FIN 509 Class Web Page, Summer' 24
The Syllabus Grade
Calculator Overall
Grade Calculator Risk Tolerance Test (FYI)
Weekly SCHEDULE, LINKS, FILES and Questions
|
Week |
Coverage, HW, Supplements -
Required |
Equations and
Assignments |
|||||||||||||||||||||||||||||||||||||||||||||||||||||||||||||||||||||||||||||||||||||||||||||||||||||||||||||||||||||||||||||||||||||||||||||||||||||||||||||||||||||||||||||||||||||||||||||||||||||||||||||||||||||||||||||||||||||||||||||||||||||||||||||||||||||||||||||||||||||||||||||||||||||||||||||||||||||||||||||||||||||||||||||||||||||||||||||||||||||||||||||||||||||||||||||||||||||||||||||||||||||||||||||||||||||||||||||||||||||||||||||||||||||||||||||||||||||||||||||||||||||||||||||||||||||||||||||||||||||||||||||||||||||||||||||||||||||||||||||||||||||||||||||||||||||||||||||||||||||||||||||||||||||||||||||||||||||||||||||||||||||||||||||||||||||||||||||||||||||||||||||||||||||||||||||||||||||||||||||||||||||||||||||||||||||||||||||||||||||||||||||||||||||||||||||||||||||||||||||||||||||||||||||||||||||||||||||||||||||||||||||||||||||||||||||||||||||||||||||||||||||||||||||||||||||||||||||||||||||||||||||||||||||||||||||||||||||||||||||||||||||||||||||||||||||||||||||||||||||
|
·
Weekly Thursday class url on blackboard
collaborate: On Blackboard under “Join Course Room” ·
Weekly
Q&A Session on Blackboard URL: https://us.bbcollab.com/guest/04f276d959734ce49e45fcfd73d6b947 Class Schedule:
|
|
||||||||||||||||||||||||||||||||||||||||||||||||||||||||||||||||||||||||||||||||||||||||||||||||||||||||||||||||||||||||||||||||||||||||||||||||||||||||||||||||||||||||||||||||||||||||||||||||||||||||||||||||||||||||||||||||||||||||||||||||||||||||||||||||||||||||||||||||||||||||||||||||||||||||||||||||||||||||||||||||||||||||||||||||||||||||||||||||||||||||||||||||||||||||||||||||||||||||||||||||||||||||||||||||||||||||||||||||||||||||||||||||||||||||||||||||||||||||||||||||||||||||||||||||||||||||||||||||||||||||||||||||||||||||||||||||||||||||||||||||||||||||||||||||||||||||||||||||||||||||||||||||||||||||||||||||||||||||||||||||||||||||||||||||||||||||||||||||||||||||||||||||||||||||||||||||||||||||||||||||||||||||||||||||||||||||||||||||||||||||||||||||||||||||||||||||||||||||||||||||||||||||||||||||||||||||||||||||||||||||||||||||||||||||||||||||||||||||||||||||||||||||||||||||||||||||||||||||||||||||||||||||||||||||||||||||||||||||||||||||||||||||||||||||||||||||||||||||||||||
|
Week 0 |
Market
Watch Game Use the information and directions
below to join the game. 1.
URL for
your game: 2. Password for this private game: havefun 3. Click on the 'Join Now' button to get
started. 4. If you are an existing MarketWatch member, login. If you are a new user,
follow the link for a Free account - it's
easy! 5. Follow the instructions and start trading! FYI How To Win The MarketWatch
Stock Market Game (youtube) based on https://www.finviz.com
|
Pre-class assignment: Set up marketwatch.com account and have
fun |
|||||||||||||||||||||||||||||||||||||||||||||||||||||||||||||||||||||||||||||||||||||||||||||||||||||||||||||||||||||||||||||||||||||||||||||||||||||||||||||||||||||||||||||||||||||||||||||||||||||||||||||||||||||||||||||||||||||||||||||||||||||||||||||||||||||||||||||||||||||||||||||||||||||||||||||||||||||||||||||||||||||||||||||||||||||||||||||||||||||||||||||||||||||||||||||||||||||||||||||||||||||||||||||||||||||||||||||||||||||||||||||||||||||||||||||||||||||||||||||||||||||||||||||||||||||||||||||||||||||||||||||||||||||||||||||||||||||||||||||||||||||||||||||||||||||||||||||||||||||||||||||||||||||||||||||||||||||||||||||||||||||||||||||||||||||||||||||||||||||||||||||||||||||||||||||||||||||||||||||||||||||||||||||||||||||||||||||||||||||||||||||||||||||||||||||||||||||||||||||||||||||||||||||||||||||||||||||||||||||||||||||||||||||||||||||||||||||||||||||||||||||||||||||||||||||||||||||||||||||||||||||||||||||||||||||||||||||||||||||||||||||||||||||||||||||||||||||||||||||
|
Week1,2 |
Chapter 5 Time value of money – Part
1 Chapter 5 In Class Exercise (Solution Word File)
The time value of money -
German Nande (youtube)
Concept of FV, PV,
Rate, Nper Calculation of FV, PV,
Rate, Nper Concept of interest
rate, compounding rate, discount rate
In class exercise
(conceptual) 1.
What is the time value of money? a) The value of money decreases
over time. b) The concept that money available today is worth more than the
same amount in the future. c) The value of money remains
constant regardless of time. Answer: B Explanation:
The time value of money states that money available today is worth more than
the same amount in the future due to its potential earning capacity. 2.
Which
factor connects the present value of money to its future value? a) The interest rate b) The inflation rate c) The exchange rate Answer: A Explanation:
The interest rate, also known as the discount rate, connects the present
value of money to its future value through the process of compounding. 3.
What
does the future value of money represent? a) The value of money in the past b) The value of money at present c) The value of money in the future Answer: C Explanation:
The future value of money represents the value of a sum of money at a future
point in time, considering the effects of compounding. 4.
How
does compounding affect the future value of money? a) It decreases the future value. b) It has no effect on the future
value. c) It increases the future value. Answer: C Explanation:
Compounding refers to the process where the future value of an investment
grows exponentially over time due to the accumulation of interest. 5.
Which
equation represents the future value of a single sum of money? a) FV = PV / (1 + r)^n b) FV = PV * (1 + r)^n c) FV = PV - (1 + r)^n Answer: B Explanation:
The formula FV = PV * (1 + r)^n calculates the future value (FV) of a present
sum of money (PV) compounded over 'n' periods at an interest rate (r). 6.
How
does increasing the number of compounding periods per year affect the future
value of money? a) It decreases the future value. b) It has no effect on the future
value. c) It increases the future value. Answer: C Explanation:
Increasing the number of compounding periods per year results in more
frequent interest accrual, leading to a higher future value of money. 7.
What
role does the period play in calculating the future value of money? a) It determines the interest
rate. b) It indicates the present value. c) It represents the number of
years or compounding periods. Answer: C Explanation:
The period refers to the number of years or compounding periods over which
the future value of money is calculated. Chapter 6 Time Value of Money – Part
2 Chapter 6 In Class Exercise (Chapter 6 In Class Exercise
Solution Word File) Concept of PMT, NPV Calculation of FV, PV,
Rate, Nper, PMT, NPV, NFV Concept of EAR, APR Calculation of EAR,
APR First Discussion Board Assignment (post your writing on blackboard
under discussion folder):
Market Watch Game
Let's start trading in the stock
market! Please join a game and report back on your experience. Directions 1.
URL for your game: 2.
Password for this private game: havefun. 3.
Click on the Join Now button to get
started. 4.
