FIN 509 & FIN510 Class Web Page, Spring'22

 

The Syllabus  

  

Weekly SCHEDULE, LINKS, FILES and Questions

Week

Coverage, HW, Supplements

-        Required

Equations and Assignments

 

Weekly Tuesday class url on blackboard collaborate:

 

 

Class Schedule:

 

 

 

Topic and Activities,

class video web links

Assignments and Key Due Dates

Week 1

3/8 at 6 pm #159

Time value of money, chapter 5

Class video link

Discussion Board #1 on market watch game,  due by Sunday 4/3

 

Week 2

3/15 at 6 pm  #159

 

Discounted Cash Flow Valuation, chapter 6

 

Class video link

 

 

Quiz 1, due by Sunday (3/20)  11:59 pm, start from Thursday at 1 AM (on blackboard in week2 folder)

 

Homework of chapters 5, 6

due by  Sunday 4/3

 

Week 3

3/22 at 6 pm #159

 

Interest Rates and Bond Valuation, chapter 7

 

Class video link

 

 

Quiz 2, due by Sunday (3/27) 11:59 pm, start from  Thursday  at 1 AM (on blackboard in week3 folder)

 

Homework of chapter 7 due by   Sunday 4/3

 

Week 4

3/29 at 6 pm #159

 

Stock valuation, chapter 8

 

Class video link

 

 

 

Quiz 3, due by Sunday (4/3) 11:59 pm, start from  Friday  at 1 AM (on blackboard in week4 folder)

 

Homework of chapter 8 due by  4/24

 

Week 5

4/5  at 6 pm #159

 

Capital Budgeting, WACC, chapters 9 &14

 

Class video link

 

Discussion Board # 2 on Fed Interest rate, War on Ukraine,  due by 4/24

 

Quiz 4 (only chapter 9), due by Sunday (4/10) 11:59 pm, start from   Thursday  at 1 AM (on blackboard in week5 folder)

 

 

Homework of chapter 9 due by  4/24

 

Week 6

4/12 at 6 pm #159

 

Chapter 13, risk and return

 

Class video link

 Discussion Board # 3 on global chain issue due by 4/24

 

 

Quiz 5, due by Sunday (4/17) 11:59 pm, start from  Thursday  at 1 AM (on blackboard in week6 folder)

 

 

Homework of chapter 13 due by  4/24

 

Week 7

And Week 8

Part I

Review and Final

Video

·      Final on 4/23 at 1 AM, on blackboard final folder, due by Sunday (5/1)11:59 pm

·     Final prep video (on youtube)

Week 7

And Week 8

Part II

Chapter 2, chapter 3, not required

 

Class video link

 

 

 

Week 0

Market Watch Game 

  Use the information and directions below to join the game.

1.     URL for your game: 
 https://www.marketwatch.com/game/fin509-22spring

2.     Password for this private game: havefun.

3.     Click on the 'Join Now' button to get started.

4.     If you are an existing MarketWatch member, login. If you are a new user, follow the link for a Free account - it's easy!

5.     Follow the instructions and start trading!

 

Pre-class assignment:

Set up marketwatch.com account and have fun

Week1,2

image002.jpg

 

 

 

 

Chapter 5 Time value of money 1

 

Week 1 in class exercise (word file)   Solution

 

Chapter 5 ppt 

 

The time value of money - German Nande (youtube)

 

Concept of FV, PV, Rate, Nper

Calculation of FV, PV, Rate, Nper

Concept of interest rate, compounding rate, discount rate

 

image001.jpg

 

 

Chapter 6 Time Value of Money 2

 

Chapter 6 PPT

 

 

Concept of PMT, NPV

Calculation of FV, PV, Rate, Nper, PMT, NPV, NFV

Concept of EAR, APR

Calculation of EAR, APR

 

 

First Discussion Board  Assignment (post your writing on blackboard under discussion folder):

(due by 4/3 at 11:59 pm)

 Market Watch Game

Let's start trading in the stock market! Please join a game and report back on your experience.

Directions

1.       URL for your game: 
https://www.marketwatch.com/game/fin509-22spring

2.       Password for this private game: havefun.

3.       Click on the Join Now button to get started.

4.       Register for a new account with your email address or sign in if you already have an account.


Discussion Board Prompts

1.       Why did you choose the stock? How much money did you think you would make? Please explain.

2.       Did you make money or lose money off of your chosen stock? Which factors contributed to that? 

3.       What did you learn from this experience and how will it affect your choices in real life when choosing stocks?

Instructions

·       Responses should be 100 to 250 words in length and should answer all three prompts

·       Optional: reply to one of your peers with meaningful, thought-provoking responses

·       Due by 4/3/2022  at 11:59 p.m. ET

 

 

 

HOMEWORK of Chapters 5 and 6 (due on week 4, 4/3/2022) 

 

1. The Thailand Co. is considering the purchase of some new equipment. The quote consists of a quarterly payment of $4,740 for 10 years at 6.5 percent interest. What is the purchase price of the equipment? ($138,617.88)

 

2. The condominium at the beach that you want to buy costs $249,500. You plan to make a cash down payment of 20 percent and finance the balance over 10 years at 6.75 percent. What will be the amount of your monthly mortgage payment? ($2,291.89)

3. Today, you are purchasing a 15-year, 8 percent annuity at a cost of $70,000. The annuity will pay annual payments. What is the amount of each payment? ($8,178.07)

 

4. Shannon wants to have $10,000 in an investment account three years from now. The account will pay 0.4 percent interest per month. If Shannon saves money every month, starting one month from now, how much will she have to save each month? ($258.81)

5. Trevor's Tires is offering a set of 4 premium tires on sale for $450. The credit terms are 24 months at $20 per month. What is the interest rate on this offer? (6.27%)

6. Top Quality Investments will pay you $2,000 a year for 25 years in exchange for $19,000 today. What interest rate are you earning on this annuity? (9.42%)

7. You have just won the lottery! You can receive $10,000 a year for 8 years or $57,000 as a lump sum payment today. What is the interest rate on the annuity? (8.22%)

8. Around Town Movers recently purchased a new truck costing $97,000. The firm financed this purchase at 8.25 percent interest with monthly payments of $2,379.45. How many years will it take the firm to pay off this debt? (4.0 years)


9.  Expansion, Inc. acquired an additional business unit for $310,000. The seller agreed to accept annual payments of $67,000 at an interest rate of 6.5 percent. How many years will it take Expansion, Inc. to pay for this purchase? (5.68 years)

10. You want to retire early so you know you must start saving money. Thus, you have decided to save $4,500 a year, starting at age 25. You plan to retire as soon as you can accumulate $500,000. If you can earn an average of 11 percent on your savings, how old will you be when you retire? (49.74 years)

11. You just received a credit offer in an email. The company is offering you $6,000 at 12.8 percent interest. The monthly payment is only $110. If you accept this offer, how long will it take you to pay off the loan? (82.17 months)

12. Fred was persuaded to open a credit card account and now owes $5,150 on this card. Fred is not charging any additional purchases because he wants to get this debt paid in full. The card has an APR of 15.1 percent. How much longer will it take Fred to pay off this balance if he makes monthly payments of $70 rather than $85? (93.04 months)

13. Bridget plans to save $150 a month, starting today, for ten years. Jordan plans to save $175 a month for ten years, starting one month from today. Both Bridget and Jordan expect to earn an average return of 8 percent on their savings. At the end of the ten years, Jordan will have approximately _____ more than Bridget. ($4,391)

(Hint: Bridget’s is an annuity due, so abs(fv(8%/12, 10*12, 150, 0, 1)) --- type =1; Jordan’s is an ordinary annuity, so abs(fv(8%/12, 10*12, 150, 0) --- type =0, or omitted. There is a mistake in the help video for this question. Sorry for the mistake.)

 

 

14. What is the future value of weekly payments of $25 for six years at 10 percent? ($10,673.90)


15. At the end of this month, Bryan will start saving $80 a month for retirement through his company's retirement plan. His employer will contribute an additional $.25 for every $1.00 that Bryan saves. If he is employed by this firm for 25 more years and earns an average of 11 percent on his retirement savings, how much will Bryan have in his retirement account 25 years from now? ($157,613.33)

 

16. Sky Investments offers an annuity due with semi-annual payments for 10 years at 7 percent interest. The annuity costs $90,000 today. What is the amount of each annuity payment? ($6,118.35)


17. Mr. Jones just won a lottery prize that will pay him $5,000 a year for thirty years. He will receive the first payment today. If Mr. Jones can earn 5.5 percent on his money, what are his winnings worth to him today? ($76,665.51)

 

18. You want to save $75 a month for the next 15 years and hope to earn an average rate of return of 14 percent. How much more will you have at the end of the 15 years if you invest your money at the beginning of each month rather than the end of each month? ($530.06)

 

19. What is the effective annual rate of 10.5 percent compounded semi-annually? (10.78%) 

20. What is the effective annual rate of 9 percent compounded quarterly? (9.31%)

21. Fancy Interiors offers credit to customers at a rate of 1.65 percent per month. What is the effective annual rate of this credit offer? (21.70%)

 

22. What is the effective annual rate of 12.75 percent compounded daily? (13.60 percent)

 

23. Your grandparents loaned you money at 0.5 percent interest per month. The APR on this loan is _____ percent and the EAR is _____ percent. (6.00; 6.17)

24. Three years ago, you took out a loan for $9,000. Over those three years, you paid equal monthly payments totaling $11,826. What was the APR on your loan? (18.69%)

 

 

FYI only: help for homework

Part 1(Qs 1-2)         Part 2(Qs 4-8)          Part 3(Qs 9-12)

Part 4(Qs 13-16)     Part 5(Qs 17-20)      Part 6(Qs 21-24)

(Q13: Bridget’s is an annuity due, so abs(fv(8%/12, 10*12, 150, 0, 1)) --- type =1; Jordan’s is an ordinary annuity, so abs(fv(8%/12, 10*12, 150, 0) --- type =0, or omitted. There is a mistake in the help video for this question. Sorry for the mistake.)

 

Quiz 1- Help Videos  

Part I           Part II        Part III

 

Calculators


NPV calculator
 

 

NFV calculator

 

Time Value of Money Calculator 

 

© 2002 - 2019 by Mark A. Lane, Ph.D.

 

 

Math Formula

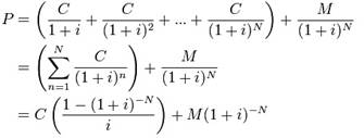
FV = PV *(1+r)^n

PV = FV / ((1+r)^n)

N = ln(FV/PV) / ln(1+r)

Rate = (FV/PV)1/n -1

Annuity:

N = ln(FV/C*r+1)/(ln(1+r))

Or

N = ln(1/(1-(PV/C)*r)))/ (ln(1+r))

 

image001.jpg

 

 

EAR = (1+APR/m)^m-1

APR = (1+EAR)^(1/m)*m

 

 

 

Excel Formulas 

To get FV, use FV function.    

 =abs(fv(rate, nper, pmt, pv))

 

To get PV, use PV function         

 = abs(pv(rate, nper, pmt, fv))

 

To get r, use rate function             

= rate(nper,  pmt, pv, -fv)

 

To get number of years, use nper function                                

 = nper(rate,  pmt, pv, -fv)

 

To get annuity payment, use PMT function                                          

 = abs(pmt(rate, nper, pv, -fv))

 

To get Effective rate (EAR), use Effect function                            

 = effect(nominal_rate, npery)

 

To get annual percentage rate (APR), use nominal function      

APR = nominal(effective rate,  npery)

 

 

Week3

Chapter 7 Bond Pricing

 

Ppt

 

Yield Curve      http://finra-markets.morningstar.com/BondCenter/Default.jsp

 

 

 

Balance Sheet of WalMart    https://www.nasdaq.com/market-activity/stocks/wmt/financials

 

Period Ending:

1/31/2022

1/31/2021

1/31/2020

1/31/2019

Current Assets

 

 

 

 

Cash and Cash Equivalents

$14,760,000

$17,741,000

$9,465,000

$7,722,000

Short-Term Investments

--

--

--

--

Net Receivables

$8,280,000

$6,516,000

$6,284,000

$6,283,000

Inventory

$56,511,000

$44,949,000

$44,435,000

$44,269,000

Other Current Assets

$1,519,000

$20,861,000

$1,622,000

$3,623,000

Total Current Assets

$81,070,000

$90,067,000

$61,806,000

$61,897,000

Long-Term Assets

 

 

 

 

Long-Term Investments

--

--

--

--

Fixed Assets

$112,624,000

$109,848,000

$127,049,000

$111,395,000

Goodwill

$29,014,000

$28,983,000

$31,073,000

$31,181,000

Intangible Assets

--

--

--

--

Other Assets

$22,152,000

$23,598,000

$16,567,000

$14,822,000

Deferred Asset Charges

--

--

--

--

Total Assets

$244,860,000

$252,496,000

$236,495,000

$219,295,000

Current Liabilities

 

 

 

 

Accounts Payable

$82,172,000

$87,349,000

$69,549,000

$69,647,000

Short-Term Debt / Current Portion of Long-Term Debt

$3,724,000

$3,830,000

$6,448,000

$7,830,000

Other Current Liabilities

$1,483,000

$1,466,000

$1,793,000

--

Total Current Liabilities

$87,379,000

$92,645,000

$77,790,000

$77,477,000

Long-Term Debt

$39,107,000

$45,041,000

$48,021,000

$50,203,000

Other Liabilities

$13,009,000

$12,909,000

$16,171,000

--

Deferred Liability Charges

$13,474,000

$14,370,000

$12,961,000

$11,981,000

Misc. Stocks

$8,638,000

$6,606,000

$6,883,000

$7,138,000

Minority Interest

--

--

--

--

Total Liabilities

$161,607,000

$171,571,000

$161,826,000

$146,799,000

Stock Holders Equity

 

 

 

 

Common Stocks

$276,000

$282,000

$284,000

$288,000

Capital Surplus

$86,904,000

$88,763,000

$83,943,000

$80,785,000

Retained Earnings

--

--

--

--

Treasury Stock

$4,839,000

$3,646,000

$3,247,000

$2,965,000

Other Equity

($8,766,000)

($11,766,000)

($12,805,000)

($11,542,000)

Total Equity

$83,253,000

$80,925,000

$74,669,000

$72,496,000

Total Liabilities & Equity

$244,860,000

$252,496,000

$236,495,000

$219,295,000

 

 

For discussion:

·         What is this “long term debt”?

