML ·
Stock Price In Class
exercise all included (Beta, CAPM, excel file here) · Stock
Price Normal Distribution (FYI) For example: Amazon’s average return = 1.22%; standard deviation
= 9.9%
Conclusion: The likelihood for Amazon stock’s expected rate of
return (monthly) to be negative is 45.1%. HOMEWORK (Due with final by 11/17/2022) 1. AAA
firm’s stock has a 0.25 possibility to make 30.00% return, a 0.50 chance to
make 12% return, and a 0.25 possibility to make -18%
return. Calculate expected rate of return (Answer: 9%) 2. If
investors anticipate a 7.0% risk-free rate, the market risk premium = 5.0%,
beta = 1, Find the return. (answer:12%) 3. AAA
firm has a portfolio with a value of $200,000 with the following four stocks.
Calculate the beta of this portfolio ( answer: 0.988) Stock value β A $
50,000.00 0.9500 B 50,000.00 0.8000 C 50,000.00 1.0000 D 50,000.00 1.2000 Total $200,000.00 4. A
portfolio with a value of $40,000,000 has a beta = 1. Risk free rate = 4.25%,
market risk premium = 6.00%. An additional $60,000,000 will be included in
the portfolio. After that, the expected return should be 13%. Find the
average beta of the new stocks to achieve the goal ( answer:
1.76) 5. Stock A
has the following returns for various states of the economy: State of the
Economy Probability Stock
A's Return Recession 10% -30% Below Average 20% -2% Average 40% 10% Above
Average 20% 18% Boom 10% 40% Stock A's
expected return is? Standard deviation? (answer:
expected return = 8.2%, variance=0.02884, standard deviation=16.98%,
visit https://www.jufinance.com/return/) 6. Collectibles
Corp. has a beta of 2.5 and a standard deviation of returns of 20%. The
return on the market portfolio is 15% and the risk free rate is 4%. What is
the risk premium on the market? 7. An
investor currently holds the following portfolio: Amount Invested 8,000 shares of
Stock A $16,000 Beta = 1.3 15,000 shares of
Stock B $48,000 Beta = 1.8 25,000 shares of
Stock C $96,000 Beta = 2.2 The beta
for the portfolio is? 8. Deleted 9. Assume that
you have $165,000 invested in a stock that is returning 11.50%, $85,000
invested in a stock that is returning 22.75%, and $235,000 invested in a
stock that is returning 10.25%. What is the expected return of your portfolio? 10. If you hold
a portfolio made up of the following stocks: Investment
Value Beta Stock
A $8,000 1.5 Stock
B $10,000 1.0 Stock
C $2,000 .5 What is the
beta of the portfolio? 11. You
own a portfolio consisting of the stocks below. Stock Percentage
of
portfolio Beta 1. 20% 1 2. 30% 0.5 3. 50% 1.6 The risk free
rate is 3% and market return is 10%. a. Calculate
the portfolio beta. b. Calculate
the expected return of your portfolio. 12. An
investor currently holds the following portfolio: Amount Invested 8,000 shares of
Stock A $10,000 Beta = 1.5 15,000 shares of
Stock B $20,000 Beta = 0.8 25,000 shares of
Stock C $20,000 Beta = 1.2 Calculate the
beta for the portfolio. Homework Help videos Q1 Q5 Q2 Q3 Q4 Q6 Q7 Q9 TO THE END Quiz 5
prep video (Quiz 5 Due by the end of week 3 Sunday on 11/13/2022) Part
I (has three questions from chapter 8) Part
II |
How much does Amazon worth?” --- FYI only: Amazon.com Inc. (AMZN) https://www.stock-analysis-on.net/NASDAQ/Company/Amazoncom-Inc/DCF/Present-Value-of-FCFF
Present
Value of Free Cash Flow to the Firm (FCFF)
In
discounted cash flow (DCF) valuation techniques the value of the stock is
estimated based upon present value of some measure of cash flow. Free cash
flow to the firm (FCFF) is generally described as cash flows after direct
costs and before any payments to capital suppliers.