Register for a new account with your email address or sign in if
you already have an account.
1.
Why did you choose the stock? How much money did you think you
would make? Please explain. 2.
Did you make money or lose money off of your chosen stock? Which
factors contributed to that? 3.
What did you learn from this experience and how will it affect
your choices in real life when choosing stocks? Instructions ·
Responses should be 100 to 250 words in length and should answer
all three prompts ·
Optional: reply to one of your peers with meaningful, thought-provoking
responses ·
Due by 7/11/2024 at
11:59 p.m. ET HOMEWORK of Chapters 5
and 6 (due by 7/11 ) 1. The Thailand
Co. is considering the purchase of some new equipment. The quote consists of a
quarterly payment of $4,740 for 10 years at 6.5 percent interest. What is the
purchase price of the equipment? ($138,617.88) 2. The
condominium at the beach that you want to buy costs $249,500. You plan to
make a cash down payment of 20 percent and finance the balance over 10 years
at 6.75 percent. What will be the amount of your monthly mortgage
payment? ($2,291.89) 4. Shannon wants
to have $10,000 in an investment account three years from now. The account
will pay 0.4 percent interest per month. If Shannon saves money every month,
starting one month from now, how much will she have to save each month?
($258.81)
(Hint: Bridget’s is an annuity due, so abs(fv(8%/12, 10*12, 150, 0,
1)) --- type =1; Jordan’s is an ordinary annuity, so abs(fv(8%/12, 10*12, 175, 0) --- type =0, or omitted. There is a
mistake in the help video for this question. Sorry for the mistake.) 14. What is the
future value of weekly payments of $25 for six years at 10 percent? ($10,673.90) 15. At the end of
this month, Bryan will start saving $80 a month for retirement through his
company's retirement plan. His employer will contribute an additional $.25
for every $1.00 that Bryan saves. If he is employed by this firm for 25 more
years and earns an average of 11 percent on his retirement savings, how much
will Bryan have in his retirement account 25 years from
now? ($157,613.33) 16. Sky
Investments offers an annuity due with semi-annual payments for 10 years at 7
percent interest. The annuity costs $90,000 today. What is the amount of each
annuity payment? ($6,118.35) 17. Mr. Jones
just won a lottery prize that will pay him $5,000 a year for thirty years. He
will receive the first payment today. If Mr. Jones can earn 5.5 percent on
his money, what are his winnings worth to him
today? ($76,665.51) 18. You want to
save $75 a month for the next 15 years and hope to earn an average rate of
return of 14 percent. How much more will you have at the end of the 15 years
if you invest your money at the beginning of each month rather than the end
of each month? ($530.06) 19. What is the
effective annual rate of 10.5 percent compounded
semi-annually? (10.78%) 22. What is the
effective annual rate of 12.75 percent compounded daily? (13.60 percent) 23. Your
grandparents loaned you money at 0.5 percent interest per month. The APR on
this loan is _____ percent and the EAR is _____ percent. (6.00; 6.17) FYI only: help for homework Part 1(Qs
1-2) Part 2(Qs
4-8) Part 3(Qs 9-12) Part 4(Qs
13-16) Part 5(Qs
17-20) Part 6(Qs 21-24) (Q13: Bridget’s is an annuity
due, so abs(fv(8%/12, 10*12, 150, 0, 1)) --- type =1; Jordan’s is an ordinary
annuity, so abs(fv(8%/12, 10*12, 175, 0) --- type =0, or omitted. There is a mistake in the help video
for this question. Sorry for the mistake.) Quiz 1- Help Videos - Practice
Quiz |
Calculators Time
Value of Money Calculator © 2002 - 2019 by Mark A. Lane,
Ph.D. Math Formula FV = PV *(1+r)^n PV = FV /
((1+r)^n) N
= ln(FV/PV) / ln(1+r) Rate = (FV/PV)1/n -1 Annuity: N
= ln(FV/C*r+1)/(ln(1+r)) Or N
= ln(1/(1-(PV/C)*r)))/ (ln(1+r))
EAR = (1+APR/m)^m-1 APR = (1+EAR)^(1/m)*m Excel Formulas To get FV, use FV
function. =abs(fv(rate, nper,
pmt, pv)) To get PV, use PV
function =
abs(pv(rate, nper, pmt, fv)) To get r, use rate
function =
rate(nper, pmt, pv, -fv) To get number of
years,
use nper function = nper(rate, pmt, pv,
-fv) To get annuity
payment, use PMT
function = abs(pmt(rate, nper, pv,
-fv)) To get Effective
rate (EAR), use Effect
function =
effect(nominal_rate, npery) To get annual
percentage rate (APR), use nominal
function APR = nominal(effective rate, npery) To get NPV, use NPV function NPV = npv(rate, cf1, cf2,…) + cf0 |
|||||||||||||||||||||||||||||||||||||||||||||||||||||||||||||||||||||||||||||||||||||||||||||||||||||||||||||||||||||||||||||||||||||||||||||||||||||||||||||||||||||||||||||||||||||||||||||||||||||||||||||||||||||||||||||||||||||||||||||||||||||||||||||||||||||||||||||||||||||||||||||||||||||||||||||||||||||||||||||||||||||||||||||||||||||||||||||||||||||||||||||||||||||||||||||||||||||||||||||||||||||||||||||||||||||||||||||||||||||||||||||||||||||||||||||||||||||||||||||||||||||||||||||||||||||||||||||||||||||||||||||||||||||||||||||||||||||||||||||||||||||||||||||||||||||||||||||||||||||||||||||||||||||||||||||||||||||||||||||||||||||||||||||||||||||||||||||||||||||||||||||||||||||||||||||||||||||||||||||||||||||||||||||||||||||||||||||||||||||||||||||||||||||||||||||||||||||||||||||||||||||||||||||||||||||||||||||||||||||||||||||||||||||||||||||||||||||||||||||||||||||||||||||||||||||||||||||||||||||||||||||||||||||||||||||||||||||||||||||||||||||||||||||||||||||||||||||||||||||
|
Week3 |
Chapter 7 Bond
Pricing
Part I - Yield Curve https://finra-markets.morningstar.com/MarketData/Default.jsp?sdkVersion=2.62.9 Or at https://www.gurufocus.com/yield_curve.php In Class Exercise based on the yield curve of 7/3/2024
(FYI only) 1.
Why does the 1-month yield exceed the 10-year
yield? a) Long-term
bonds are inherently riskier, leading to higher yields. b) Investors
prefer short-term investments due to greater liquidity. c) Central bank
policies exert stronger influence on short-term interest rates. Answer: c Explanation:
Central banks often adjust short-term interest rates to manage economic
conditions and inflation. Therefore, changes in short-term yields are more
responsive to central bank actions compared to long-term yields, resulting in
the 1-month yield exceeding the 10-year yield. 2.
2. Why might the 30-year yield be lower than the
1-year yield? a) Investors expect lower inflation rates over the
next 30 years compared to the next year. b) Long-term bonds are perceived as safer
investments, leading to lower yields. c) Central bank policies are more accommodative to
long-term borrowing. Answer: a Explanation:
The yield curve can invert when investors anticipate lower inflation rates
over the long term. In such cases, they may demand lower yields for long-term
bonds like the 30-year yield compared to short-term bonds like the 1-year
yield. This inversion can signal expectations of economic slowdown or
recession. 3.