·         Who is the lender of this “long term debt”?

So this long term debt is called bond in the financial market. Where can you find the pricing information and other specifications of the bond issued by WMT?

 

 

FINRA – Bond market information

http://finra-markets.morningstar.com/BondCenter/Default.jsp

 

 Go to http://finra-markets.morningstar.com/BondCenter/Default.jsp  , the bond market data website of FINRA to find bond information. For example, find bond sponsored by Wal-mart

Or, just go to www.finra.orgè Investor center è market data è bond è corporate bond

 

Corporate Bond

 

 

 

1.     Understand what is coupon, coupon rate, yield, yield to maturity, market price, par value, maturity, annual bond, semi-annual bond, current yield.

 

Refer to the following bond at http://finra-markets.morningstar.com/BondCenter/BondDetail.jsp?ticker=C104227&symbol=WMT.GP

 

 

 

 

 

 

 

The above graph shows the cash flows of a five year 5% coupon bond.

 

  

How Bonds Work (video)

Investing Basics: Bonds(video)

 

In class exercise:      

 

1.     Find bonds sponsored by WMT

·       just go to www.finra.orgè Investor center è market data è bond è corporate bond

·       Search for Walmart bonds

 

For discussion:

·       What are the ratings of the WMT bonds? How does the rating agency rate a bond? Altman Z Score video

·       Why some WMT bonds are priced higher than the par value, while others are priced at a discount?

·       Why some WMT bonds have higher coupon rates than other bonds? How does WMT determine the coupon rates?

·       Why some WMT bonds have higher yields than other bonds? Does a bond’s yield change daily?

·       Which of the WMT bonds are the most attractive one to you? Why?

 

http://finra-markets.morningstar.com/BondCenter/BondDetail.jsp?ticker=C610043&symbol=WMT4117477

 

 

2.      2. Understand what is coupon, coupon rate, yield, yield to maturity, market price, par value, maturity, annual bond, semi-annual bond, current yield.

 

3.      3. Understand how to price bond

Bond price = abs(pv(yield, maturity, coupon, 1000))  ------- annual coupon

Bond price = abs(pv(yield/2, maturity*2, coupon/2, 1000)) ------- semi-annual coupon

 

Also change the yield and observe the price changes. Summarize the price change pattern and draw a graph to demonstrate your findings.

 

Again, when yield to maturity of this semi_annual coupon bond is 4%, how should this WMT bond sell for?

 

4.      Understand how to calculate bond returns

Yield to maturity = rate(maturity, coupon,  -market price, 1000) ---- annual coupon

Yield to maturity = rate(maturity*2, coupon/2,  -market price, 1000)*2 ----- semi-annual coupon

 

Bond Calculator (www.jufinance.com/bond)

 

For example, when the annual coupon bond is selling for $1,100, what is its return to investors?

 

For example, when the semi-annual coupon bond is selling for $1,100, what is its return to investors?

 

5.      Current yield: For the above bond, calculate current yield. Note: current yield = coupon/bond price

6.      Zero coupon bond: coupon=0 and treat it as semi-annual coupon bond.

Example: A ten year zero coupon bond is selling for $400. How much is its yield to maturity?

A ten year zero coupon bond’s yield to maturity is 10%. How much is its price?

 

7.      Understand what is bond rating and how to read those ratings.

a.       Who are Moody, S&P and Fitch?

b.      What is WMT’s rating?

c.       Is the rating for WMT the highest?

d.      Who earned the highest rating?

 

 

Supplement: Municipal Bond

image051.jpg

https://emma.msrb.org/

 

For class discussion:

·      Shall you invest in municipal bonds?

·      Are municipal bonds better than investment grade bonds?

 

 

The risks investing in a bond

·      Bond investing: credit Risk (video)

·      Bond investing: Interest rate risk (video)

·      Bond investing: increased risk (video)

 

 

 

  Market data website:

1.   FINRA

      http://finra-markets.morningstar.com/BondCenter/Default.jsp (FINRA bond market data)

2.      WSJ

Market watch on Wall Street Journal has daily yield curve and bond yield information. 

http://www.marketwatch.com/tools/pftools/

https://www.youtube.com/watch?v=yph8TRldW6k

3.      Bond Online

http://www.bondsonline.com/Todays_Market/

 

 

 

Homework ( due on_4/3/2022)

 

1.  Firm AAA’s bonds price = $850.  Coupon rate is 5% and par is $1,000. The bond has six years to maturity. Calculate for current yield? (5.88%)

2. For a zero coupon bond, use the following information to calculate its yield to maturity. (14.35%)  Years left to maturity = 10 years. Price = $250. 

3.  For a zero coupon bond, use the following information to calculate its price. ($456.39) Years left to maturity = 10 years. Yield = 8%.

4.  Imagine that an annual coupon bond’s coupon rate = 5%, 15 years left. Draw price-yield profile. (hint: Change interest rate, calculate new price and draw the graph). 

5. IBM 5 year 2% annual coupon bond is selling for $950. How much this IBM bond’s YTM?  3.09%

6.  IBM 10 year 4% semi-annual coupon bond is selling for $950. How much is this IBM bond’s YTM?  4.63%

7. IBM 10 year 5% annual coupon bond offers 8% of return. How much is the price of this bond?   798.7

8. IBM 5 year 5% semi-annual coupon bond offers 8% of return. How much is the price of this bond?  $878.34

9.  IBM 20 year zero coupon bond offers 8% return. How much is the price of this bond? 208.29

10.   Collingwood Homes has a bond issue outstanding that pays an 8.5 percent coupon and matures in 18.5 years. The bonds have a par value of $1,000 and a market price of $964.20. Interest is paid semiannually. What is the yield to maturity? (8.90%)

11.  Grand Adventure Properties offers a 9.5 percent coupon bond with annual payments. The yield to maturity is 11.2 percent and the maturity date is 11 years from today. What is the market price of this bond if the face value is $1,000?

($895.43)

12.  The zero coupon bonds of D&L Movers have a market price of $319.24, a face value of $1,000, and a yield to maturity of 9.17 percent. How many years is it until these bonds mature? (12.73 years)

13.  A zero coupon bond with a face value of $1,000 is issued with an initial price of $212.56. The bond matures in 25 years. What is yield to maturity?  (6.29%)

14.   The bonds issued by Stainless Tubs bear a 6 percent coupon, payable semiannually. The bonds mature in 11 years and have a $1,000 face value. Currently, the bonds sell for $989. What is the yield to maturity? (6.14%)

 

Videos --- homework help (due by 10/31/2021)

Part I        Q1-Q2       Q3-Q4     Q5-Q8      Q9-Q14

 

 

Quiz 2- Help Video (Quiz 2 Due by 3/27/2022)

 

 

 

Bond Calculator

www.jufinance.com/bond

 

 

 

Bond Pricing Formula (FYI)

 

image033.jpg

 

 

 

image035.jpg

 

 

image036.jpg

 

 

image037.jpg

 

image038.jpg

 

 

 

 

Bond Pricing Excel Formula

 

Summary of bond pricing excel functions

To calculate bond price (annual coupon bond):

Price=abs(pv(yield to maturity, years left to maturity, coupon rate*1000, 1000)

 

To calculate yield to maturity (annual coupon bond)::

Yield to maturity = rate(years left to maturity, coupon rate *1000, -price, 1000)

 

To calculate bond price (semi-annual coupon bond):

Price=abs(pv(yield to maturity/2, years left to maturity*2, coupon rate*1000/2, 1000)

 

To calculate yield to maturity (semi-annual coupon bond):

Yield to maturity = rate(years left to maturity*2, coupon rate *1000/2, -price, 1000)*2

 

To calculate number of years left(annual coupon bond)

Number of years =nper(yield to maturity,  coupon rate*1000, -price, 1000)

 

To calculate number of years left(semi-annual coupon bond)

Number of years =nper(yield to maturity/2,  coupon rate*1000/2, -price, 1000)/2

 

To calculate coupon (annual coupon bond)

Coupon = pmt(yield to maturity, number of years left, -price, 1000)

Coupon rate = coupon / 1000

 

To calculate coupon (semi-annual coupon bond)

Coupon = pmt(yield to maturity/2, number of years left*2, -price, 1000)*2

Coupon rate = coupon / 1000

 

 

 

Low interest on Walmart bonds not worthy of investment (FYI)

MONEY & INVESTING

June 28, 2018

ericBRETAN

estaterick@gmail.com

https://naples.floridaweekly.com/articles/low-interest-on-walmart-bonds-not-worthy-of-investment/

 

What do you do if you need a few extra bucks and dont have the money? If it is a small purchase, you may put it on your credit card. If it is something larger, you may have to go to the bank and get a loan. But what if you are a business and need more than a few extra bucks? What if you need $16 billion what do you do then? Walmart recently faced this problem after its acquisition of the Indian E-commerce company Flipkart Group. The solution was to issue corporate bonds to the public in return for the cash needed to fund the purchase. But just what are corporate bonds, how are they priced and issued, and are they a good investment?

 

A bond is simply an investment where the investor loans money to a borrower in exchange for a set interest rate for a given period of time. At the bonds maturity, the investor receives the principal back as well. For bonds issued by corporations, typically interest is paid every six months although some bonds pay quarterly or monthly interest payments. Corporations issue bonds that mature anywhere from less than a year (this debt is often called commercial paper) to 30 years or more. Large companies like Disney or Coca-Cola have even issued 100-year maturity bonds.

 

To issue a bond, a company typically will meet with a bank or investment bank to structure the investment. First, the parties will determine the size of the bond. If the company borrows too much, it may hurt its credit rating or have trouble making the interest payments. If it borrows too little, the borrower may not have the funds to maximize its growth or business opportunities. Second, the company and bank will determine the appropriate maturity for the bonds. Factors such as the use of the funds, overall interest rate environment, and credit worthiness of the borrower all will affect this decision.

 

Finally, the bank will price the bonds. Most bonds are issued at par meaning they are issued at the face value of the bond, often $1,000. The price of the bond is then the interest rate that the buyer of the bond will receive. For example, a company can issue a 10 year bond at par that is priced at an interest rate of 6.2 percent. The interest rate of a corporate bond is determined by two factors. The first is the overall rate environment, typically determined by U.S. government debt rates. The second is the credit worthiness of the issuer, which determines the additional interest that investors demand to hold the bonds over Treasury rates. This spread can be very small for well capitalized and stable companies like Microsoft or Apple or very large for risky biotech firms.

After the interest rate of the bonds is set, the investments are sold to the public at the face value of the bonds. Going forward, however, the bonds will trade on the open market and will either trade at a premium or discount to the face value. If overall interest rates go up or the credit worthiness of the company declines, the bonds value will decline as investors sell the bonds to buy more stable bonds or bonds with higher interest rates. Conversely, if interest rates decline or the company credit strengthens, the bonds value will rise as investors buy the bond.

In the case of Walmart, several maturities of bonds were offered to investors to fund the staggering $16 billion needed to fund its acquisition. The longest dated bonds, 30 years to maturity, were priced at just 1.05 percent over the 30 year Treasury rate or around 4.1 percent. This very low rate speaks very highly of the credit worthiness of Walmart. However, one of the main bond credit ratings companies, S&P, stated that the companys strong AA credit rating may be placed under review because of the significant acquisitions the company has recently made and the resulting debt issued to pay for them. Therefore, I would be hesitant to tie up my money for 30 years at such a low interest rate and feel that there are plenty of better investments to earn a better risk adjusted return. ¦

 

— Eric Bretan, the co- owner of Ricks Estate & Jewelry Buyers in Punta Gorda, was a senior derivatives marketer and investment banker for more than 15 years at several global banks.

 

 

Week 4

Chapter 8 Stock Valuation

 

ppt

 

Part I Dividend payout and Stock Valuation

 

For class discussion:

·         Why can we use dividend to estimate a firm’s intrinsic value?

·    Are future dividends predictable?