Intrinsic Stock Value (Valuation Summary)
Amazon.com
Inc., free cash flow to the firm (FCFF) forecast
1 Weighted Average Cost of Capital (WACC)
Amazon.com
Inc., cost of capital
1 USD $ in millions Equity (fair value) = No. shares
of common stock outstanding × Current share price Debt (fair value). See Details » 2 Required rate of return on equity
is estimated by using CAPM. See Details » Required rate of return on
debt. See Details » Required rate of return on debt
is after tax. Estimated (average) effective
income tax rate WACC
= 16.17% FCFF Growth Rate (g)
FCFF growth rate
(g) implied by PRAT model
Amazon.com
Inc., PRAT model
2017
Calculations 2 Interest expense, after tax =
Interest expense × (1 – EITR) 3 EBIT(1 – EITR) = Net income
(loss) + Interest expense, after tax 4 RR = [EBIT(1 – EITR) – Interest
expense (after tax) and dividends] ÷ EBIT(1 – EITR) 5 ROIC = 100 × EBIT(1 – EITR) ÷
Total capital 6 g = RR × ROIC FCFF growth rate
(g) forecast
Amazon.com
Inc., H-model
where: Calculations g2 = g1 + (g5 – g1) × (2 – 1) ÷ (5 – 1) g3 = g1 + (g5 – g1) × (3 – 1) ÷ (5 – 1) g4 = g1 + (g5 – g1) × (4 – 1) ÷ (5 – 1) |
|
|||||||||||||||||||||||||||||||||||||||||||||||||||||||||||||||||||||||||||||||||||||||||||||||||||||||||||||||||||||||||||||||||||||||||||||||||||||||||||||||||||||||||||||||||||||||||||||||||||||||||||||||||||||||||||||||||||||||||||||||||||||||||||||||||||||||||||||||||||||||||||||||||||||||||||||||||||||||||||||||||||||||||||||||||||||||||||||||||||||||||||||||||||||||||||||||||||||||||||||||||||||||||||||||||||||||||||||||||||||||||||||||||||||||||||||||||||||||||||||||||||||||||||||||||||||||||||||||||||||||||||||||||||||||||||||||||||||||||||||||||||||||||||||||||||||||||||||||||||||||||||||||||||||||||||||||||||||||||||||||||||||||||||||||||||||||||||||||||||||||||||||||||||||||||||||||||||||||||||||||||||||||||||||||||||||||||||||||||||||||||||||||||||||||||||||||||||||||||||||||||||||||||||||||||||||||||||||||||||||||||||||||||||||||||||||||||||||||||||||||||||||||||||||||||||||||||||||||||||||||||||||||||||||||||||||||||||||||||||||||||||||||||||||||||||||||||||||||||||||
|
Weeks 7 & 8 |
Final
Exam (will be posted on blackboard Due
by 11/17/2022) Final prep video (on youtube) |
|
|||||||||||||||||||||||||||||||||||||||||||||||||||||||||||||||||||||||||||||||||||||||||||||||||||||||||||||||||||||||||||||||||||||||||||||||||||||||||||||||||||||||||||||||||||||||||||||||||||||||||||||||||||||||||||||||||||||||||||||||||||||||||||||||||||||||||||||||||||||||||||||||||||||||||||||||||||||||||||||||||||||||||||||||||||||||||||||||||||||||||||||||||||||||||||||||||||||||||||||||||||||||||||||||||||||||||||||||||||||||||||||||||||||||||||||||||||||||||||||||||||||||||||||||||||||||||||||||||||||||||||||||||||||||||||||||||||||||||||||||||||||||||||||||||||||||||||||||||||||||||||||||||||||||||||||||||||||||||||||||||||||||||||||||||||||||||||||||||||||||||||||||||||||||||||||||||||||||||||||||||||||||||||||||||||||||||||||||||||||||||||||||||||||||||||||||||||||||||||||||||||||||||||||||||||||||||||||||||||||||||||||||||||||||||||||||||||||||||||||||||||||||||||||||||||||||||||||||||||||||||||||||||||||||||||||||||||||||||||||||||||||||||||||||||||||||||||||||||||||