Which factor could contribute to the 2-year yield
being lower than the 1-month yield? a) Market
anticipation of future interest rate hikes in the short term. b) Central bank
interventions favor long-term borrowing. c) Long-term
bonds offer higher yields to compensate for risks. Answer: a Explanation:
If the market anticipates interest rate hikes in the near future, short-term
yields may rise, causing the 1-month yield to exceed the 2-year yield. 4.
Why might the 30-year yield be higher than the
10-year yield? a) Investors
anticipate higher inflation rates over the next 30 years. b) Long-term
bonds are perceived as riskier investments, leading to lower yields. c) Long-term
bonds are subject to increased uncertainty and volatility, resulting in
higher yields. Answer: c Explanation:
Long-term bonds, such as the 30-year yield, are exposed to greater
uncertainty and volatility over an extended period compared to shorter-term
bonds like the 10-year yield. This heightened risk and uncertainty lead
investors to demand higher yields as compensation, resulting in the 30-year
yield being higher than the 10-year yield. 5.
Why might the 2-year yield be higher than the
30-year yield? a) Investors
anticipate higher short-term inflation rates compared to long-term inflation
rates. b) Investors
demand more long-term bonds due to higher economic risk. c) Long-term
bonds are perceived as safer investments, leading to lower yields. Answer: b Explanation:
The 2-year yield might exceed the 30-year yield because investors seek the
relative safety of longer-term investments amid higher economic risk. During
periods of economic uncertainty or volatility, investors may prefer long-term
bonds as a hedge against short-term market fluctuations. This increased
demand for long-term bonds can drive up the price of the 30-year bonds, and
drive down their yields, causing the 30-year yield to be lower than the
2-year yield. The yield curve is inverted! 6.
Why might the 1-month yield be more influenced by
changes in central bank policies than the 2-year yield? Options: a) Short-term bonds
are directly impacted by adjustments in key interest rates set by central
banks. b) Long-term
bonds are less responsive to economic indicators. c) Investors
prefer short-term investments due to higher liquidity. Answer: a Explanation:
Short-term yields are directly affected by changes in key interest rates set
by central banks, making them more responsive to central bank policies
compared to longer-term yields. 7.
Why might an inverted yield curve occur, where
short-term yields are higher than long-term yields? a) Investors
anticipate higher short-term inflation rates compared to long-term inflation
rates. b) Investors
demand more long-term bonds due to higher economic risk. c) Long-term
bonds are perceived as safer investments, leading to lower yields. Answer: b Explanation:
An inverted yield curve, where short-term yields exceed long-term yields, can
occur when investors seek the relative safety of longer-term investments amid
higher economic risk. During periods of economic uncertainty or volatility, investors
may prefer long-term bonds as a hedge against short-term market fluctuations,
leading to increased demand and lower yields for long-term bonds. This
phenomenon results in an inverted yield curve, which is often interpreted as
a signal of impending economic downturn or recession. 8.
What typically characterizes a normal yield curve? a) Short-term
yields are higher than long-term yields. b) Long-term
yields are higher than short-term yields. c) Short-term
and long-term yields are approximately equal. Answer: b Explanation:
In a normal yield curve, long-term yields are typically higher than
short-term yields. This upward-sloping curve reflects the expectation of
higher returns for investors who commit their funds for longer periods,
compensating for the additional risk and uncertainty associated with longer
maturities. This pattern is commonly observed in healthy economic
environments where investors anticipate future growth and inflation, leading
to higher long-term interest rates. 9.
What does an inverted yield curve, where
short-term yields exceed long-term yields, typically signal for the economy? a) Accelerated
economic growth and expansion. b) Stable
economic conditions with minimal fluctuations. c) Potential
onset of a recession. Answer: c Explanation:
An inverted yield curve, where short-term yields exceed long-term yields,
often signals the potential onset of a recession. This phenomenon occurs when
investors anticipate lower future growth and inflation, leading to increased
demand for longer-term bonds and driving down their yields. Historically,
inverted yield curves have been reliable predictors of economic downturns, as
they reflect market expectations of weaker economic performance in the
future. As a result, policymakers and investors closely monitor yield curve
inversions as a potential warning sign of impending economic contraction.
Inverted yield curves have been observed before many prior recessions,
including those in the early
1980s, early 1990s, early 2000s, and the most recent one in 2008. Part II – Bond Definition How
Bonds Work (video) For
discussion: https://jufinance.com/risk_tolerance.html
· Among the aforementioned bonds, do you
have a preference? If so, what factors influence your choice? Outlook for Investing in Bonds in
2024 After starting the year recommending that investors focus on
the middle of the yield curve, we began to advise investors to lengthen their
duration in our midyear bond
market update. According to our forecasts, we continue to
think investors will be best served in longer-duration bonds
and locking in the currently high interest rates. https://www.morningstar.com/markets/where-invest-bonds-2024 Market data
website: FINRA: https://www.finra.org/finra-data/fixed-income/corp-and-agency
(FINRA bond market data) For example:
In class
exercise 1.
What is the coupon payment per year for the bond? a) $28 b) $41 c) $34 Answer: b Explanation:
Coupon payment per year is calculated as (Coupon Rate * Face Value). Here,
Coupon Rate is 4.1% and the Face Value is $1000. So, the coupon payment per
year = 4.1% * $1000 = $41. 2.
What is the yield to maturity (YTM) of the bond? a) 5.18
% b)
4.41% c)
3.79% Answer: a Explanation:
Yield to maturity (YTM) is the total return anticipated on a bond if it is
held until the end of its maturity. Since the bond is callable, the yield to
call (YTC) would be the more appropriate measure. However, without the call
price or the call premium, it's challenging to calculate the YTC accurately. 3.
When is the next call date for the bond? a)
February 8, 2062 b)
August 8, 2060 c)
March 13, 2024 Answer: a Explanation:
The next call date is provided in the bond information as February 8, 2062. 4.
What is the maturity date of the bond? a)
August 8, 2062 b)
February 8, 2062 c)
March 13, 2025 Answer: a Explanation:
The maturity date is provided in the bond information as August 8, 2062. 5.
Is the bond callable? a) Yes b) No c)
Insufficient information Answer: a Explanation:
The bond information indicates that the bond is callable. 6.
What was the last trade price of the bond? a)
$818.8 b) $280 c)
$1000 Answer: a Explanation:
The last trade price of the bond is provided as 81.88%*1000 = $818.8. 7.
What is the bond's face value? a)
$818.8 b)
$1000 c)
$4.10 Answer: b Explanation:
The face value of the bond is typically $1000, as it represents the principal
amount repaid to the bondholder at maturity. 8.
What is the current yield of the bond? a) 4.87% b)
4.41% c)
5.00% Answer: c Explanation:
Current yield is calculated as (Annual coupon payment / Current price) * 100.
Here, the annual coupon payment is $41, and the current price is $818.8. So,
the current yield = ($41 / $818.8) * 100 ≈ 5%.