 

 

Ford’s dividends:  https://www.nasdaq.com/market-activity/stocks/f/dividend-history

Ex/EFF DATE

TYPE

CASH AMOUNT

DECLARATION DATE

RECORD DATE

PAYMENT DATE

01/29/2020

CASH

$0.15

01/08/2020

01/30/2020

03/02/2020

10/21/2019

CASH

$0.15

10/10/2019

10/22/2019

12/02/2019

07/22/2019

CASH

$0.15

07/11/2019

07/23/2019

09/03/2019

04/23/2019

CASH

$0.15

04/08/2019

04/24/2019

06/03/2019

01/30/2019

CASH

$0.15

01/16/2019

01/31/2019

03/01/2019

10/22/2018

CASH

$0.15

10/11/2018

10/23/2018

12/03/2018

07/20/2018

CASH

$0.15

07/12/2018

07/23/2018

09/04/2018

04/19/2018

CASH

$0.15

04/10/2018

04/20/2018

06/01/2018

01/29/2018

CASH

$0.28

01/16/2018

01/30/2018

03/01/2018

10/20/2017

CASH

$0.15

10/12/2017

10/23/2017

12/01/2017

07/20/2017

CASH

$0.15

07/14/2017

07/24/2017

09/01/2017

04/18/2017

CASH

$0.15

04/10/2017

04/20/2017

06/01/2017

01/18/2017

CASH

$0.20

01/11/2017

01/20/2017

03/01/2017

10/25/2016

CASH

$0.15

10/13/2016

10/27/2016

12/01/2016

07/26/2016

CASH

$0.15

07/14/2016

07/28/2016

09/01/2016

 

Wal-Mart Dividend History

·    Refer to the following table for Wal-mart (WMT’s dividend history)

 

http://stock.walmart.com/investors/stock-information/dividend-history/default.aspx

 

 

Record Dates

Payable Dates

Amount

Type

March 19, 2021

April 5, 2021

$0.55

Regular Cash

May 7, 2021

June 1, 2021

$0.55

Regular Cash

Aug. 13, 2021

Sept. 7, 2021

$0.55

Regular Cash

Dec. 10, 2021

Jan. 3, 2022

$0.55

Regular Cash

Record Dates

Payable Dates

Amount

Type

March 20, 2020

April 6, 2020

$0.54

Regular Cash

May 8, 2020

June 1, 2020

$0.54

Regular Cash

Aug. 14, 2020

Sept. 8, 2020

$0.54

Regular Cash

Dec. 11, 2020

Jan. 4, 2021

$0.54

Regular Cash

 

Record Dates

Payable Dates

Amount

Type

March 15, 2019

April 1, 2019

$0.53

Regular Cash

May 10, 2019

June 3, 2019

$0.53

Regular Cash

Aug. 9, 2019

Sept. 3, 2019

$0.53

Regular Cash

Dec. 6, 2019

Jan. 2, 2020

$0.53

Regular Cash

Record Dates

Payable Dates

Amount

Type

March 9, 2018

April 2, 2018

$0.52

Regular Cash

May 11, 2018

June 4, 2018

$0.52

Regular Cash

Aug. 10, 2018

Sept. 4, 2018

$0.52

Regular Cash

Dec. 7, 2018

Jan. 2, 2019

$0.52

Regular Cash

 

Record Dates

Payable Dates

Amount

Type

March 10, 2017

April 3, 2017

$0.51

Regular Cash

May 12, 2017

June 5, 2017

$0.51

Regular Cash

Aug. 11, 2017

Sept. 5, 2017

$0.51

Regular Cash

Dec. 8, 2017

Jan. 2, 2018

$0.51

Regular Cash

Record Dates

Payable Dates

Amount

Type

March 11, 2016

April 4, 2016

$0.50

Regular Cash

May 13, 2016

June 6, 2016

$0.50

Regular Cash

Aug. 12, 2016

Sep. 6, 2016

$0.50

Regular Cash

Dec. 9, 2016

Jan. 3, 2017

$0.50

Regular Cash

 

Record Dates

Payable Dates

Amount

Type

March 13, 2015

April 6, 2015

$0.490

Regular Cash

May 8, 2015

June 1, 2015

$0.490

Regular Cash

Aug. 7, 2015

Sep. 8, 2015

$0.490

Regular Cash

Dec. 4, 2015

Jan. 4, 2016

$0.490

Regular Cash

 

 

For class discussion:

What conclusions can be drawn from the above information?

Can we figure out the stock price of Wal-Mart based on dividend, with reasonable assumptions?

 

Stock Splits

Wal-Mart Stores, Inc. was incorporated on Oct. 31, 1969. On Oct. 1, 1970, Walmart offered 300,000 shares of its common stock to the public at a price of $16.50 per share. Since that time, we have had 11 two-for-one (2:1) stock splits. On a purchase of 100 shares at $16.50 per share on our first offering, the number of shares has grown as follows:

2:1 Stock Splits

Shares

Cost per Share

Market Price on Split Date

Record Date

Distributed

On the Offering

100

$16.50

May 1971

200

$8.25

$47.00

5/19/71

6/11/71

March 1972

400

$4.125

$47.50

3/22/72

4/5/72

August 1975

800

$2.0625

$23.00

8/19/75

8/22/75

Nov. 1980

1,600

$1.03125

$50.00

11/25/80

12/16/80

June 1982

3,200

$0.515625

$49.875

6/21/82

7/9/82

June 1983

6,400

$0.257813

$81.625

6/20/83

7/8/83

Sept. 1985

12,800

$0.128906

$49.75

9/3/85

10/4/85

June 1987

25,600

$0.064453

$66.625

6/19/87

7/10/87

June 1990

51,200

$0.032227

$62.50

6/15/90

7/6/90

Feb. 1993

102,400

$0.016113

$63.625

2/2/93

2/25/93

March 1999

204,800

$0.008057

$89.75

3/19/99

4/19/99

 

 

Can you estimate the expected dividend in 2022? And in 2023? And on and on…

 

 

Can you write down the math equation now?

 

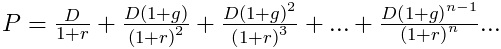
WMT stock price = ?

WMT stock price = npv(return, D1, D2, …D)

WMT stock price = D1/(1+r) +  D2/(1+r)2 +  D3/(1+r)3 +  D4/(1+r)4 + …

 

 

Can you calculate now? It is hard right because we assume dividend payment goes to infinity. How can we simplify the calculation?

 

We can assume that dividend grows at certain rate, just as the table on the right shows.

Discount rate is r (based on Beta and CAPM that we will learn in chapter 13)

 

 

 

From finance.yahoo.com

 

 

 

What does each item indicate?

 

From finviz.com   https://finviz.com/quote.ashx?t=WMT

 

 

 

 

 

 

Part II: Constant Dividend Growth-Dividend growth model

Calculate stock prices

1)      Given next dividends and price expected to be sold for

Po= https://www.jufinance.com/fin509_19s/index_files/image013.gif 

Po= https://www.jufinance.com/fin509_19s/index_files/image015.gif +https://www.jufinance.com/fin509_19s/index_files/image017.gif

Po= https://www.jufinance.com/fin509_19s/index_files/image015.gif +https://www.jufinance.com/fin509_19s/index_files/image019.gif +https://www.jufinance.com/fin509_19s/index_files/image021.gif

Po= https://www.jufinance.com/fin509_19s/index_files/image015.gif +https://www.jufinance.com/fin509_19s/index_files/image019.gif +https://www.jufinance.com/fin509_19s/index_files/image023.gif+https://www.jufinance.com/fin509_19s/index_files/image025.gif

……

image086.jpg

Refer to http://www.calculatinginvestor.com/2011/05/18/gordon-growth-model/

 

·        Now let’s apply this Dividend growth model in problem solving.

 

 

Constant dividend growth model calculator  (www.jufinance.com/stock)

 

 

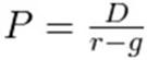
Equations

·       Po= D1/(r-g) or Po= Do*(1+g)/(r-g)

 

·       r = D1/Po+g = Do*(1+g)/Po+g; So r = total return = dividend yield + capital gain yield

 

·       g= r-D1/Po = r- Do*(1+g)/Po

 

·     D1 = Po *(r-g); D0 = Po*(r-g)/(1+g)

 

·       Capital Gain yield = g = (P1-Po)/Po; P1: Stock price one year later (P1=D2/(r-g))

 

·       Dividend Yield = r – g = D1 / Po = Do*(1+g) / Po

 

·       D1=Do*(1+g); D2= D1*(1+g); D3=D2*(1+g)…

 

Exercise:

1.     Consider the valuation of a common stock that paid $1.00 dividend at the end of the last year and is expected to pay a cash dividend in the future. Dividends are expected to grow at 10% and the investors required rate of return is 17%. How much is the price? How much is the dividend yield? Capital gain yield? (answer:  15.71, 7%, 10%)

2.     The current market price of stock is $90 and the stock pays dividend of $3 (D1) with a growth rate of 5%. What is the return of this stock? How much is the dividend yield? Capital gain yield? (answer: 8.33%, 3.33%, 5%)

 

 

Part III: Non-Constant Dividend Growth

Calculate stock prices

1)      Given next dividends and price expected to be sold for

Po= https://www.jufinance.com/fin509_19s/index_files/image013.gif 

Po= https://www.jufinance.com/fin509_19s/index_files/image015.gif +https://www.jufinance.com/fin509_19s/index_files/image017.gif

Po= https://www.jufinance.com/fin509_19s/index_files/image015.gif +https://www.jufinance.com/fin509_19s/index_files/image019.gif +https://www.jufinance.com/fin509_19s/index_files/image021.gif

Po= https://www.jufinance.com/fin509_19s/index_files/image015.gif +https://www.jufinance.com/fin509_19s/index_files/image019.gif +https://www.jufinance.com/fin509_19s/index_files/image023.gif+https://www.jufinance.com/fin509_19s/index_files/image025.gif

……

 

Non-constant dividend growth model

 

Equations

Pn = Dn+1/(r-g) = Dn*(1+g)/(r-g), since year n, dividends start to grow at a constant rate.

Where Dn+1= next dividend in year n+1;

Do = just paid dividend in year n;

r=stock return; g= dividend growth rate;

Pn= current market price in year n;

 

Po = npv(r, D1, D2, …, Dn+Pn)

Or,

Po = D1/(1+r) + D2/(1+r)2 + … + (Dn+Pn)/(1+r)n

 

Calculator: Non-Constant Dividend Growth Calculator

 

 

In class exercise for non-constant dividend growth model

 

 

 

 

 

1.     You expect AAA Corporation to generate the following free cash flows over the next five years:

 

Year

1

2

3

4

5

FCF ($ millions)

75

84

96

111

120

 

Since year 6, you estimate that AAA's free cash flows will grow at 6% per year. WACC of AAA = 15%

·       Calculate the enterprise value for DM Corporation.

·       Assume that AAA has $500 million debt and 14 million shares outstanding, calculate its stock price.

 

Answer:

FCF grows at 6% ==> could use dividend constant growth model to get the value at year 5

Value in year five = FCF in year 6 /(WACC - g)

FCF in year 6 = FCF in year 5 *(1+g%), g=6%

FCF in year 6 = 120 *(1+6%)

value in year five = 120*(1+6%)/(15%-6%) = 1413.13

value in year 0 (current value) =1017.56 = npv(15%, 75, 84, 96, 111, 120+1413.13)

Note: Po = D1/(r-g)  ==> Firm value = FCF1/(WACC-g) = FCFo *(1+g)/(WACC-g)

Assume that AAA has $500 million debt and 14 million shares outstanding, calculate its stock price.

equity value = 1017.56 - 500 = 517.56 millions

stock price = 517.56 / 14

 

 

2. AAA pays no dividend currently. However, you expect it pay an annual dividend of $0.56/share 2 years from now with a growth rate of 4% per year thereafter. Its equity cost = 12%, then its stock price=?

 

Answer:

Do=0

D1=0

D2=0.56

g=4% after year 2 è P2 = D3/(r-g), D3=D2*(1+4%) è P2 = 0.56*(1+4%)/(12%-4%) = 7.28

r=12%

Po=?  Po = NPV(12%, D1, D2+P2), D2 = 0.56, P2=7.28. SO Po = NPV(12%, 0,0.56+7.28) = 6.25

 

(Note: for non-constant growth model, calculate price when dividends start to grow at the constant rate. Then use NPV function using dividends in previous years, last dividend plus price. Or use calculator at https://www.jufinance.com/dcf/ )

 

 

3. Required return =12%.  Do = $1.00, and the dividend will grow by 30% per year for the next 4 years.  After t = 4, the dividend is expected to grow at a constant rate of 6.34% per year forever.  What is the stock price ($40)?

Answer:

Do=1

D1 = 1*(1+30%) = 1.3

D2= 1.3*(1+30%) = 1.69

D3 = 1.69*(1+30%) = 2.197

D4 = 2.197*(1+30%) = 2.8561

D5 = 2.8561*(1+6.34%), g=6.34%

P4 = D5/(r-g) = 2.8561*(1+6.34%) /(12% - 6.34%)

Po = NPV(12%, 1.3, 1.69, 2.197, 2.8561+2.8561*(1+6.34%)) /(12% - 6.34%)) = 40

 

Or use calculator at https://www.jufinance.com/dcf/

 

 

Part IV: How to pick stocks? (FYI)

How to pick stocks  Does it work?

PE ratio; PEG ratio (peg ratio vs. PE ratio  video)

 

Stock screening tools

·       Reuters stock screener to help select stocks

http://stockscreener.us.reuters.com/Stock/US/

 

·       FINVIZ.com

http://finviz.com/screener.ashx

use screener on finviz.com to narrow down your choices of stocks, such as PE<15, PEG<1, ROE>30%

 

 

·       WSJ stock screen

http://online.wsj.com/public/quotes/stock_screener.html

 

·       Simply the Web's Best Financial Charts

 Stock charts

 

 

MSN Money

You can find analyst rating from MSN money

For instance,

ANALYSTS RATINGS

Zacks average brokerage recommendation is Moderate Buy

RECOMMENDATIONS

CURRENT

1 MONTH AGO

2 MONTHS AGO

3 MONTHS AGO

Strong Buy

26

26

25

24

Moderate Buy

4

4

4

4

Hold

8

8

8

9

Moderate Sell

0

0

0

0

Strong Sell

0

0

0

0

Mean Rec.

1.51

1.51

1.53

1.58

 

 

 

Summary of stock screening rules from class discussion

PEG<1

PE<15  (? FB’s PE>100?)