|
Weeks 7 & 8 |
Thank you! Thank you! |
|
|||||||||||||||||||||||||||||||||||||||||||||||||||||||||||||||||||||||||||||||||||||||||||||||||||||||||||||||||||||||||||||||||||||||||||||||||||||||||||||||||||||||||||||||||||||||||||||||||||||||||||||||||||||||||||||||||||||||||||||||||||||||||||||||||||||||||||||||||||||||||||||||||||||||||||||||||||||||||||||||||||||||||||||||||||||||||||||||||||||||||||||||||||||||||||||||||||||||||||||||||||||||||||||||||||||||||||||||||||||||||||||||||||||||||||||||||||||||||||||||||||||||||||||||||||||||||||||||||||||||||||||||||||||||||||||||||||||||||||||||||||||||||||||||||||||||||||||||||||||||||||||||||||||||||||||||||||||||||||||||||||||||||||||||||||||||||||||||||||||||||||||||||||||||||||||||||||||||||||||||||||||||||||||||||||||||||||||||||||||||||||||||||||||||||||||||||||||||||||||||||||||||||||||||||||||||||||||||||||||||||||||||||||||||||||||||||||||||||||||||||||||||||||||||||||||||||||||||||||||||||||||||||||||||||||||||||||||||||||||||||||||||||||||||||||||||||||||||||||||
|
Chapters 2, 3 - Financial Statements (not required)
|
|||||||||||||||||||||||||||||||||||||||||||||||||||||||||||||||||||||||||||||||||||||||||||||||||||||||||||||||||||||||||||||||||||||||||||||||||||||||||||||||||||||||||||||||||||||||||||||||||||||||||||||||||||||||||||||||||||||||||||||||||||||||||||||||||||||||||||||||||||||||||||||||||||||||||||||||||||||||||||||||||||||||||||||||||||||||||||||||||||||||||||||||||||||||||||||||||||||||||||||||||||||||||||||||||||||||||||||||||||||||||||||||||||||||||||||||||||||||||||||||||||||||||||||||||||||||||||||||||||||||||||||||||||||||||||||||||||||||||||||||||||||||||||||||||||||||||||||||||||||||||||||||||||||||||||||||||||||||||||||||||||||||||||||||||||||||||||||||||||||||||||||||||||||||||||||||||||||||||||||||||||||||||||||||||||||||||||||||||||||||||||||||||||||||||||||||||||||||||||||||||||||||||||||||||||||||||||||||||||||||||||||||||||||||||||||||||||||||||||||||||||||||||||||||||||||||||||||||||||||||||||||||||||||||||||||||||||||||||||||||||||||||||||||||||||||||||||||||||||||||
|
Cash Flow Statement Answer |
calculation for changes |
||
|
Cash at the beginning of the
year |
2060 |
||
|
Cash
from operation |
|||
|
net income |
3843 |
||
|
plus depreciation |
1760 |
||
|
-/+ AR |
-807 |
807 |
|
|
-/+ Inventory |
-3132 |
3132 |
|
|
+/- AP |
1134 |
1134 |
|
|
net
change in cash from operation |
2798 |
||
|
Cash
from investment |
|||
|
-/+ (NFA+depreciation) |
-1680 |
1680 |
|
|
net
change in cash from investment |
-1680 |
||
|
Cash
from finaning |
|||
|
+/- long term debt |
1700 |
1700 |
|
|
+/- common stock |
2500 |
2500 |
|
|
- dividend |
-6375 |
6375 |
|
|
net
change in cash from financing |
-2175 |
||
|
Total
net change of cash |
-1057 |
||
|
Cash
at the end of the year |
1003 |
||
************ What is Free Cash Flow **************
What is free cash flow (video)
What is free cash
flow (FCF)? Why is it important?
•
FCF is the amount of cash available from operations for
distribution to all investors (including stockholders and debtholders) after
making the necessary investments to support operations.
•
A company’s value depends on the amount of FCF it can generate.