Relationship
between bond prices and interest rates (Khan academy)
In class exercise 1) What
is the face value (par value) of the bond? a. $500 b. $1,000 c. $1,500 2) How
often are coupon payments made on the bond? a. Annually b. Semi-annually c. Quarterly 3) If
the bond has a two-year maturity, what is the total number of coupon payments
made over its life? a. 2 b. 4 c. 6 4) If
interest rates rise after the bond is purchased, what happens to its price? a. Increases b. Decreases c. Remains unchanged 5) If
interest rates go down, what is the likely impact on the bond's price? a. Increases b. Decreases c. Remains unchanged 6) For
a zero-coupon bond with a face value of $1,000 and a two-year maturity, what is
the price if the expected return is 10% per year? a. $823 b. $1,000 c. $1,100 7) In
the scenario of increased expectations, if the expected return is now 15% for
the same zero-coupon bond, what happens to its price? a. Increases b. Decreases c. Remains unchanged 8) If
the expected return decreases to 5% for the same zero-coupon bond, what is
the new price? a. $822 b. $905 c. $1,000 9) What
does a bond trading at a premium mean? a. Its price is below par b. Its price is above par c. Its price is equal to par 10) What does a bond
trading at a discount mean? a. Its price is below par b. Its price is above par c. Its price is equal to par 11) If interest rates are
lower than expected, how does it affect the price of a bond? a. Increases b. Decreases c. Increases 12) What is the primary
reason for a bond trading at a discount? a. High coupon rate b. Low market interest rates c. Low coupon rate 13) In the context of
bond pricing, what is the present value? a. Future value of cash flows b. Current value of future
cash flows c. Face value of the bond 14) Why does the price of
a bond decrease when interest rates rise? a. Increase in coupon payments b. Decrease in market
expectations c. Decrease in present value of
future cash flows 15) What does a bond
trading at par mean? a. Its price is below par b. Its price is above par c. Its price is equal to par Bond III – Bond Calculation Bond
Calculator Investing Basics: Bonds(video) In class exercise: Find
bonds sponsored by WMT https://www.finra.org/finra-data/fixed-income/corp-and-agency just go
to www.finra.org, è Investor center è market
data è bond è corporate
bond ·
Search for Walmart bonds For discussion: ·
What are the ratings of the WMT bonds? How
does the rating agency rate a bond? Altman Z Score
video ·
Why some WMT bonds are priced higher than
the par value, while others are priced at a discount? ·
Why some WMT bonds have higher coupon
rates than other bonds? How does WMT determine the coupon rates? ·
Why some WMT bonds have higher yields than
other bonds? Does a bond’s yield change daily? ·
Which of the WMT bonds are the most
attractive one to you? Why? 2. 2.
Understand what is coupon, coupon rate, yield, yield to maturity, market
price, par value, maturity, annual bond, semi-annual bond, current yield. 3. 3. Understand how to price bond Bond
price = abs(pv(yield, maturity, coupon, 1000)) ------- annual coupon Bond
price = abs(pv(yield/2, maturity*2, coupon/2, 1000)) ------- semi-annual
coupon Also change the yield and observe the
price changes. Summarize the price change pattern and draw a graph to
demonstrate your findings. Again, when yield to maturity of
this semi_annual coupon bond is 4%, how should this WMT bond
sell for? 4. Understand how to calculate bond returns Yield
to maturity = rate(maturity, coupon, -market price, 1000) ----
annual coupon Yield
to maturity = rate(maturity*2, coupon/2, -market price, 1000)*2
----- semi-annual coupon Bond
Calculator (www.jufinance.com/bond) For example, when the annual coupon bond
is selling for $1,100, what is its return to investors? For example, when the semi-annual
coupon bond is selling for $1,100, what is its return to investors? 5. Current yield: For the above bond, calculate current yield. Note: current yield = coupon/bond price 6. Zero coupon bond: coupon=0 and treat it as semi-annual coupon
bond. Example:
A ten year zero coupon bond is selling for $400. How much is its yield to
maturity? A ten year zero coupon bond’s yield to
maturity is 10%. How much is its price? 7.
coupon: use pmt function in excel. · =abs(pmt(yield to maturity, years
left to maturity, -price, 10000) for annual coupon · =abs(pmt(yield to maturity/2, years
left to maturity*2, -price, 10000)*2 for semi-annual coupon 8. Understand what is bond rating and how to read those
ratings. a. Who
are Moody, S&P and Fitch? b. What
is WMT’s rating? c. Is
the rating for WMT the highest? d. Who
earned the highest rating? Supplement:
Municipal Bond
·
Corporate Bond Data is available at FINRA.ORG: https://www.finra.org/finra-data/fixed-income/corp-and-agency · Muni Bond Data is available
at EMMA: https://emma.msrb.org/ · Treasury Securities Data is
available at Treasury Direct: https://www.treasurydirect.gov/ For class
discussion: · Shall you
invest in municipal bonds? · Are
municipal bonds better than investment grade bonds? The risks investing in a bond (videos,
FYI) · Bond investing: credit Risk (video) · Bond investing: Interest rate risk (video) · Bond investing:
increased risk (video) Homework ( due by 7/11) 1. Firm AAA’s bonds price =
$850. Coupon rate is 5% and par is $1,000. The bond has six years
to maturity. Calculate for current yield? (5.88%) 2. For a zero coupon bond, use
the following information to calculate its yield to maturity. (14.35%) Years left to maturity = 10 years.
Price = $250. 3. For a zero coupon
bond, use the following information to calculate its price. ($456.39)
Years left to maturity = 10 years. Yield = 8%. 4. Imagine that an annual
coupon bond’s coupon rate = 5%, 15 years left. Draw price-yield profile.
(hint: Change interest rate, calculate new price and draw the graph). 5. IBM
5 year 2% annual coupon bond is selling for $950. How much
this IBM bond’s YTM? 3.09% 6. IBM 10 year 4% semi-annual coupon
bond is selling for $950. How much is this IBM bond’s YTM? 4.63% 7. IBM 10 year 5% annual coupon
bond offers 8% of return. How much is the price of this
bond? 798.7 8. IBM 5 year 5% semi-annual coupon
bond offers 8% of return. How much is the price of this bond? $878.34 9. IBM 20 year zero coupon bond
offers 8% return. How much is the price of this bond? 208.29 10. Collingwood Homes has a bond
issue outstanding that pays an 8.5 percent coupon and matures in 18.5 years.
The bonds have a par value of $1,000 and a market price of $964.20. Interest
is paid semiannually. What is the yield to maturity? (8.90%) 11. Grand Adventure Properties offers
a 9.5 percent coupon bond with annual payments. The yield to maturity is 11.2
percent and the maturity date is 11 years from today. What is the market
price of this bond if the face value is $1,000? ($895.43) 12. The zero coupon bonds of D&L
Movers have a market price of $319.24, a face value of $1,000, and a yield to
maturity of 9.17 percent. How many years is it until these bonds
mature? (12.73 years) 13. A zero coupon bond with a face
value of $1,000 is issued with an initial price of $212.56. The bond matures
in 25 years. What is yield to maturity? (6.29%) 14. The
bonds issued by Stainless Tubs bear a 6 percent coupon, payable semiannually.