Growth rate<20

ROE>10%

Analyst ranking: strong buy only

Zacks average =1 (from Ranking stocks using PEG ratio)

current price>5

 

 

   How to pick stocks

Capital Asset Pricing Model (CAPM)Explained

https://www.youtube.com/watch?v=JApBhv3VLTo

 

Ranking stocks using PEG ratio

https://www.youtube.com/watch?v=bekW_hTehNU

 

 

 

 

HOMEWORK (Due with final)

1.     Northern Gas recently paid a $2.80 annual dividend on its common stock. This dividend increases at an average rate of 3.8 percent per year. The stock is currently selling for $26.91 a share. What is the market rate of return? (14.60 percent)

2.     Douglass Gardens pays an annual dividend that is expected to increase by 4.1 percent per year. The stock commands a market rate of return of 12.6 percent and sells for $24.90 a share. What is the expected amount of the next dividend? ($2.12)

3.     IBM just paid $3.00 dividend per share to investors. The dividend growth rate is 10%. What is the expected dividend of the next year? ($3.3)

4.     The current market price of stock is $50 and the stock is expected to pay dividend of $2 with a growth rate of 6%. How much is the expected return to stockholders? (10%)

5.    Investors of Creamy Custard common stock earns 15% of return. It just paid a dividend of $6.00 and dividends are expected to grow at a rate of 6% indefinitely. What is expected price of Creamy Custard's stock? ($70.67)

 

 

Homework Video of this week  

  

Homework help video

 

Quiz 3- Help Video

Part I          Part II      Part III     Part IV

 

 

 

 

 

 

 

 

 

 

 

 

 

P/E Ratio Summary by industry (FYI) --- Thanks to Dr Damodaran

 

Data Used: Multiple data services

Date of Analysis: Data used is as of January 2021

Download as an excel file insteadhttp://www.stern.nyu.edu/~adamodar/pc/datasets/pedata.xls

For global datasetshttp://www.stern.nyu.edu/~adamodar/New_Home_Page/data.html

 


Industry Name

Number of firms

Current PE

Expected growth - next 5 years

PEG Ratio

Advertising

61

20.95

83.44%

0.19

Aerospace/Defense

72

291.56

5.78%

3.55

Air Transport

17

8.14

-14.27%

NA

Apparel

51

22.38

13.60%

1.63

Auto & Truck

19

164.37

18.80%

8.87

Auto Parts

52

27.43

12.42%

2.92

Bank (Money Center)

7

8.46

5.27%

2.83

Banks (Regional)

598

13.5

5.74%

2.32

Beverage (Alcoholic)

23

45.64

17.53%

2.06

Beverage (Soft)

41

201.34

10.24%

2.93

Broadcasting

29

15.1

12.93%

0.96

Brokerage & Investment Banking

39

21.14

8.88%

1.81

Building Materials

42

28.19

15.28%

1.43

Business & Consumer Services

169

38.25

12.28%

3.28

Cable TV

13

68.46

29.41%

1.04

Chemical (Basic)

48

13.8

9.70%

1.79

Chemical (Diversified)

5

13.89

5.55%

2.35

Chemical (Specialty)

97

36.06

9.18%

3.4

Coal & Related Energy

29

2.85

-20.90%

NA

Computer Services

116

45.38

9.98%

1.86

Computers/Peripherals

52

40.61

12.30%

2.97

Construction Supplies

46

84.99

11.21%

2.27

Diversified

29

26.18

9.58%

1.86

Drugs (Biotechnology)

547

31

18.96%

1.14

Drugs (Pharmaceutical)

287

122.82

11.28%

2.09

Education

38

26.92

14.76%

1.75

Electrical Equipment

122

51.61

1.85%

15.93

Electronics (Consumer & Office)

22

57.06

20.95%

0.66

Electronics (General)

157

81.09

15.15%

2.72

Engineering/Construction

61

27.42

11.33%

2.38

Entertainment

118

908.12

17.03%

3.18

Environmental & Waste Services

86

538.13

11.58%

3.72

Farming/Agriculture

32

26.45

17.84%

1.38

Financial Svcs. (Non-bank & Insurance)

235

24.3

13.59%

1.08

Food Processing

101

268.11

13.87%

1.54

Food Wholesalers

18

320.61

11.97%

0.71

Furn/Home Furnishings

40

29.97

15.23%

1.25

Green & Renewable Energy

25

56

12.25%

5.25

Healthcare Products

265

330.73

16.92%

2.81

Healthcare Support Services

129

101.84

16.32%

1.03

Heathcare Information and Technology

139

189.47

21.56%

1.82

Homebuilding

30

19.46

16.91%

0.67

Hospitals/Healthcare Facilities

32

72.23

13.75%

1.33

Hotel/Gaming

66

51.99

-15.51%

NA

Household Products

140

592.23

9.46%

2.98

Information Services

77

102.24

11.15%

4.86

Insurance (General)

21

65.34

33.98%

0.63

Insurance (Life)

26

18.97

7.81%

1

Insurance (Prop/Cas.)

55

44.23

8.58%

1.55

Investments & Asset Management

348

480.92

10.73%

1.64

Machinery

125

59.51

12.27%

2.63

Metals & Mining

86

30.21

72.06%

0.51

Office Equipment & Services

22

16.09

8.16%

3.09

Oil/Gas (Integrated)

3

33.88

7.20%

7.29

Oil/Gas (Production and Exploration)

278

25.15

-25.81%

NA

Oil/Gas Distribution

57

10.84

6.69%

2.28

Oilfield Svcs/Equip.

135

40.3

7.98%

0.34

Packaging & Container

26

25.24

11.40%

2.37

Paper/Forest Products

15

20.06

7.00%

1.96

Power

55

21.48

7.02%

2.96

Precious Metals

93

19.65

12.85%

1.52

Publishing & Newspapers

29

48

9.21%

4.51

R.E.I.T.

238

49.79

2.10%

17.69

Real Estate (Development)

25

31.02

14.50%

1.1

Real Estate (General/Diversified)

11

40.16

-3.24%

NA

Real Estate (Operations & Services)

61

1199.26

21.97%

1.01

Recreation

69

39.3

22.98%

3.22

Reinsurance

2

9.56

30.10%

0.51

Restaurant/Dining

79

70.43

12.54%

3.93

Retail (Automotive)

30

30.46

13.29%

1.27

Retail (Building Supply)

15

152.69

18.72%

1.23

Retail (Distributors)

85

41.38

9.94%

2.59

Retail (General)

17

23.23

2.14%

10.77

Retail (Grocery and Food)

14

40.6

12.26%

0.78

Retail (Online)

75

133.68

20.17%

3.51

Retail (Special Lines)

85

30.51

9.91%

4.19

Rubber& Tires

3

39.19

7.45%

1.76

Semiconductor

70

1291.42

13.63%

2.3

Semiconductor Equip

40

108.68

24.68%

1.14

Shipbuilding & Marine

11

23.47

11.30%

2.19

Shoe

11

31.53

15.84%

4.45

Software (Entertainment)

101

100.59

19.72%

1.67

Software (Internet)

36

92.26

23.68%

1.36

Software (System & Application)

388

193.65

22.61%

1.73

Steel

32

76.29

1.93%

8.99

Telecom (Wireless)

16

29.65

10.30%

4.67

Telecom. Equipment

96

69.36

14.07%

1.57

Telecom. Services

58

158.41

6.90%

2.17

Tobacco

15

28.53

9.83%

2.48

Transportation

21

27.84

11.20%

2.77

Transportation (Railroads)

6

25.54

9.37%

2.87

Trucking

35

30.51

4.76%

5.53

Utility (General)

16

20.24

4.95%

3.21

Utility (Water)

17

54.77

8.56%

4.83

Total Market

7582

109.79

11.64%

2.35

Total Market (without financials)

6253

103.33

12.17%

2.5

 

 

 

 

Details about how to derive the model mathematically (FYI)

The Gordon growth model is a simple discounted cash flow (DCF) model which can be used to value a stock, mutual fund, or even the entire stock market.  The model is named after Myron Gordon who first published the model in 1959.

The Gordon model assumes that a financial security pays a periodic dividend (D) which grows at a constant rate (g). These growing dividend payments are assumed to continue forever. The future dividend payments are discounted at the required rate of return (r) to find the price (P) for the stock or fund.

Under these simple assumptions, the price of the security is given by this equation:

image086.jpg

In this equation, I’ve used the “0” subscript on the price (P) and the “1” subscript on the dividend (D) to indicate that the price is calculated at time zero and the dividend is the expected dividend at the end of period one. However, the equation is commonly written with these subscripts omitted.

Obviously, the assumptions built into this model are overly simplistic for many real-world valuation problems. Many companies pay no dividends, and, for those that do, we may expect changing payout ratios or growth rates as the business matures.

Despite these limitations, I believe spending some time experimenting with the Gordon model can help develop intuition about the relationship between valuation and return.

Deriving the Gordon Growth Model Equation

The Gordon growth model calculates the present value of the security by summing an infinite series of discounted dividend payments which follows the pattern shown here:

image081.jpg

Multiplying both sides of the previous equation by (1+g)/(1+r) gives:

image082.jpg

We can then subtract the second equation from the first equation to get:

image083.jpg

Rearranging and simplifying:

image084.jpg

image085.jpg

Finally, we can simplify further to get the Gordon growth model equatio 

 

 

 

 

 

 

 

 

 

 

 

 

When Will Disney, Ford, and AMC Pay Dividends Again? (FYI)

A lot of companies suspended their payouts in 2020. Some of them aren't coming back anytime soon.

 

Rick Munarriz, Aug 21, 2021 at 8:05AM

 

https://www.fool.com/investing/2021/08/21/when-will-disney-ford-and-amc-pay-dividends-again/

 

 

Key Points

Disney has returned to profitability sooner than expected, but long-term losses at Disney+ and the need to invest in content may keep its payout in check.

Ford has been profitable in four of the past five quarters, and only the need to ramp up investing in electric vehicles could keep a dividend away.

The number of AMC shares have increased fivefold over the past year, and that's not even the biggest reason its distributions aren't returning anytime soon.

 

Income investors saw some of their dividend streams shrivel up last year. A lot of companies suspended their payouts in early 2020, bracing for the impact of the COVID-19 crisis. The pandemic isn't fading in the rearview mirror the way it was two months ago, but it's fair to start wondering when some of the more prolific companies that nixed their distributions will return to cutting shareholder checks.

 

Disney (NYSE:DIS), Ford (NYSE:F), and AMC Entertainment Holdings (NYSE:AMC) are three widely followed stocks currently yielding 0%. Will that change? More importantly, does that have to change? All three stocks are trading sharply higher now than they were when they paused their payouts. Let's see how soon the dividends can return -- and how likely that is to happen in 2022.

 

Disney

The House of Mouse was shelling out $0.88 a share twice a year until the pandemic hit. It wasn't a surprise. Its theme parks and cruise ships as well as the multiplexes it relied on for theatrical distribution of its popular films all closed down in mid-March of last year.

 

Disney braced for the worst, and reality proved to be substantially kinder. After a pair of quarterly losses during the early stretch of the crisis Disney has come through with three consecutive quarterly profits. Even its theme parks segment returned to profitability in its latest report. 

 

The dividend has a good chance of returning at some point in the next year, but Disney is probably in no rush to make it happen. Disney is expected to continue to lose money until 2024, and it needs content to keep growing. Some analysts have argued that a better use of the $3.2 billion it returned to investors in 2019 would be better served on new video content. It's fair, but it would still be a surprise if the distributions don't come back in Disney's fiscal 2022 if the economy holds up with its end of the bargain.

 

Ford

The other name on this list that could beat Disney to the payout restarting lines is Ford. The automaker pioneer was a bigger draw to income investors than Disney given its much larger pre-pandemic yield. Ford has also been profitable in four of the past five quarters, one more period in the black than Mickey Mouse.

 

If Ford doesn't return to its quarterly distributions soon it won't be because it lacks confidence in its near-term outlook. Ford is just investing in its reinvention. It has made a well-received push into electric vehicles, and it's a market darling again. The stock is trouncing the market in 2021 with a 42% year-to-date gain. If Ford thinks it will need to preserve more of its capital to ramp up its presence in electric vehicles it may not return to its chunky suspended dividend that would translate to a yield of nearly 5% at the current price. However, it would be surprising if it doesn't come back with at least a smaller token quarterly disbursement in the coming months.

 

AMC Entertainment

It's not going to happen. A lot has happened at AMC since it last cut a dividend check. It's still losing money, and even if it wasn't, its share count has exploded nearly fivefold over the past year. In other words, it would cost AMC five times as much to pay its former per-share dividend.

 

There are clearly better uses for its money. It can buy back stock. It can update its theaters. It can make more investments in home streaming to make sure it's not left out of the migration away from the neighborhood multiplex. It can even invest in exclusive content.

 

None of these options may seem feasible in the near term, with analysts expecting the red ink to continue until 2024. However, AMC has armed itself with a record $2 billion in liquidity. It does have options to improve its turnaround chances, but you can be sure that it won't involve sending some of that cash to its shareholders in the form of dividend checks. Let them eat complimentary popcorn.

 

Disney and Ford should return to being dividend stocks in the next year. Payout out regular distributions just isn't part of the movie trailer at AMC.

 

 

 

 

Google parent Alphabet announces 20-for-1 stock split

PUBLISHED TUE, FEB 1 20224:19 PM ESTUPDATED WED, FEB 2 20223:11 AM EST

Jordan Novet

https://www.cnbc.com/2022/02/01/google-parent-alphabet-announces-20-for-1-stock-split.html

 

KEY POINTS

·       Before the Alphabet rebrand in 2015, Google effectively split its stock with the introduction of a third class of shares.

·       Alphabet stock has doubled in less than two years, and the new split would make it more affordable for more people.

 

Google parent Alphabet said its board approved plans for a 20-for-1 stock split on Tuesday as part of the technology company’s quarterly earnings statement. Alphabet stock rose more than 9% in after-market trading following the news.