What are the five
uses of FCF?
1. Pay interest on debt.
2. Pay back principal on debt.
3. Pay dividends.
4. Buy back stock.
5. Buy nonoperating assets (e.g.,
marketable securities, investments in other companies, etc.)

What
are operating current assets?
•
Operating current assets are the CA
needed to support operations.
•
Op CA include: cash, inventory,
receivables.
•
Op CA exclude: short-term investments,
because these are not a part of operations.
What
are operating current liabilities?
•
Operating current liabilities are the
CL resulting as a normal part of operations.
•
Op CL include: accounts payable and
accruals.
•
Op CL exclude: notes payable, because
this is a source of financing, not a part of operations.

Capital expenditure = increases in NFA +
depreciation
Or, capital expenditure = increases in GFA
Note: All companies, foreign and
domestic, are required to file registration statements, periodic reports, and
other forms electronically through EDGAR. https://www.sec.gov/edgar/searchedgar/companysearch.html
In class exercise
1. Firm AAA has EBIT (operating income) of $3 million, depreciation of $1 million. Firm AAA’s expenditures on fixed assets = $1 million. Its net operating working capital = $0.6 million. Calculate for free cash flow. Imagine that the tax rate =40%.
a. $1.2
b. $1.3
c. $1.4
d. $1.5
FCF = EBIT(1 – T) + Deprec. – (Capex + NOWC)
answer:
EBIT $3
Tax rate 40%
Depreciation $1
Capex + NOWC $1.60
So, FCF = $1.2
2. The following information should be used for the following problems:
2014 2015
Sales $ 740 $ 785
COGS 430 460
Interest 33 35
Dividends 16 17
Depreciation 250 210
Cash 70 75
Accounts receivables 563 502
Current liabilities 390 405
Inventory 662 640
Long term debt 340 410
Net fixed assets 1,680 1,413
Common stock 700 235
Tax rate 35% 35%
• What is the net income for 2015? ($52)
Ratio Analysis template
https://www.jufinance.com/ratio
Finviz.com/screener
for ratio analysis (https://finviz.com/screener.ashx)
Financial ratio analysis (VIDEO)
Price to free cash flow
(P/FCF) is an valuation metric that compares a company’s per-share market price
to its free cash flow (FCF). This metric is very similar to the valuation
metric of price to cash flow but is considered a more exact measure because
it uses free cash flow, which subtracts capital expenditures (CAPEX) from a
company’s total operating cash flow, thereby reflecting the actual cash flow
available to fund non-asset-related growth.
Here’s 10 big named
companies with huge free cash flows compared to their market cap:
1. JPMorgan Chase & Co (JPM):
Market Cap $333.36B, Free Cash Flow $80.04B – P/FCF 4.32
2. Pfizer Inc (PFE): Market
Cap $293.45B, Free Cash Flow $31.78B – P/FCF 9.43
3. Exxon Mobil Corp (XOM):
Market Cap $377.63B, Free Cash Flow $40.07B – P/FCF 9.55
4. Meta Platforms Inc (META):
Market Cap $430.71B, Free Cash Flow $39.81B – P/FCF 11.28
5. Chevron Corp (CVX):
Market Cap $289.44B, Free Cash Flow $24.78B – P/FCF 11.46
6. AbbVie Inc (ABBV): Market
Cap $266.60, Free Cash Flow $22.05B – P/FCF 12.16
7. Broadcom Inc (AVGO):
Market Cap $206.39B, Free Cash Flow $14.42B – P/FCF 15.17
8. Verizon Communications
Inc (VZ): Market Cap $188.65B, Free Cash Flow $10.11B – P/FCF 18.56
9. Alphabet Inc (GOOGL):
Market Cap $1.383T, Free Cash Flow $68.98B – P/FCF 20.49
10. Apple Inc (AAPL): Market
Cap $2.474T, Free Cash Flow $105.79B – P/FCF 23.76
https://acquirersmultiple.com/2022/07/10-big-named-companies-with-huge-free-cash-flows-ycharts/
Happy Holidays!
Happy Holidays!