The bonds mature in 11 years and have a $1,000 face value. Currently, the
bonds sell for $989. What is the yield to maturity? (6.14%) Videos
--- homework help (due by week 4) Part
I Q1-Q2
Q3-Q4 Q5-Q8 Q9-Q14 Quiz
2- Help Video
(Quiz 2 Due by
7/11/2024) Practice Quiz FYI only (not required) 1) Critical Thinking Challenge – Just choose one of the two questions
as follows from https://www.cnbc.com/2023/11/01/fixed-income-back-in-the-spotlight-how-investors-can-take-advantage.html: Option 1 - The Impact of Rising Interest Rates on
Bond Investments: a. Describe the recent
shift in interest rates and its impact on bond investments. b. Discuss the reasons
behind the dramatic increase in interest rates and how this shift has
affected the bond market. Option 2 - The Role of Active Fixed-Income
Management in Volatile Markets: a. Discuss the importance
of adopting an active approach to fixed-income management in the current
volatile market. b. Explore how an active
approach allows for better returns and the flexibility to navigate
challenging market conditions. 2) A quick quiz on the
conceptual comprehension of the bond chapter (FYI only, not required): |
Bond Pricing Formula (FYI)
Bond Pricing Excel Formula Summary of
bond pricing excel functions To calculate bond price (annual coupon bond): Price=abs(pv(yield
to maturity, years left to maturity, coupon rate*1000, 1000) To calculate yield to maturity (annual coupon bond):: Yield
to maturity = rate(years left to maturity, coupon rate *1000, -price, 1000) To calculate bond price (semi-annual coupon bond): Price=abs(pv(yield
to maturity/2, years left to maturity*2, coupon rate*1000/2,
1000) To calculate yield to maturity (semi-annual coupon
bond): Yield
to maturity = rate(years left to maturity*2, coupon rate *1000/2,
-price, 1000)*2 To calculate number of years left(annual coupon bond) Number
of years =nper(yield to maturity, coupon rate*1000, -price, 1000) To calculate number of years left(semi-annual coupon bond) Number
of years =nper(yield to maturity/2, coupon rate*1000/2, -price,
1000)/2 To calculate coupon (annual coupon bond) Coupon
= pmt(yield to maturity, number of years left, -price, 1000) Coupon
rate = coupon / 1000 To calculate coupon (semi-annual coupon bond) Coupon
= pmt(yield to maturity/2, number of years left*2, -price, 1000)*2 Coupon
rate = coupon / 1000 |
|||||||||||||||||||||||||||||||||||||||||||||||||||||||||||||||||||||||||||||||||||||||||||||||||||||||||||||||||||||||||||||||||||||||||||||||||||||||||||||||||||||||||||||||||||||||||||||||||||||||||||||||||||||||||||||||||||||||||||||||||||||||||||||||||||||||||||||||||||||||||||||||||||||||||||||||||||||||||||||||||||||||||||||||||||||||||||||||||||||||||||||||||||||||||||||||||||||||||||||||||||||||||||||||||||||||||||||||||||||||||||||||||||||||||||||||||||||||||||||||||||||||||||||||||||||||||||||||||||||||||||||||||||||||||||||||||||||||||||||||||||||||||||||||||||||||||||||||||||||||||||||||||||||||||||||||||||||||||||||||||||||||||||||||||||||||||||||||||||||||||||||||||||||||||||||||||||||||||||||||||||||||||||||||||||||||||||||||||||||||||||||||||||||||||||||||||||||||||||||||||||||||||||||||||||||||||||||||||||||||||||||||||||||||||||||||||||||||||||||||||||||||||||||||||||||||||||||||||||||||||||||||||||||||||||||||||||||||||||||||||||||||||||||||||||||||||||||||||||||
|
Week 4 |
Chapter 8 Stock
Valuation Part
I Dividend payout and Stock Valuation For class
discussion: · Why can we
use dividend to estimate a firm’s intrinsic value? · Are
future dividends predictable? Refer to the following table for WMT’s dividend history Wal-Mart Dividend History https://www.macrotrends.net/stocks/charts/WMT/walmart/dividend-yield-history
WMT Dividend History
https://www.nasdaq.com/market-activity/stocks/wmt/dividend-history WMT Dividend History
·
EX-DIVIDEND DATE 03/14/2024 ·
DIVIDEND YIELD 1.36% ·
ANNUAL DIVIDEND $0.83 ·
P/E RATIO 32.01
For class discussion: What conclusions can be drawn from
the above information? Can we figure out the stock price
of Wal-Mart based on dividend, with reasonable assumptions? Can you estimate the
expected dividend in 2024? And in 2025? And on and on…
Can you write down the math equation
now? WMT stock price = ? WMT
stock price = npv(return, D1, D2, …D∞) WMT
stock price = D1/(1+r) + D2/(1+r)2
+ D3/(1+r)3
+ D4/(1+r)4 + … Calculating the present value of
dividends when assuming dividends go to infinity can indeed be challenging.
To simplify the calculation, we can make the assumption that dividends grow
at a certain rate. Additionally, we can use the discount
rate 'r,' which is based on the Beta and Capital Asset Pricing Model (CAPM)
discussed in Chapter 13. By incorporating these assumptions, we can
streamline the calculation process for determining the present value of
dividends. https://www.nasdaq.com/market-activity/stocks/wmt
What information does each item in the table convey or
represent? From
finviz.com https://finviz.com/quote.ashx?t=WMT
Part II: Constant Dividend
Growth-Dividend growth model Calculate
stock prices 1) Given next dividends and price Po= Po= Po= Po= ……
Refer to http://www.calculatinginvestor.com/2011/05/18/gordon-growth-model/ · Now let’s apply this Dividend
growth model in problem solving. Constant dividend
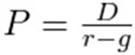
growth model calculator (www.jufinance.com/stock) Equations ·
Po=
D1/(r-g) or Po= Do*(1+g)/(r-g) ·
r
= D1/Po+g = Do*(1+g)/Po+g · g= r-D1/Po = r-
Do*(1+g)/Po ·
D1 = Po *(r-g); D0 =
Po*(r-g)/(1+g) · Capital Gain yield = g · Dividend Yield = r – g = D1
/ Po = Do*(1+g) / Po ·
D1=Do*(1+g);
D2= D1*(1+g); D3=D2*(1+g)… Exercise: 1.
Consider the valuation of a common stock that
paid $1.00 dividend at the end of the last year and is expected to pay a cash
dividend in the future. Dividends are expected to grow at 10% and the
investors required rate of return is 17%. How much is the price? How much is
the dividend yield? Capital gain yield? 2. The
current market price of stock is $90 and the stock pays dividend of $3 (D1)
with a growth rate of 5%. What is the return of this stock? How much is the
dividend yield? Capital gain yield? Part III: Non-Constant Dividend
Growth Calculate
stock prices 1) Given next dividends and price Po= Po= Po= Po= …… Non-constant
dividend growth model Equations Pn
= Dn+1/(r-g) = Dn*(1+g)/(r-g), since year n,
dividends start to grow at a constant rate. Where
Dn+1= next dividend in year n+1; Do
= just paid dividend in year n; r=stock
return; g= dividend growth rate; Pn=
current market price in year n; Po
= npv(r, D1, D2, …, Dn+Pn) Or,
Po
= D1/(1+r) + D2/(1+r)2 + … + (Dn+Pn)/(1+r)n
Calculator: Non-Constant Dividend Growth Calculator In class exercise for
non-constant dividend growth model 1.
You expect
AAA Corporation to generate the following free cash flows over the next five
years:
Since year 6, you estimate that AAA's free cash flows will
grow at 6% per year. WACC of AAA = 15% · Calculate the enterprise value for DM Corporation. · Assume that AAA has $500 million debt and 14 million shares
outstanding, calculate its stock price. Answer:
2. AAA pays no dividend
currently. However, you expect it pay an annual dividend of $0.56/share 2
years from now with a growth rate of 4% per year thereafter. Its equity cost
= 12%, then its stock price=? Answer:
Do=0 D1=0 D2=0.56 g=4%
after year 2 è
P2 = D3/(r-g), D3=D2*(1+4%) è
P2 = 0.56*(1+4%)/(12%-4%) = 7.28 r=12% Po=? Po =
NPV(12%, D1, D2+P2), D2 = 0.56, P2=7.28. SO Po = NPV(12%, 0,0.56+7.28) =
6.25 (Note: for non-constant growth
model, calculate price when dividends start to grow at the constant rate.
Then use NPV function using dividends in previous years, last dividend plus
price. Or use calculator at https://www.jufinance.com/dcf/
) 3. Required return =12%.