 

The move comes a year and a half after Apple most recently split its stock, giving three shares for each share that people owned. Alphabet and Apple are among the few technology companies that have seen their market capitalizations stretch into the trillions, as investors opted for profitable growth.

 

Alphabet intends to split the Class A, Class B and Class C shares of the stock, according to the earnings statement. The change requires shareholder approval. Each shareholder at the close of business on July 1 will receive, on July 15, 19 additional shares for each share of the same class of stock they own.

 

In 2012, Google added a third class of shares, Class C, with no voting rights. The company already had Class A shares, which carry one vote per share, and Class B shares, which are held closely by founders and early investors and carry 10 votes. The company maintained this stock structure through its 2015 rebrand to Alphabet.

 

In a letter included the 2004 prospectus for Googles initial public offering, Larry Page and Sergey Brin, Google’s founders, emphasized that they would always act with the long-term welfare of our company and shareholders in mind.

 

They described the introduction of the third class as effectively a stock split in a 2012 letter and said it was something many shareholders had been clamoring for. The 2-for-1 stock split came in 2014, before the switch to Alphabet.

 

Page and Brin own a combined 12% of Alphabets Class C shares, which trade under the ticker symbol GOOG and have no voting rights, according to FactSet. The duo control 83% of the company’s Class B shares, which do not trade on open markets.

 

Shares of Alphabet stock have become more expensive lately, at over $2,750 each at the time of market close on Tuesday, having doubled in price since May 2020. The lower price would mean that more investors might be able to afford buying entire, rather than fractional, shares of the advertising company.

 

Were the split to happen as of Tuesday’s close, the cost of each share would go from $2,752.88 to $137.64, and each existing holder would get 19 additional shares for every one they own.

 

-- CNBC’s Ari Levy contributed to this report.

 

Stock Splits (FYI)

 

 

SYMBOL

COMPANY

RATIO

PAYABLE ON

EX-DATE

ANNOUNCED

GOOGL

Alphabet Inc.

20 : 1

07/15/2022  

07/18/2022

      12/27/2021

GOOG

Alphabet Inc.

20 : 1

07/15/2022

07/18/2022  

      01/27/2022

CM

Canadian Imperial Bank of Commerce

2 : 1

05/13/2022

05/16/2022

      N/A

MSLOY

Mitsui O S K Lines Ltd. ADR

3 : 1

04/08/2022

04/11/2022

      N/A

MFA

MFA Financial, Inc.

1 : 4

04/05/2022

04/05/2022

     04/05/2022

CFX

Colfax Corporation

1 : 3

04/05/2022

04/05/2022

     04/05/2022

ATAX

America First Multifamily Investors, L.P.

1 : 3

04/04/2022

04/04/2022

     04/04/2022

PTSI

P.A.M. Transportation Services, Inc.

2 : 1

03/29/2022

03/30/2022

     03/08/2022

MOGU

MOGU Inc.

1 : 12

03/28/2022

03/28/2022

     03/28/2022

SOXS

Direxion Daily Semiconductor Bear 3x Shares

1 : 10

03/28/2022

03/28/2022

     03/28/2022

DRIP

Direxion Daily S&P Oil & Gas Exp. & Prod. Bear 2X Shares

1 : 10

03/28/2022

03/28/2022

     03/28/2022

https://www.nasdaq.com/market-activity/stock-splits

 

 

Dividend Calendar (FYI)

 

  https://www.nasdaq.com/market-activity/dividends

 

 

Chapter 9 Capital Budgeting

 

ppt

 

image093.jpg

 

 

1.      NPV Excel syntax

Syntax

  NPV(rate,value1,value2, ...)

  Rate     is the rate of discount over the length of one period.

  Value1, value2, ...     are 1 to 29 arguments representing the payments and income.

·         Value1, value2, ... must be equally spaced in time and occur at the end of each    period. NPV uses the order of value1, value2, ... to interpret the order of cash flows. Be sure to enter your payment and income values in the correct sequence.

 

2.      IRR Excel syntax

Syntax

   IRR(values, guess)

   Values  is an array or a reference to cells that contain numbers for which you want to calculate the internal rate of return.

  Guess     is a number that you guess is close to the result of IRR.

 image040.jpg

 

image100.jpg 

 

image099.jpg

 

image047.jpg

 

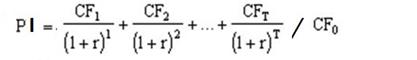
Or, PI = NPV / CFo +1

Profitable index (PI) =1 + NPV / absolute value of CFo

 

3.     MIRR( valuesfinance_ratereinvest_rate )

Where the function arguments are as follows:

Values

-

An array of values (or a reference to a range of cells containing values) representing the series of cash flows (investment and net income values) that occur at regular periods.

These must contain at least one negative value (representing payment) and at least one positive value (representing income).

finance_rate

-

The interest rate paid on the money used in the cash flows.

reinvest_rate

-

The interest rate paid on the reinvested cash flows.

 

image036.jpg

 

 

Modified Rate of Return: Definition & Example (video)

https://study.com/academy/lesson/modified-rate-of-return-definition-example.html 

 

 

NPV, IRR, Payback Period calculator I

(www.jufinance.com/npv)

 

NPV, IRR, Payback Period calculator II

(www.jufinance.com/capital)


image046.jpg

image047.jpg

 

Excel Template - NPV, IRR, MIRR, PI, Payback, Discounted payback

 

 

NPV Profile in Excel Demonstration (Video, FYI)

 

In class exercise 

 

Part I: Single project

 

1.     How much is MIRR? IRR? Payback period? Discounted payback period? NPV?

WACC:  11.00%

Year                0          1          2          3         

Cash flows      -$800   $350    $350    $350

 

Answer:

 

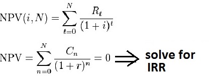
1)    NPV:

 

 image100.jpg

 

NPV = -800 + 350/(1+11%) + 350/(1+11%)2 + 350/(1+11%)3  = 55.30

Or in excel:  = npv(11%, 350, 350, 350)-800 = 55.30

 

2)    IRR:

 

image099.jpg

So NPV = 0 = -800 + 350/(1+IRR) + 350/(1+IRR)2 + 350/(1+IRR)3 , use Solver, can get IRR = 14.93%

Or in excel:

image067.jpg

 

3)    PI: profitable index

image047.jpg

 

SO, PI= (350/(1+11%) + 350/(1+11%)2 + 350/(1+11%)3 ) / 800 = 1.069

Or PI = NPV/800 + 1 = 55.30/800 + 1 = 1.069

 

4)    Payback period:

image046.jpg

 

A portion of the third year = (800-350-350)/350 = 100/350 = 0.2857

So it takes 2 + 0.2857 = 2.2857 years to pay off the debt of $800.

 

5)    Discounted payback period:

image046.jpg

Note: All the cash flows in the above equation should be the present values.

 

image072.jpg

 

A portion of the third year = (800-318.18-289.26)/262.96 = 0.72

So it takes 2 + 0.72 = 2.72 years to pay off the debt of $800.

 

Or use the calculator at https://www.jufinance.com/capital/

 

 

Part II: Multi-Projects

 

1.     Projects S and L, whose cash flows are shown below.  These projects are mutually exclusive, equally risky, and not repeatable.  The CEO believes the IRR is the best selection criterion, while the CFO advocates the NPV.  If the decision is made by choosing the project with the higher IRR rather than the one with the higher NPV, how much, if any, value will be forgone, i.e., what's the chosen NPV versus the maximum possible NPV?  Note that (1) true value is measured by NPV, and (2) under some conditions the choice of IRR vs. NPV will have no effect on the value gained or lost.

 

WACC:  7.50%

Year    0                          1                2            3          4         

CFS     -$1,100               $550          $600       $100    $100

CFL     -$2,700               $650           $725      $800    $1,400

 

Answer:

 

image073.jpg

 

 

 Question 2:

Period

Project A

Project B

 0

-500

-400

1

325

325

2

325

200

IRR

NPV

If the required rate of return is 10%. Which project shall you choose?

1)      How much is the cross over rate? (answer: 11.8%)

2)      How is your decision if the required rate of return is 13%? (answer: NPV of B>NPV of A)

·         Rule for mutually exclusive projects: (answer: Choose B)

·         What about the two projects are independent? (answer: Choose both)

 

Solution:

 

 

 

Part III More on IRR – (non-conventional cash flow) 

 

Suppose an investment will cost $90,000 initially and will generate the following cash flows:

–    Year 1: 132,000

–    Year 2: 100,000

–    Year 3: -150,000

The required return is 15%. Should we accept or reject the project?

1)      How  does the NPV profile look like? (Answer: Inverted NPV profile)

2)      IRR1= 10.11% -- answer

3)      IRR2= 42.66% -- answer

 

 

Solution:

 

 

HOMEWORK(Due with final)
 Question 1:
 Project with an initial cash outlay of $20,000 with following free cash flows for 5 years.

Year   Cash flows

1                    $8,000

2                    4,000

3                    3,000

4                    5,000

5                    10,000

 

1)      How much is the payback period (approach one)?   ---- 4 years

2)      If the firm has a 10% required rate of return. How much is NPV (approach 2)?-- $2456.74

3)      If the firm has a 10% required rate of return. How much is IRR (approach 3)? ---- 14.55%

4)      If the firm has a 10% required rate of return. How much is PI (approach 4)? ---- 1.12

Question 2: Project with an initial cash outlay of $60,000 with following free cash flows for 5 years.

      Year    FCF               

Initial outlay    –60,000          

      1          25,000          

      2          24,000          

      3          13,000

      4          12,000

      5          11,000 

The firm has a 15% required rate of return.

Calculate payback period, NPV, IRR and PI. Analyze your results. (2.85, $764.27, 15.64%, 1.013, accept the project)

 Question 3: Mutually Exclusive Projects

1)      Consider the following cash flows for one-year Project A and B, with required rates of return of 10%. You have limited capital and can invest in one but one project. Which one? (A’s NPV = 72.73, B’s NPV=227.27, so choose B)

§  Initial Outlay: A = -$200; B = -$1,500

§  Inflow:            A = $300; B = $1,900

 

2)      Example: Consider two projects, A and B, with initial outlay of $1,000, cost of capital of 10%, and following cash flows in years 1, 2, and 3:

A: $100                       $200                $2,000

B: $650                       $650                $650

 Which project should you choose if they are mutually exclusive? Independent? Crossover rate?

(mutually exclusive: A’s NPV=758.83 > B’s NPV = 616.45, so choose A; Independent, choose all positive NPV, so choose both;

Crossover rate = 21.01%. The calculator does not work. Use IRR in Excel)

 

Quiz 4- chapter 9 (no video prepared; Could use the calculator)

 

 

Homework help videos (chapter 9)

Q1    Q2-Q3     Excel Template Help

 

 

 

Simple Rules’ for Running a Business (fyi)

From the 20-page cellphone contract to the five-pound employee handbook, even the simple things seem to be getting more complicated.

Companies have been complicating things for themselves, tooanalyzing hundreds of factors when making decisions, or consulting reams of data to resolve every budget dilemma. But those requirements might be wasting time and muddling priorities.

So argues Donald Sull, a lecturer at the Sloan School of Management at the Massachusetts Institute of Technology who has also worked for McKinsey & Co. and Clayton, Dubilier & Rice LLC. In the book Simple Rules: How to Thrive in a Complex World, out this week from Houghton Mifflin Harcourt HMHC -1.36%, he and Kathleen Eisenhardt of Stanford University claim that straightforward guidelines lead to better results than complex formulas.

Mr. Sull recently spoke with At Work about what companies can do to simplify, and why five basic rules can beat a 50-item checklist. Edited excerpts:

WSJ: Where, in the business context, might simple rules help more than a complicated approach?

Donald Sull: Well, a common decision that people face in organizations is capital allocation. In many organizations, there will be thick procedure books or algorithmsone company I worked with had an algorithm that had almost 100 variables for every project. These are very cumbersome approaches to making decisions and can waste time. Basically, any decision about how to focus resourceseither people or money or attentioncan benefit from simple rules.

WSJ: Can you give an example of how that simplification works in a company?

Sull: Theres a German company called Weima GmBH that makes shredders. At one point, they were getting about 10,000 requests and could only fill about a thousand because of technical capabilities, so they had this massive problem of sorting out which of these proposals to pursue.

They had a very detailed checklist with 40 or 50 items. People had to gather data and if there were gray areas the proposal would go to management. But because the data was hard to obtain and there were so many different pieces, people didnt always fill out the checklists completely. Then management had to discuss a lot of these proposals personally because there was incomplete data. So top management is spending a disproportionate amount of time discussing this low-level stuff.

Then Weima came up with guidelines that the frontline sales force and engineers could use to quickly decide whether a request fell in the yes,” “no or maybe category. They did it with five rules only, stuff like Weima had to collect at least 70% of the price before the unit leaves the factory.

After that, only the maybes were sent to management. This dramatically decreased the amount of time management spend evaluating these projectsthat time was decreased by almost a factor of 10.

Or, take Frontier Dental Laboratories in Canada. They were working with a sales force of two covering the entire North American market. Limiting their sales guidelines to a few factors that made someone likely to be receptive to Frontierstuff like dentists who have their own practice and dentists with a website”—helped focus their efforts and increase sales 42% in a declining market.

WSJ: Weima used five factorsis that the optimal number? And how do you choose which rules to follow?

Sull: You should have four to six rules. Any more than that, youll spend too much time trying to follow everything perfectly. The entire reason simple rules help is because they force you to prioritize the goals that matter. Theyre easy to remember, they dont confuse or stress you, they save time.

They should be tailored to your specific goals, so you choose the rules based on what exactly youre trying to achieve. And you should of course talk to others. Get information from different sources, and ask them for the top things that worked for them. But focus on whether what will work for you and your circumstances.

WSJ: Is there a business leader you can point to who has embraced the simple rules guideline?

Donald Sull: Lets look at when Alex Behring took over America Latina Logistica SARUMO3.BR +1.59%, the Brazilian railway and logistics company. With a budget of $15 million, how do you choose among $200 million of investment requests, all of which are valid?

The textbook business-school answer to this is that you run the NPV (net present value) test on each project and rank-order them by NPV. Alex Behring knows this. He was at the top of the class at Harvard Business School.

But insteadhe decided what the most important goals were. You cant achieve everything at once. In their case, their priorities were removing bottlenecks on growing revenues and minimizing upfront expenditure. So when allocating money, they had a bias for projects that both addressed the bottleneck problem and, for example, used existing tracks and trains.

Similarly, the global-health arm of the Gates Foundation gets many, many funding requests. But since they know that their goal is to have the most impact worldwide, they focus on projects in developing countries because thats where the money will stretch farther.

Week 5 - Chapter 14 Cost of Capital 

 

 ppt

 

 For class discussion:

·       What is WACC?

·       Why is it important?

·       WACC increases, good or bad to stock holders?

·       How to apply WACC to figure out firm value?

 

 image092.jpg

 

One option (if beta is given, refer to chapter 13)

 image087.jpg

 

Another option (if dividend is given):

 

 image088.jpg

 

WACC Formula

 

 image089.jpg

 

 

WACC calculator (annual coupon bond)

(www.jufinance.com/wacc)

 

 image090.jpg

 

WACC calculator  (semi-annual coupon bond)

 (www.jufinance.com/wacc_1)

 

WACC Excel Template

 

WACC Calculator help videos FYI

 

 

Summary of Equations

 

Discount rate to figure out the value of projects is called WACC (weighted average cost of capital)

 

WACC = weight of debt * cost of debt   + weight of equity *( cost of equity)

 

Wd= total debt / Total capital  = total borrowed / total capital

We= total equity/ Total capital  

Cost of debt = rate(nper, coupon, -(price – flotation costs), 1000)*(1-tax rate)

Cost of Equity = D1/(Po – Flotation Cost)  + g  

D1: Next period dividend; Po: Current stock price; g: dividend growth rate

Note: flotation costs = flotation percentage * price

 

Or if beta is given, use CAPM model (refer to chapter 13)

Cost of equity = risk free rate + beta *(market return – risk free rate)

           Cost of equity = risk free rate + beta * market risk premium

 

 In Class Exercise:

 A firm borrows money from bond market. The price they paid is $950 for the bond with 5% coupon rate and 10 years to mature. Flotation cost is $40.  For the new stocks, the expected dividend is $2 with a growth rate of 10% and price of $40. The flotation cost is $4. The company raises capital in equal proportions i.e. 50% debt and 50% equity (such as total $1m raised and half million is from debt market and the other half million is from stock market). Tax rate 34%. What is WACC (weighted average cost of capital, cost of capital)?  (Answer: 9.84%)

1)      Why does the firm raise capital from the financial market? Is there of any costs of doing so? What do you think?

2)      What is cost of debt?

 (Kd = rate(nper, coupon, -(price – flotation costs $)), 1000)*(1-tax rate))

3)      Cost of equity? (Ke = (D1/(Price – flotation costs $)) +g, or Ke = Rrf + Beta*MRP))

Why no tax adjustment like cost of debt?

4)      WACC=Cost of capital = Percentage of Debt * cost of debt + percentage of stock * cost of stock = Wd*Kd + We* Ke

Meaning: For a dollar raised in the capital market from debt holders and stockholders, the cost is WACC (or WACC * 1$ = several cents, and of course, the lower the better but many companies do not have good credits)

 

Solution:

Cost of debt = rate(10, 50, -(950-40), 1000)*(1-34%)

Cost of/equity = 2/(40-4)+10%

WACC = 0.5*cost of debt + 0.5*cost of equity

 

https://www.jufinance.com/wacc/

 

 

No homework for chapter 14

 

 

Homework help videos (chapter 9)

Q1    Q2-Q3     Excel Template Help

 

 

Quiz 4- chapter 9 – (no video prepared)

WACC Excel Template

(both annual and semi-annual)

 

WACC calculator (annual coupon bond)

(www.jufinance.com/wacc)

 

  

WACC calculator (semi-annual coupon bond)

(www.jufinance.com/wacc_1)

 

  

Wal-Mart Inc  (NYSE:WMT) WACC %: 5.05%  As of 4/4/2022 

 

As of today (2022-4-4), Walmart's weighted average cost of capital is 5.05%. Walmart's ROIC % is 11.37% (calculated using TTM income statement data). Walmart generates higher returns on investment than it costs the company to raise the capital needed for that investment. It is earning excess returns. A firm that expects to continue generating positive excess returns on new investments in the future will see its value increase as growth increases.https://www.gurufocus.com/term/wacc/WMT/WACC/Walmart%2BInc

 

 

Amazon.com Inc  (NAS:AMZN) WACC %:7.32% As of 4/4/2022 

As of today (2022-4-4), Amazon.com's weighted average cost of capital is 7.32%. Amazon.com's ROIC % is 9.33% (calculated using TTM income statement data). Amazon.com generates higher returns on investment than it costs the company to raise the capital needed for that investment. It is earning excess returns. A firm that expects to continue generating positive excess returns on new investments in the future will see its value increase as growth increases.

https://www.gurufocus.com/term/wacc/AMZN/WACC-Percentage/Amazon.com%20Inc

 

 

 

 

Apple Inc  (NAS:AAPL) WACC %:7.41%  As of 4/4/2022 

 

As of today (2022-4-4), Apple's weighted average cost of capital is 7.41%. Apple's ROIC % is 35.38% (calculated using TTM income statement data). Apple generates higher returns on investment than it costs the company to raise the capital needed for that investment. It is earning excess returns. A firm that expects to continue generating positive excess returns on new investments in the future will see its value increase as growth increases..https://www.gurufocus.com/term/wacc/AAPL/WACC/Apple%2Binc

 

Tesla WACC %: 19.09%  As of 4/4/2022 

As of today (2022-4-4), Tesla's weighted average cost of capital is 19.09%. Tesla's ROIC % is 15.26% (calculated using TTM income statement data). Tesla earns returns that do not match up to its cost of capital. It will destroy value as it grows.

https://www.gurufocus.com/term/wacc/NAS:TSLA/WACC-/Tesla

 

 

 

Cost of Capital by Sector (US)

 

Date of Analysis: Data used is as of January 2022

Download as an excel file insteadhttps://www.stern.nyu.edu/~adamodar/pc/datasets/wacc.xls

For global datasetshttps://www.stern.nyu.edu/~adamodar/New_Home_Page/data.html

 

Industry Name

Number of Firms

Beta

Cost of Equity

E/(D+E)

Std Dev in Stock

Cost of Debt

Tax Rate

After-tax Cost of Debt

D/(D+E)

Cost of Capital

Advertising

49

1.34

7.19%

66.02%

56.70%

3.58%

5.76%

2.61%

33.98%

5.64%

Aerospace/Defense

73

1.28

6.94%

77.25%

38.23%

3.16%

6.83%

2.31%

22.75%

5.89%

Air Transport

21

1.58

8.22%

39.47%

40.19%

3.58%

5.32%

2.61%

60.53%

4.83%

Apparel

39

1.23

6.71%

75.99%

43.49%

3.58%

12.06%

2.61%

24.01%

5.73%

Auto & Truck

26

1.13

6.30%

83.43%

54.78%

3.58%

3.88%

2.61%

16.57%

5.69%

Auto Parts

38

1.4

7.44%

75.94%

37.14%

3.16%

13.62%

2.31%

24.06%

6.20%

Bank (Money Center)

7

1.12

6.25%

36.98%

22.23%

2.50%

14.69%

1.83%

63.02%

3.46%

Banks (Regional)

563

0.7

4.47%

74.31%

19.68%

2.50%

19.29%

1.83%

25.69%

3.79%

Beverage (Alcoholic)

21

0.82

4.98%

82.36%

37.87%

3.16%

7.93%

2.31%

17.64%

4.51%

Beverage (Soft)

32

1.22

6.66%

85.73%

48.27%

3.58%

4.53%

2.61%

14.27%

6.09%

Broadcasting

28

1.35

7.24%

46.12%

48.77%

3.58%

11.54%

2.61%

53.88%

4.75%

Brokerage & Investment Banking

31

1.17

6.49%

35.40%

31.74%

3.16%

14.76%

2.31%

64.60%

3.79%

Building Materials

44

1.19

6.54%

84.21%

34.54%

3.16%

17.03%

2.31%

15.79%

5.87%

Business & Consumer Services

160

1.09

6.13%

81.71%

41.17%

3.58%

10.17%

2.61%

18.29%

5.48%

Cable TV

11

0.93

5.47%

62.46%

20.07%

2.50%

18.08%

1.83%

37.54%

4.10%

Chemical (Basic)

35

1.16

6.44%

69.08%

45.02%

3.58%

10.02%

2.61%

30.92%

5.26%

Chemical (Diversified)

4

1.5

7.88%

67.84%

37.29%

3.16%

3.90%

2.31%

32.16%

6.09%

Chemical (Specialty)

81

1.1

6.19%

83.70%

40.72%

3.58%

10.12%

2.61%

16.30%

5.60%

Coal & Related Energy

18

0.92

5.39%

70.60%

58.57%

3.58%

0.74%

2.61%

29.40%

4.57%

Computer Services

83

1.2

6.59%

78.78%

48.44%

3.58%

8.19%

2.61%

21.22%

5.75%

Computers/Peripherals

46

1.29

6.97%

92.96%

51.27%

3.58%

4.96%

2.61%

7.04%

6.66%

Construction Supplies

48

1.11

6.21%

78.16%

40.01%

3.58%

13.00%

2.61%

21.84%

5.42%

Diversified

22

0.75

4.71%

81.55%

30.11%

3.16%

7.24%

2.31%

18.45%

4.27%

Drugs (Biotechnology)

581

0.99

5.72%

86.73%

50.80%

3.58%

0.53%

2.61%

13.27%

5.31%

Drugs (Pharmaceutical)

298

1.08

6.07%

87.19%

56.17%

3.58%

2.18%

2.61%

12.81%

5.63%

Education

35

1.13

6.28%

79.55%

41.50%

3.58%

7.64%

2.61%

20.45%

5.53%

Electrical Equipment

104

1.25

6.79%

87.96%

57.66%

3.58%

4.98%

2.61%

12.04%

6.29%

Electronics (Consumer & Office)

16

0.98

5.65%

92.92%

52.54%

3.58%

4.87%

2.61%

7.08%

5.43%

Electronics (General)

137

1.09

6.11%

88.69%

43.45%

3.58%

6.66%

2.61%

11.31%

5.72%

Engineering/Construction

48

1.06

6.00%

79.62%

36.36%

3.16%

13.53%

2.31%

20.38%

5.24%

Entertainment

108

1.01

5.80%

86.78%

59.63%

3.58%

2.64%

2.61%

13.22%

5.38%

Environmental & Waste Services

58

1.24

6.77%

82.74%

43.01%

3.58%

5.90%

2.61%

17.26%

6.05%

Farming/Agriculture

36

1.03

5.88%

73.09%

46.45%

3.58%

7.65%

2.61%

26.91%

5.00%

Financial Svcs. (Non-bank & Insurance)

223

0.93

5.44%

12.10%

28.52%

3.16%

15.60%

2.31%

87.90%

2.69%

Food Processing

92

0.75

4.69%

76.62%

27.69%

3.16%

10.54%

2.31%

23.38%

4.14%

Food Wholesalers

15

1.4

7.45%

68.06%

54.01%

3.58%

8.60%

2.61%

31.94%

5.91%

Furn/Home Furnishings

32

1.11

6.21%

77.73%

44.77%

3.58%

11.74%

2.61%

22.27%

5.41%

Green & Renewable Energy

20

1.59

8.24%

60.01%

81.76%

8.12%

1.43%

5.93%

39.99%

7.32%

Healthcare Products

244

0.94

5.49%

92.07%

43.81%

3.58%

4.15%

2.61%

7.93%

5.26%

Healthcare Support Services

131

1.06

6.00%

80.29%

46.86%

3.58%

7.72%

2.61%

19.71%

5.33%

Heathcare Information and Technology

142

0.94

5.50%

91.14%

46.28%

3.58%

3.57%

2.61%

8.86%

5.25%

Homebuilding

29

1.69

8.66%

81.99%

39.47%

3.16%

18.63%

2.31%

18.01%

7.51%

Hospitals/Healthcare Facilities

31

1.41

7.50%

58.49%

52.31%

3.58%

8.99%

2.61%

41.51%

5.47%

Hotel/Gaming

66

1.79

9.12%

68.49%

43.87%

3.58%

6.02%

2.61%

31.51%

7.07%

Household Products

118

0.98

5.66%

88.82%

58.57%

3.58%

5.87%

2.61%

11.18%

5.32%

Information Services

79

1.25

6.81%

90.60%

46.44%

3.58%

11.22%

2.61%

9.40%

6.42%

Insurance (General)

23

0.92

5.42%

78.96%

37.15%

3.16%

11.43%

2.31%

21.04%

4.77%

Insurance (Life)

24

1.22

6.70%

51.92%

31.81%

3.16%

14.28%

2.31%

48.08%

4.59%

Insurance (Prop/Cas.)