Do = $1.00, and the dividend will grow by 30% per year for the next 4
years. After t = 4, the dividend is
expected to grow at a constant rate of 6.34% per year forever. What is the stock price ($40)? Answer:
Do=1 D1 =
1*(1+30%) = 1.3 D2=
1.3*(1+30%) = 1.69 D3 =
1.69*(1+30%) = 2.197 D4 =
2.197*(1+30%) = 2.8561 D5 =
2.8561*(1+6.34%), g=6.34% P4 =
D5/(r-g) = 2.8561*(1+6.34%) /(12% - 6.34%) Po = NPV(12%, 1.3, 1.69, 2.197,
2.8561+2.8561*(1+6.34%)) /(12% - 6.34%)) = 40 Or use calculator at https://www.jufinance.com/dcf Part IV: How to pick stocks?
(FYI) How to pick
stocks – Does it work? PE ratio Stock screening tools ·
Reuters
stock screener to help select stocks http://stockscreener.us.reuters.com/Stock/US/ ·
FINVIZ.com http://finviz.com/screener.ashx use
screener on finviz.com to narrow down your choices of stocks, such as
PE<15, PEG<1, ROE>30% Summary of stock screening rules
from class discussion PEG<1 PE<15
Growth
rate>20 ROE>10% Analyst ranking:
strong buy only
current
price>5 HOMEWORK (Due with final) 1. Northern
Gas recently paid a $2.80 annual dividend on its common stock. This dividend increases
at an average rate of 3.8 percent per year. The stock is currently selling
for $26.91 a share. What is the market rate of return? (14.60
percent) 3.
IBM just paid $3.00 dividend per share to
investors. The dividend growth rate is 10%. What is the expected dividend of
the next year? ($3.3) 5.
Investors of
Creamy Custard common stock earns 15% of return. It just paid a
dividend of $6.00 and dividends are expected to grow at a rate of 6%
indefinitely. What is expected price of Creamy Custard's stock? ($70.67) Homework Video of this
week Homework help video
(FYI) Quiz 3- Help Video Quiz 3
Practice Part I Part II Part III Part IV
|
P/E Ratio Summary by
industry (FYI) --- Thanks to Dr Damodaran Data Used: Multiple data services Date of Analysis: Data used is as of January 2021 Download as an excel file instead: http://www.stern.nyu.edu/~adamodar/pc/datasets/pedata.xls For global datasets: http://www.stern.nyu.edu/~adamodar/New_Home_Page/data.html
Details
about how to derive the model mathematically (FYI) The Gordon growth model is a simple discounted cash flow
(DCF) model which can be used to value a stock, mutual fund, or even the
entire stock market. The model is named after Myron Gordon who first
published the model in 1959. The Gordon model assumes that a financial security
pays a periodic dividend (D) which grows at a constant rate
(g). These growing dividend payments are assumed to continue forever. The
future dividend payments are discounted at the required rate of return (r) to
find the price (P) for the stock or fund. Under these simple assumptions, the price of the
security is given by this equation:
In this equation, I’ve used the “0” subscript
on the price (P) and the “1” subscript on the dividend (D) to
indicate that the price is calculated at time zero and the dividend is the
expected dividend at the end of period one. However, the equation is
commonly written with these subscripts omitted. Obviously, the assumptions built into this
model are overly simplistic for many real-world valuation problems. Many
companies pay no dividends, and, for those that do,
we may expect changing payout ratios or growth rates as the
business matures. Despite
these limitations, I believe spending some time experimenting with the
Gordon model can help develop intuition about the relationship between
valuation and return. Deriving the Gordon Growth Model Equation
The Gordon growth model calculates the present value of
the security by summing an infinite series of discounted dividend payments
which follows the pattern shown here:
Multiplying both sides of the previous equation by
(1+g)/(1+r) gives:
We can then subtract the second equation from the first
equation to get:
Rearranging and simplifying:
Finally,
we can simplify further to get the Gordon growth model equation |
|||||||||||||||||||||||||||||||||||||||||||||||||||||||||||||||||||||||||||||||||||||||||||||||||||||||||||||||||||||||||||||||||||||||||||||||||||||||||||||||||||||||||||||||||||||||||||||||||||||||||||||||||||||||||||||||||||||||||||||||||||||||||||||||||||||||||||||||||||||||||||||||||||||||||||||||||||||||||||||||||||||||||||||||||||||||||||||||||||||||||||||||||||||||||||||||||||||||||||||||||||||||||||||||||||||||||||||||||||||||||||||||||||||||||||||||||||||||||||||||||||||||||||||||||||||||||||||||||||||||||||||||||||||||||||||||||||||||||||||||||||||||||||||||||||||||||||||||||||||||||||||||||||||||||||||||||||||||||||||||||||||||||||||||||||||||||||||||||||||||||||||||||||||||||||||||||||||||||||||||||||||||||||||||||||||||||||||||||||||||||||||||||||||||||||||||||||||||||||||||||||||||||||||||||||||||||||||||||||||||||||||||||||||||||||||||||||||||||||||||||||||||||||||||||||||||||||||||||||||||||||||||||||||||||||||||||||||||||||||||||||||||||||||||||||||||||||||||||||||
|
Chapter 9 Capital Budgeting
1. NPV Excel syntax Syntax NPV(rate,value1,value2, ...) Rate is the rate of discount over
the length of one period. Value1, value2,
... are 1 to 29
arguments representing the payments and income. · Value1, value2, ... must be equally spaced in
time and occur at the end of each period. NPV uses the
order of value1, value2, ... to interpret the order of cash flows.
Be sure to enter your payment and income values in the correct sequence. 2. IRR Excel syntax Syntax IRR(values, guess) Values is an array or a reference to cells
that contain numbers for which you want to calculate the internal rate of
return. Guess is a number that you guess is
close to the result of IRR.
Or, PI =
NPV / CFo +1 Profitable
index (PI) =1 + NPV / absolute value of CFo 3. MIRR( values, finance_rate, reinvest_rate ) Where
the function arguments are as follows:
Modified Rate of Return:
Definition & Example (video)
https://study.com/academy/lesson/modified-rate-of-return-definition-example.html NPV, IRR, Payback Period calculator I NPV, IRR, Payback Period calculator II
Excel Template - NPV, IRR, MIRR, PI, Payback,
Discounted payback NPV
Profile in Excel Demonstration (Video, FYI) In class exercise Part I: Single project 1.
How much is MIRR? IRR? Payback period?
Discounted payback period? NPV? WACC: 11.00% Year 0 1 2 3 Cash
flows -$800 $350 $350 $350 Answer: 1)
NPV: NPV = -800 + 350/(1+11%) +
350/(1+11%)2 + 350/(1+11%)3 = 55.30 Or in excel: = npv(11%, 350, 350, 350)-800 = 55.30 2)
IRR:
So NPV = 0 = -800 +
350/(1+IRR) + 350/(1+IRR)2 + 350/(1+IRR)3 , use Solver,
can get IRR = 14.93% Or in excel:
3)
PI: profitable index
SO, PI= (350/(1+11%) + 350/(1+11%)2 + 350/(1+11%)3
) / 800 = 1.069 Or PI = NPV/800 + 1 = 55.30/800 + 1 = 1.069 4)
Payback period:
A portion of the third year = (800-350-350)/350 = 100/350 =
0.2857 So it takes 2 + 0.2857 = 2.2857 years to pay off the debt of
$800. 5)
Discounted payback period:
Note: All the cash flows in the above equation should be the
present values. A portion of the third year = (800-318.18-289.26)/262.96 =
0.72 So it takes 2 + 0.72 = 2.72 years to pay off the debt of $800.
A portion of the third year = (800-318.18-289.26)/262.96 = 0.72 So it takes 2 + 0.72 = 2.72 years to pay off the debt of $800. Or use the calculator at https://www.jufinance.com/capital/ Part
II: Multi-Projects 1.
Projects S and L, whose cash flows are
shown below. These projects are
mutually exclusive, equally risky, and not repeatable. The CEO believes the IRR is the best
selection criterion, while the CFO advocates the NPV. If the decision is made by choosing the
project with the higher IRR rather than the one with the higher NPV, how much,
if any, value will be forgone, i.e., what's the chosen NPV versus the maximum
possible NPV? Note that (1) “true value” is measured by NPV,
and (2) under some conditions the choice of IRR vs. NPV will have no effect
on the value gained or lost. WACC: 7.50% Year 0 1 2 3 4 CFS -$1,100 $550 $600 $100 $100 CFL -$2,700 $650 $725 $800 $1,400 Answer:
If the required rate of return is 10%. Which
project shall you choose? 1) How
much is the cross over rate? (answer: 11.8%) 2) How
is your decision if the required rate of return is 13%? (answer: NPV of
B>NPV of A) · Rule for mutually exclusive projects: (answer:
Choose B) · What about the two projects are
independent? (answer: Choose both) Solution:
Part III More on IRR – (non-conventional cash flow) Suppose an investment will
cost $90,000 initially and will generate the following cash flows: – Year 1: 132,000 – Year 2: 100,000 – Year 3: -150,000 The required return is 15%.
Should we accept or reject the project? 1) How does the
NPV profile look like? (Answer: Inverted NPV profile) 2) IRR1= 10.11% --
answer 3) IRR2= 42.66% --
answer Solution:
HOMEWORK(Due with final)
Year Cash
flows 1 $8,000 2 4,000 3 3,000 4 5,000 5 10,000 1) How much is the payback
period (approach one)? ---- 4 years 2) If the firm has a 10%
required rate of return. How much is NPV (approach 2)?-- $2456.74 3) If the firm has a 10%
required rate of return. How much is IRR (approach 3)? ---- 14.55% 4) If the firm has a 10% required
rate of return. How much is PI (approach 4)? ---- 1.12 Question 2: Project with an initial cash
outlay of $60,000 with following free cash flows for 5 years. Year FCF Initial
outlay –60,000 1 25,000 2 24,000 3 13,000 4 12,000 5 11,000 The firm has a 15% required
rate of return. Calculate payback period, NPV,
IRR and PI. Analyze your results. Question 3: Mutually Exclusive Projects 1) Consider the following
cash flows for one-year Project A and B, with required rates of return of
10%. You have limited capital and can invest in one but one project. Which
one? § Initial Outlay: A = -$200; B = -$1,500 § Inflow: A
= $300; B = $1,900 2) Example: Consider two
projects, A and B, with initial outlay of $1,000, cost of capital of 10%, and
following cash flows in years 1, 2, and 3: A:
$100 $200 $2,000 B:
$650 $650 $650 Which project should you choose if they are mutually
exclusive? Independent? Crossover rate? (mutually exclusive: A’s NPV=758.83 >
B’s NPV = 616.45, so choose A; Independent, choose
all positive NPV, so choose both; Crossover rate = 21.01%. The calculator does not work. Use IRR
in Excel) Quiz 4- chapter 9 – (no
video prepared; Could use the calculator) Homework help videos (chapter 9) |
Simple
Rules’ for Running a Business
From the 20-page cellphone contract to the five-pound employee
handbook, even the simple things seem to be getting more complicated. Companies have been complicating things for themselves, too—analyzing hundreds of factors when making decisions, or
consulting reams of data to resolve every budget dilemma. But those
requirements might be wasting time and muddling priorities. So argues Donald Sull,
a lecturer at the Sloan School of Management at the Massachusetts Institute
of Technology who has also worked for McKinsey & Co. and Clayton, Dubilier & Rice LLC. In the book Simple
Rules: How to Thrive in a Complex World, out this week from Houghton
Mifflin Harcourt HMHC -1.36%,
he and Kathleen Eisenhardt of Stanford University claim that
straightforward guidelines lead to better results than complex formulas. Mr. Sull recently spoke with At Work about
what companies can do to simplify, and why five basic rules can beat a
50-item checklist. Edited excerpts: WSJ: Where, in the business
context, might “simple rules” help more than a complicated
approach? Donald Sull: Well, a common decision that people face in organizations is
capital allocation. In many organizations, there will be thick procedure
books or algorithms–one company I worked with had an
algorithm that had almost 100 variables for every project. These are very
cumbersome approaches to making decisions and can waste time. Basically, any
decision about how to focus resources—either people
or money or attention—can benefit from simple rules. WSJ: Can you give an example of
how that simplification works in a company? Sull: There’s
a German company called Weima GmBH that makes shredders. At one point,
they were getting about 10,000 requests and could only fill about a thousand
because of technical capabilities, so they had this massive problem of
sorting out which of these proposals to pursue. They had a very detailed checklist with 40 or 50 items. People
had to gather data and if there were gray areas the proposal would go to
management. But because the data was hard to obtain and there were so many
different pieces, people didn’t always fill out the checklists completely. Then
management had to discuss a lot of these proposals personally because there
was incomplete data. So top management is spending a disproportionate amount
of time discussing this low-level stuff. Then Weima came up with guidelines that the
frontline sales force and engineers could use to quickly decide whether a
request fell in the “yes,” “no” or “maybe” category. They did it with five
rules only, stuff like “Weima had to
collect at least 70% of the price before the unit leaves the factory.” After that, only the “maybes” were sent to management. This
dramatically decreased the amount of time management spend evaluating these
projects–that time was decreased by almost a factor
of 10. Or, take Frontier Dental Laboratories in Canada. They were
working with a sales force of two covering the entire North American market.
Limiting their sales guidelines to a few factors that made someone likely to
be receptive to Frontier—stuff like “dentists
who have their own practice” and “dentists
with a website”—helped focus their efforts and
increase sales 42% in a declining market. WSJ: Weima used five factors—is
that the optimal number? And how do you choose which rules to follow? Sull: You should have four to six
rules. Any more than that, you’ll spend too much time trying to follow
everything perfectly. The entire reason simple rules help is because they
force you to prioritize the goals that matter. They’re
easy to remember, they don’t confuse or stress you,
they save time. They should be tailored to your specific goals, so you choose
the rules based on what exactly you’re trying to
achieve. And you should of course talk to others. Get information from
different sources, and ask them for the top things that worked for them. But
focus on whether what will work for you and your circumstances. WSJ: Is there a business leader
you can point to who has embraced the “simple rules” guideline? Donald Sull: Let’s look at when Alex Behring took
over America
Latina Logistica SARUMO3.BR +1.59%,
the Brazilian railway and logistics company. With a budget of $15 million,
how do you choose among $200 million of investment requests, all of which are
valid? The textbook business-school answer to this is that you run the
NPV (net present value) test on each project and rank-order them by NPV. Alex
Behring knows this. He was at the top of the class at Harvard Business School. But instead Similarly, the global-health arm of the Gates Foundation gets
many, many funding requests. But since they know that their goal is to have
the most impact worldwide, they focus on projects in developing countries
because that’s where the money will stretch farther. |
||||||||||||||||||||||||||||||||||||||||||||||||||||||||||||||||||||||||||||||||||||||||||||||||||||||||||||||||||||||||||||||||||||||||||||||||||||||||||||||||||||||||||||||||||||||||||||||||||||||||||||||||||||||||||||||||||||||||||||||||||||||||||||||||||||||||||||||||||||||||||||||||||||||||||||||||||||||||||||||||||||||||||||||||||||||||||||||||||||||||||||||||||||||||||||||||||||||||||||||||||||||||||||||||||||||||||||||||||||||||||||||||||||||||||||||||||||||||||||||||||||||||||||||||||||||||||||||||||||||||||||||||||||||||||||||||||||||||||||||||||||||||||||||||||||||||||||||||||||||||||||||||||||||||||||||||||||||||||||||||||||||||||||||||||||||||||||||||||||||||||||||||||||||||||||||||||||||||||||||||||||||||||||||||||||||||||||||||||||||||||||||||||||||||||||||||||||||||||||||||||||||||||||||||||||||||||||||||||||||||||||||||||||||||||||||||||||||||||||||||||||||||||||||||||||||||||||||||||||||||||||||||||||||||||||||||||||||||||||||||||||||||||||||||||||||||||||||||||||||
|
Week 4 - Chapter 14 Cost of Capital
For class discussion: · What is WACC? · Why is it important? · WACC increases, good or bad to stock holders? · How to apply WACC to figure out firm value?