52

0.86

5.16%

80.99%

29.24%

3.16%

13.37%

2.31%

19.01%

4.62%

Investments & Asset Management

687

1.05

5.95%

78.17%

31.97%

3.16%

1.42%

2.31%

21.83%

5.16%

Machinery

111

1.25

6.80%

87.63%

34.75%

3.16%

10.58%

2.31%

12.37%

6.24%

Metals & Mining

74

1.17

6.48%

84.62%

68.08%

4.67%

2.07%

3.41%

15.38%

6.01%

Office Equipment & Services

18

1.38

7.38%

67.45%

31.01%

3.16%

8.96%

2.31%

32.55%

5.73%

Oil/Gas (Integrated)

4

1.47

7.72%

78.91%

28.71%

3.16%

19.34%

2.31%

21.09%

6.58%

Oil/Gas (Production and Exploration)

183

1.32

7.11%

76.26%

55.48%

3.58%

2.04%

2.61%

23.74%

6.04%

Oil/Gas Distribution

21

1.4

7.43%

53.43%

44.98%

3.58%

9.76%

2.61%

46.57%

5.18%

Oilfield Svcs/Equip.

100

1.5

7.85%

64.88%

49.63%

3.58%

3.89%

2.61%

35.12%

6.01%

Packaging & Container

26

1.01

5.79%

66.81%

26.38%

3.16%

17.09%

2.31%

33.19%

4.63%

Paper/Forest Products

11

1.21

6.66%

70.76%

30.61%

3.16%

12.01%

2.31%

29.24%

5.38%

Power

50

0.83

5.04%

58.30%

19.49%

2.50%

15.61%

1.83%

41.70%

3.70%

Precious Metals

76

0.99

5.71%

89.28%

56.29%

3.58%

3.11%

2.61%

10.72%

5.37%

Publishing & Newspapers

21

1.69

8.69%

73.10%

30.80%

3.16%

11.64%

2.31%

26.90%

6.97%

R.E.I.T.

238

1.35

7.23%

65.02%

32.65%

3.16%

1.94%

2.31%

34.98%

5.51%

Real Estate (Development)

19

1.06

6.02%

55.57%

51.32%

3.58%

2.60%

2.61%

44.43%

4.50%

Real Estate (General/Diversified)

10

0.91

5.35%

79.11%

30.70%

3.16%

9.94%

2.31%

20.89%

4.72%

Real Estate (Operations & Services)

51

1.15

6.37%

63.95%

41.43%

3.58%

6.54%

2.61%

36.05%

5.01%

Recreation

60

1.23

6.71%

77.17%

50.35%

3.58%

7.75%

2.61%

22.83%

5.78%

Reinsurance

2

1.37

7.32%

72.02%

25.95%

3.16%

22.96%

2.31%

27.98%

5.92%

Restaurant/Dining

70

1.56

8.11%

78.53%

42.76%

3.58%

7.11%

2.61%

21.47%

6.93%

Retail (Automotive)

32

1.4

7.44%

72.15%

44.49%

3.58%

14.20%

2.61%

27.85%

6.09%

Retail (Building Supply)

16

1.52

7.97%

88.15%

44.73%

3.58%

15.50%

2.61%

11.85%

7.34%

Retail (Distributors)

68

1.28

6.94%

75.54%

43.10%

3.58%

11.70%

2.61%

24.46%

5.88%

Retail (General)

16

1.12

6.24%

86.17%

33.88%

3.16%

18.45%

2.31%

13.83%

5.70%

Retail (Grocery and Food)

15

0.3

2.78%

59.44%

34.27%

3.16%

13.31%

2.31%

40.56%

2.59%

Retail (Online)

60

1.1

6.19%

92.46%

58.82%

3.58%

4.76%

2.61%

7.54%

5.92%

Retail (Special Lines)

76

1.44

7.63%

74.21%

45.57%

3.58%

14.67%

2.61%

25.79%

6.34%

Rubber& Tires

2

1.16

6.41%

39.28%

47.06%

3.58%

17.42%

2.61%

60.72%

4.11%

Semiconductor

67

1.16

6.44%

93.65%

37.46%

3.16%

6.80%

2.31%

6.35%

6.18%

Semiconductor Equip

34

1.34

7.19%

95.20%

33.22%

3.16%

9.19%

2.31%

4.80%

6.95%

Shipbuilding & Marine

8

0.99

5.71%

72.48%

51.04%

3.58%

3.19%

2.61%

27.52%

4.86%

Shoe

12

1.19

6.54%

94.54%

34.71%

3.16%

9.86%

2.31%

5.46%

6.31%

Software (Entertainment)

88

1.2

6.62%

98.00%

54.61%

3.58%

2.21%

2.61%

2.00%

6.54%

Software (Internet)

36

1

5.77%

92.87%

38.09%

3.16%

1.29%

2.31%

7.13%

5.52%

Software (System & Application)

375

1.14

6.35%

94.63%

45.74%

3.58%

3.36%

2.61%

5.37%

6.15%

Steel

28

1.13

6.31%

75.26%

33.13%

3.16%

13.30%

2.31%

24.74%

5.32%

Telecom (Wireless)

17

0.96

5.60%

56.08%

48.16%

3.58%

3.26%

2.61%

43.92%

4.29%

Telecom. Equipment

82

1.08

6.10%

91.97%

40.53%

3.58%

5.29%

2.61%

8.03%

5.82%

Telecom. Services

42

0.85

5.10%

49.88%

38.67%

3.16%

5.86%

2.31%

50.12%

3.70%

Tobacco

16

1

5.74%

79.38%

24.88%

2.50%

8.23%

1.83%

20.62%

4.93%

Transportation

17

0.79

4.86%

81.37%

28.34%

3.16%

14.40%

2.31%

18.63%

4.39%

Transportation (Railroads)

4

0.73

4.62%

83.38%

16.39%

2.50%

17.34%

1.83%

16.62%

4.15%

Trucking

34

1.44

7.61%

79.20%

32.99%

3.16%

16.04%

2.31%

20.80%

6.51%

Utility (General)

16

0.89

5.29%

59.10%

18.83%

2.50%

9.75%

1.83%

40.90%

3.87%

Utility (Water)

14

0.77

4.75%

74.44%

27.09%

3.16%

10.01%

2.31%

25.56%

4.13%

Total Market

7229

1.09

6.15%

71.38%

41.01%

3.58%

7.05%

2.61%

28.62%

5.14%

Total Market (without financials)

5619

1.15

6.38%

83.34%

44.99%

3.58%

6.01%

2.61%

16.66%

5.75%

 

 

http://people.stern.nyu.edu/adamodar/New_Home_Page/datafile/wacc.htm

Chapter 13 Risk and Return

 

ppt

 

 

 

 

Equations (FYI):

1.    Expected return and standard deviation – Single Stock

Calculator

Given a probability distribution of returns, the expected return can be calculated using the following equation:

https://www.zenwealth.com/businessfinanceonline/RR/images/ER.gif

where

  • E[R] = the expected return on the stock,
  • N = the number of states,
  • pi = the probability of state i, and
  • Ri = the return on the stock in state i.

https://www.zenwealth.com/businessfinanceonline/RR/ExpectedReturn.html

Given an asset's expected return, its variance can be calculated using the following equation:

https://www.zenwealth.com/businessfinanceonline/RR/images/Var.gif

where

  • N = the number of states,
  • pi = the probability of state i,
  • Ri = the return on the stock in state i, and
  • E[R] = the expected return on the stock.

The standard deviation is calculated as the positive square root of the variance.

https://www.zenwealth.com/businessfinanceonline/RR/images/SD.gif

 https://www.zenwealth.com/businessfinanceonline/RR/MeasuresOfRisk.html

 

Exercise:

Stock A has the following returns for various states of the economy:

 State of

the Economy         Probability       Stock A's Return

Recession              10%                 -30%

Below Average     20%                 -2%

Average                 40%                 10%

Above Average     20%                 18%

Boom                    10%                 40%

 

Stock A's expected return is? Standard deviation?

 

Solution:  

Expected return = 10%*(-30%)) + 20%*(-2%) + 40% *10% + 20%*18% + 10%*40% = 8.2%

 

Standard deviation

= sqrt(10%*(-30%-8.2%)2 + 20%*(-2%-8.2%)2 +40%*(10%-8.2%)2 + 20%*(18%-8.2%)2 +10%*(40%-8.2%)2) = 16.98%

 

Or,  https://www.jufinance.com/return/

 

 

2.     Two stock portfolio equations:

Calculator

image026.jpg

W1 and W2 are the percentage of each stock in the portfolio.

image028.jpg

 

image031.gif

  • r12 = the correlation coefficient between the returns on stocks 1 and 2,
  • s12 = the covariance between the returns on stocks 1 and 2,
  • s1 = the standard deviation on stock 1, and
  • s2 = the standard deviation on stock 2.

image076.jpg

image022.jpg

  • s12 = the covariance between the returns on stocks 1 and 2,
  • N = the number of states,
  • pi = the probability of state i,
  • R1i = the return on stock 1 in state i,
  • E[R1] = the expected return on stock 1,
  • R2i = the return on stock 2 in state i, and
  • E[R2] = the expected return on stock 2.

 

Exercise:

Stocks A and B have the following returns for various states of the economy:

 State of

the Economy         Probability       Stock A's Return      Stock B’s Return

Recession              10%                 -30%                             -10%

Below Average     20%                 -2%                                  2%

Average                 40%                 10%                                 1%

Above Average     20%                 18%                                 2%

Boom                    10%                 40%                                 -5%

 

Solution: (or use calculator at https://www.jufinance.com/return/)

Stock 1:

Expected return = 10%*(-30%)) + 20%*(-2%) + 40% *10% + 20%*18% + 10%*40% = 8.2%

Standard deviation

= sqrt(10%*(-30%-8.2%)2 + 20%*(-2%-8.2%)2 +40%*(10%-8.2%)2 + 20%*(18%-8.2%)2 +10%*(40%-8.2%)2) = 16.98%

 

Stock 2:

Expected return = 10%*(10%)) + 20%*(2%) + 40% *1% + 20%*2% + 10%*(-5)% = 1.7%

Standard deviation

= sqrt(10%*(10%-1.7%)2 + 20%*(2%-1.7%)2 +40%*(1%-1.7%)2 + 20%*(2%-1.7%)2 +10%*((-5)%-1.7%)2) = 3.41%

 

Covariance:

Covariance = 10%*(-30%-8.2%)*(10%-1.7%)+20%*(-2%-8.2%)*(2%-1.7%)+40%*(10%-8.2%)*(1%-1.7%)+20%*(18%-8.2%)*(2%-1.7%)+10%*(40%-8.2%)*((-5%)-1.7%) = -0.54%

 

Correlation:

Correlation = -0.54%/(16.98%* 3.41%) = -0.93

 

 

 

]3.. Historical returns

Holding period return (HPR) = (Selling price – Purchasing price + dividend)/ Purchasing price

HPR calculator

Exercise:

 

 

 

4.    CAPM (Capital Asset Pricing Model) model 

 CAPM calculator

·        What is Beta? Where to find Beta?

image018.gif

 

Beta is a measurement of a stock's price fluctuations, which is often called volatility, and is used by investors to gauge how quickly a stock's price will rise or fall. Because beta is calculated from past returns, it's not considered as reliable a tool to forecast rises in stock prices, and it is more commonly used by options traders. Beta compares the changes in a company's stock returns against the returns of the market as a whole. Online brokerages give investors extensive data on a stock's beta value, and some free financial news websites also show current beta measurements.

 

 

·         What Is the Capital Asset Pricing Model?

The Capital Asset Pricing Model (CAPM) describes the relationship between systematic risk and expected return for assets, particularly stocks. CAPM is widely used throughout finance for pricing risky securities and generating expected returns for assets given the risk of those assets and cost of capital.

 Ri = Rf + βi  *( Rm - Rf) ------ CAPM model

Ri = Expected return of investment

Rf = Risk-free rate

βi = Beta of the investment

Rm = Expected return of market

(Rm - Rf) = Market risk premium

Investors expect to be compensated for risk and the time value of money. The risk-free rate in the CAPM formula accounts for the time value of money. The other components of the CAPM formula account for the investor taking on additional risk.

 The beta of a potential investment is a measure of how much risk the investment will add to a portfolio that looks like the market. If a stock is riskier than the market, it will have a beta greater than one. If a stock has a beta of less than one, the formula assumes it will reduce the risk of a portfolio.

A stocks beta is then multiplied by the market risk premium, which is the return expected from the market above the risk-free rate. The risk-free rate is then added to the product of the stocks beta and the market risk premium. The result should give an investor the required return or discount rate they can use to find the value of an asset.

The goal of the CAPM formula is to evaluate whether a stock is fairly valued when its risk and the time value of money are compared to its expected return.

For example, imagine an investor is contemplating a stock worth $100 per share today that pays a 3% annual dividend. The stock has a beta compared to the market of 1.3, which means it is riskier than a market portfolio. Also, assume that the risk-free rate is 3% and this investor expects the market to rise in value by 8% per year.

The expected return of the stock based on the CAPM formula is 9.5%.

The expected return of the CAPM formula is used to discount the expected dividends and capital appreciation of the stock over the expected holding period. If the discounted value of those future cash flows is equal to $100 then the CAPM formula indicates the stock is fairly valued relative to risk.

(https://www.investopedia.com/terms/c/capm.asp)

 

 

·       SML – Security Market Line

image043.jpg

 

 

In class exercise

 

Steps:

 

1.      From finance.yahoo.com, collect stock prices of the above firms, in the past five years 

Steps:

·      Goto finance.yahoo.com, search for the company

·      Click on “Historical prices” in the left column on the top and choose monthly stock prices.

·      Change the starting date and ending date to “Sept 30th, 2016” and “Sept 30th, 2021”, respectively.

·      Download it to Excel

·      Delete all inputs, except “adj close” – this is the closing price adjusted for dividend.

·      Merge the three sets of data just downloaded

 

Pick three stocks. Has to be the leading firm in three different industries. 

·      For example: chose Apple, Dell, and Boeing.

·      Stock Prices Raw Data File       

 

3.      Evaluate the performance of each stock:

·      Calculate the monthly stock returns.

·      Calculate the average return

·      Calculate standard deviation as a proxy for risk

·      Calculate correlation among the three stocks.

·       Calculate beta. But you need to download S&P500 index values  in the past five years from finance.yahoo.com.

·      Calculate stock returns based on CAPM.

·      Draw SML

·      Stock Price In Class exercise all included (Beta, CAPM, excel file here)

 

·      Stock Price Normal Distribution (FYI)  ( https://homepage.divms.uiowa.edu/~mbognar/applets/normal.html)

 

 

 

 

HOMEWORK (Due with final)

 

1.            AAA firm’s stock has a 0.25 possibility to make 30.00% return, a 0.50 chance to make 12% return, and a 0.25 possibility to make -18% return.  Calculate expected rate of return (Answer: 9%)   

2.            If investors anticipate a 7.0% risk-free rate, the market risk premium = 5.0%, beta = 1, Find the return. (answer:12%)

3.            AAA firm has a portfolio with a value of $200,000 with the following four stocks. Calculate the beta of this portfolio ( answer: 0.988)

                                 Stock                                               value                                         β

                                     A                                              $ 50,000.00                              0.9500

                                     B                                                  50,000.00                              0.8000

                                     C                                                  50,000.00                              1.0000

                                     D                                                 50,000.00                              1.2000

                                 Total                                         $200,000.00

4.            A portfolio with a value of $40,000,000 has a beta = 1. Risk free rate = 4.25%, market risk premium = 6.00%. An additional $60,000,000 will be included in the portfolio. After that, the expected return should be 13%. Find the average beta of the new stocks to achieve the goal  ( answer: 1.76)

5. Stock A has the following returns for various states of the economy:

 State of

the Economy         Probability       Stock A's Return

Recession              10%                 -30%

Below Average     20%                 -2%

Average                 40%                 10%

Above Average     20%                 18%

Boom                    10%                 40%

 

Stock A's expected return is? Standard deviation?

 

(answer: expected return = 8.2%, variance=0.02884, standard deviation=16.98%, visit  https://www.jufinance.com/return/)

 

6.       Collectibles Corp. has a beta of 2.5 and a standard deviation of returns of 20%. The return on the market portfolio is 15% and the risk free rate is 4%. What is the risk premium on the market? (answer 11%)

 

7.       An investor currently holds the following portfolio: (answer: 1.99)

                                       Amount

                                      Invested

8,000 shares of Stock    A $16,000    Beta = 1.3

15,000 shares of Stock  B $48,000    Beta = 1.8

25,000 shares of Stock  C $96,000    Beta = 2.2

 The beta for the portfolio is?

 

8. Deleted

 

9. Assume that you have $165,000 invested in a stock that is returning 11.50%, $85,000 invested in a stock that is returning 22.75%, and $235,000 invested in a stock that is returning 10.25%. What is the expected return of your portfolio? (answer: 12.87%)

 

10.  If you hold a portfolio made up of the following stocks:

            Investment Value Beta

Stock A      $8,000           1.5

Stock B      $10,000          1.0

Stock C       $2,000             .5

 What is the beta of the portfolio? (answer: 1.15)

 

 11.              You own a portfolio consisting of the stocks below.

Stock                     Percentage of portfolio                 Beta

1.                                  20%                                                         1

2.                                  30%                                                         0.5

3.                                 50%                                                          1.6

The risk free rate is 3% and market return is 10%.

a.                   Calculate the portfolio beta.  (answer 1.15)

b.                  Calculate the expected return of your portfolio. (answer 11.05%)

 

12.  An investor currently holds the following portfolio:

                                       Amount

                                      Invested

8,000 shares of Stock    A $10,000    Beta = 1.5

15,000 shares of Stock  B $20,000    Beta = 0.8

25,000 shares of Stock  C $20,000    Beta = 1.2

Calculate the beta for the portfolio. (answer 1.1)

 

 

Homework Help videos

 Q1 Q5       Q2 Q3       Q4 Q6 Q7       Q9 TO THE END

 

Quiz 5 prep video

Part I (has three questions from chapter 8)       Part II

 

How much does Amazon worth?” --- FYI only: Amazon.com Inc. (AMZN) https://www.stock-analysis-on.net/NASDAQ/Company/Amazoncom-Inc/DCF/Present-Value-of-FCFF

 

 

Present Value of Free Cash Flow to the Firm (FCFF)

In discounted cash flow (DCF) valuation techniques the value of the stock is estimated based upon present value of some measure of cash flow. Free cash flow to the firm (FCFF) is generally described as cash flows after direct costs and before any payments to capital suppliers.

 

Intrinsic Stock Value (Valuation Summary)

Amazon.com Inc., free cash flow to the firm (FCFF) forecast

 

Year

Value

FCFFt or Terminal value (TVt)

Calculation

Present value at 16.17%

01

FCFF0

(4,286)

1

FCFF1

(4,286) × (1 + 0.00%)

2

FCFF2

 × (1 + 0.00%)

3

FCFF3

 × (1 + 0.00%)

4

FCFF4

 × (1 + 0.00%)

5

FCFF5

 × (1 + 0.00%)

5

Terminal value (TV5)

 × (1 + 0.00%) ÷ (16.17% – 0.00%)

Intrinsic value of Amazon.com's capital

Less: Debt (fair value)

45,696 

Intrinsic value of Amazon.com's common stock

Intrinsic value of Amazon.com's common stock (per share)

$–

Current share price

$1,642.81

1 


Weighted Average Cost of Capital (WACC)

Amazon.com Inc., cost of capital

 

Value1

Weight

Required rate of return2

Calculation

Equity (fair value)

803,283 

0.95

16.97%

Debt (fair value)

45,696 

0.05

2.10%

2.99% × (1 – 29.84%)

1 USD $ in millions

   Equity (fair value) = No. shares of common stock outstanding × Current share price
488,968,628 × $1,642.81 = $803,282,551,764.68

   Debt (fair value). See Details »

2 Required rate of return on equity is estimated by using CAPM. See Details »

   Required rate of return on debt. See Details »

   Required rate of return on debt is after tax.

   Estimated (average) effective income tax rate
= (20.20% + 36.61% + 60.59% + 0.00% + 31.80%) ÷ 5 = 29.84%

WACC = 16.17%


FCFF Growth Rate (g)

FCFF growth rate (g) implied by PRAT model

Amazon.com Inc., PRAT model

 

Average

Dec 31, 2017

Dec 31, 2016

Dec 31, 2015

Dec 31, 2014

Dec 31, 2013

Selected Financial Data (USD $ in millions)

Interest expense

848 

484 

459 

210 

141 

Net income (loss)

3,033 

2,371 

596 

(241)

274 

Effective income tax rate (EITR)1

20.20%

36.61%

60.59%

0.00%

31.80%

Interest expense, after tax2

677 

307 

181 

210 

96 

Interest expense (after tax) and dividends

677 

307 

181 

210 

96 

EBIT(1 – EITR)3

3,710 

2,678 

777 

(31)

370 

Current portion of long-term debt

100 

1,056 

238 

1,520 

753 

Current portion of capital lease obligation

5,839 

3,997 

3,027 

2,013 

955 

Current portion of finance lease obligations

282 

144 

99 

67 

28 

Long-term debt, excluding current portion

24,743 

7,694 

8,235 

8,265 

3,191 

Long-term capital lease obligations, excluding current portion

8,438 

5,080 

4,212 

3,026 

1,435 

Long-term finance lease obligations, excluding current portion

4,745 

2,439 

1,736 

1,198 

555 

Total stockholders' equity

27,709 

19,285 

13,384 

10,741 

9,746 

Total capital

71,856 

39,695 

30,931 

26,830 

16,663 

Ratios

Retention rate (RR)4

0.82

0.89

0.77

0.74

Return on invested capital (ROIC)5

5.16%

6.75%

2.51%

-0.12%

2.22%

Averages

RR

0.80

ROIC

3.31%

Growth rate of FCFF (g)6

0.00%

1 See Details »

2017 Calculations

2 Interest expense, after tax = Interest expense × (1 – EITR)
848 × (1 – 20.20%) = 677

3 EBIT(1 – EITR) = Net income (loss) + Interest expense, after tax
3,033 + 677 = 3,710

4 RR = [EBIT(1 – EITR) – Interest expense (after tax) and dividends] ÷ EBIT(1 – EITR)
= [3,710 – 677] ÷ 3,710 = 0.82

5 ROIC = 100 × EBIT(1 – EITR) ÷ Total capital
= 100 × 3,710 ÷ 71,856 = 5.16%

6 g = RR × ROIC
0.80 × 3.31% = 0.00%


FCFF growth rate (g) forecast

Amazon.com Inc., H-model

 

Year

Value

gt

1

g1

0.00%

2

g2

0.00%

3

g3

0.00%

4

g4

0.00%

5 and thereafter

g5

0.00%

where:
g
1 is implied by PRAT model
g
5 is implied by single-stage model
g
2g3 and g4 are calculated using linear interpoltion between g1 and g5

Calculations

g2 = g1 + (g5 – g1) × (2 – 1) ÷ (5 – 1)
0.00% + (0.00% – 0.00%) × (2 – 1) ÷ (5 – 1) = 0.00%

g3 = g1 + (g5 – g1) × (3 – 1) ÷ (5 – 1)
0.00% + (0.00% – 0.00%) × (3 – 1) ÷ (5 – 1) = 0.00%

g4 = g1 + (g5 – g1) × (4 – 1) ÷ (5 – 1)
0.00% + (0.00% – 0.00%) × (4 – 1) ÷ (5 – 1) = 0.00%

Weeks 7 & 8

 

 

Final Exam (will be posted on blackboard)

Final prep video (on youtube)

 

Weeks 7 & 8

 

Thank you!

Thank you!

 

Chapters 2, 3 - Financial Statements (not required)

 

Ppt chapter 2

 

Ppt chapter 3

 

Based on the following information, prepare the income statement and the cash flow statement

 

                                                2017          2018

Sales                                                          36,408

Depreciation                                             1,760

Tax paid                                                    2,070

Accounts receivable                3,411         4,218

Inventory                                18,776       21,908

Accounts payable                    7,250         8,384

Common stock                        15,000       17,500

Retained earning                     6,357         3,825

COG                                                         28,225

Cash                                        2,060         1,003

Interest paid                                              510

NFA                                        14,160       14,080

Long term debt                       9,800         11,500

 

Solution:  (excel solution fyi)

Cash Flow Statement Answer

calculation for changes

Cash at the beginning of the year

2060

Cash from operation

net income

3843

plus depreciation

1760

  -/+ AR 

-807

807

  -/+ Inventory

-3132

3132

 +/- AP

1134

1134

net change in cash from operation

2798

Cash from investment

 -/+ (NFA+depreciation)

-1680

1680

net change in cash from investment

-1680

Cash from finaning

 +/- long term debt

1700

1700

 +/- common stock

2500

2500

 - dividend

-6375

6375

net change in cash from financing

-2175

Total net change of cash

-1057

Cash at the end of the year

1003

 

 

 

************ What is Free Cash Flow **************

 

What is free cash flow (video)

 

What is free cash flow (FCF)? Why is it important?

 

       FCF is the amount of cash available from operations for distribution to all investors (including stockholders and debtholders) after making the necessary investments to support operations.

       A company’s value depends on the amount of FCF it can generate.

 

What are the five uses of FCF?

1. Pay interest on debt.

2. Pay back principal on debt.

3. Pay dividends.

4. Buy back stock.

5. Buy nonoperating assets (e.g., marketable securities, investments in other companies, etc.)

 

 

 

 

What are operating current assets?

       Operating current assets are the CA needed to support operations.

       Op CA include: cash, inventory, receivables.

       Op CA exclude: short-term investments, because these are not a part of operations.

 

What are operating current liabilities?

       Operating current liabilities are the CL resulting as a normal part of operations.

       Op CL include: accounts payable and accruals.

       Op CL exclude: notes payable, because this is a source of financing, not a part of operations.

 

 

image003.jpg

Capital expenditure = increases in NFA + depreciation

Or, capital expenditure = increases in GFA

 

Note: All companies, foreign and domestic, are required to file registration statements, periodic reports, and other forms electronically through EDGAR.  https://www.sec.gov/edgar/searchedgar/companysearch.html

 

FCF calculator    

https://www.jufinance.com/fcf

 

In class exercise

1. Firm AAA has EBIT (operating income) of $3 million, depreciation of $1 million. Firm AAA’s expenditures on fixed assets = $1 million. Its net operating working capital = $0.6 million.  Calculate for free cash flow. Imagine that the tax rate =40%.

a.           $1.2

b.           $1.3

c.           $1.4

d.         $1.5

FCF = EBIT(1 – T) + Deprec. – (Capex + NOWC)

 

answer:

EBIT                   $3

Tax rate              40%

Depreciation     $1

Capex + NOWC $1.60

So, FCF =             $1.2

 

2. The following information should be used for the following problems:

                                       2014         2015

Sales                              $ 740        $ 785

COGS                                 430        460

Interest                                          33           35

Dividends                        16           17

Depreciation                  250         210

Cash                                 70           75

Accounts receivables     563        502

Current liabilities            390        405

Inventory                        662         640

Long term debt               340        410

Net fixed assets                             1,680    1,413

Common stock                700        235

Tax rate                            35%       35%

 

            What is the net income for 2015? ($52)

 

 


Ratio Analysis 
 template

https://www.jufinance.com/ratio

 

 

Finviz.com/screener for ratio analysis (https://finviz.com/screener.ashx)

 

Financial ratio analysis  (VIDEO)

 

Ratio formulas