One option (if beta is given, refer to chapter 13)
Another option (if dividend is given):
WACC Formula
WACC calculator (annual
coupon bond) (www.jufinance.com/wacc)
WACC calculator (semi-annual coupon bond) (www.jufinance.com/wacc_1)
WACC Calculator help
videos FYI
Summary of Equations
Discount rate to figure out the value of projects is called WACC (weighted average cost of capital)
WACC = weight of debt * cost of debt + weight of equity *( cost of equity)
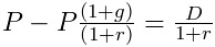
Wd= total debt / Total capital = total borrowed / total capital We= total equity/ Total capital Cost of debt = rate(nper,
coupon, -(price – flotation costs), 1000)*(1-tax rate) Cost of Equity = D1/(Po – Flotation Cost) + g D1: Next period dividend; Po: Current stock price; g: dividend growth rate Note: flotation costs = flotation percentage * price
Or if beta is given, use CAPM model (refer to chapter 13) Cost of equity = risk free
rate + beta *(market return – risk free rate) Cost of equity = risk free rate +
beta * market risk premium
In Class Exercise: A firm borrows money from bond market. The price they paid is $950 for the bond with 5% coupon rate and 10 years to mature. Flotation cost is $40. For the new stocks, the expected dividend is $2 with a growth rate of 10% and price of $40. The flotation cost is $4. The company raises capital in equal proportions i.e. 50% debt and 50% equity (such as total $1m raised and half million is from debt market and the other half million is from stock market). Tax rate 34%. What is WACC (weighted average cost of capital, cost of capital)? (Answer: 9.84%) 1) Why does the firm raise capital from the financial market? Is there of any costs of doing so? What do you think? 2) What is cost of debt? (Kd = rate(nper, coupon, -(price – flotation costs $)), 1000)*(1-tax rate)) 3) Cost of equity? (Ke = (D1/(Price – flotation costs $)) +g, or Ke = Rrf + Beta*MRP)) Why no tax adjustment like cost of debt? 4) WACC=Cost of capital = Percentage of Debt * cost of debt + percentage of stock * cost of stock = Wd*Kd + We* Ke Meaning: For a dollar raised in the capital market from debt holders and stockholders, the cost is WACC (or WACC * 1$ = several cents, and of course, the lower the better but many companies do not have good credits)
Solution: Cost
of debt = rate(10, 50, -(950-40), 1000)*(1-34%) Cost
of/equity = 2/(40-4)+10% WACC
= 0.5*cost of debt + 0.5*cost of equity
https://www.jufinance.com/wacc/ No
homework for chapter 14 |
(both annual and
semi-annual) WACC calculator (annual coupon bond) WACC calculator (semi-annual coupon
bond) (www.jufinance.com/wacc_1) Wal-Mart
Inc (NYSE:WMT) WACC %: 7.41%
As of 7/18/2024 As of today (2024-7-18), Walmart's
weighted average cost of capital is 7.41%. Walmart's ROIC % is 11.35% (calculated using TTM income
statement data). Walmart generates higher returns on investment than it costs
the company to raise the capital needed for that investment. It is earning
excess returns. A firm that expects to continue generating positive excess
returns on new investments in the future will see its value increase as
growth increases.https://www.gurufocus.com/term/wacc/WMT/WACC/Walmart%2BInc
Amazon.com
Inc (NAS:AMZN) WACC %:11.53% As of 7/18/2024 As of today (2024-7-18) Amazon.com's weighted average cost of capital is 11.53%. Amazon.com's ROIC % is 10.58% (calculated using TTM income statement data). Amazon.com generates higher returns on investment than it costs the company to raise the capital needed for that investment. It is earning excess returns. A firm that expects to continue generating positive excess returns on new investments in the future will see its value increase as growth increases. https://www.gurufocus.com/term/wacc/AMZN/WACC-Percentage/Amazon.com%20Inc Apple
Inc (NAS:AAPL) WACC %:11.13%
As of 7/18/2024 As of today (2024-7-18), Apple's
weighted average cost of capital is 11.13%. Apple's ROIC % is 34.83% (calculated
using TTM income statement data). Apple generates higher returns on
investment than it costs the company to raise the capital needed for that
investment. It is earning excess returns. A firm that expects to continue
generating positive excess returns on new investments in the future will see
its value increase as growth increases..https://www.gurufocus.com/term/wacc/AAPL/WACC/Apple%2Binc
Tesla WACC %: 14.67% As of 7/18/2024
As of today (2024-7-18), Tesla's weighted average cost of capital is 14.67%. Tesla's ROIC % is 19.99% (calculated using TTM income statement data). Tesla earns returns that do not match up to its cost of capital. It will destroy value as it grows. https://www.gurufocus.com/term/wacc/NAS:TSLA/WACC-/Tesla
NVIDIA (NAS:NVDA) WACC %: 18.81% As of 7/18/2024
As of today (2024-7-18), NVDIA's weighted average cost of capital is 18.17%. NVDIA's ROIC % is 144.28%. (calculated using TTM income statement data). Tesla earns returns that do not match up to its cost of capital. It will destroy value as it grows. https://www.gurufocus.com/term/wacc/NVDA/WACC-Percentage/NVDA
Cost of Capital by
Sector (US) Date of Analysis: Data used is as of January 2022 Download as an excel file instead: https://www.stern.nyu.edu/~adamodar/pc/datasets/wacc.xls For global datasets: https://www.stern.nyu.edu/~adamodar/New_Home_Page/data.html
http://people.stern.nyu.edu/adamodar/New_Home_Page/datafile/wacc.htm |
||||||||||||||||||||||||||||||||||||||||||||||||||||||||||||||||||||||||||||||||||||||||||||||||||||||||||||||||||||||||||||||||||||||||||||||||||||||||||||||||||||||||||||||||||||||||||||||||||||||||||||||||||||||||||||||||||||||||||||||||||||||||||||||||||||||||||||||||||||||||||||||||||||||||||||||||||||||||||||||||||||||||||||||||||||||||||||||||||||||||||||||||||||||||||||||||||||||||||||||||||||||||||||||||||||||||||||||||||||||||||||||||||||||||||||||||||||||||||||||||||||||||||||||||||||||||||||||||||||||||||||||||||||||||||||||||||||||||||||||||||||||||||||||||||||||||||||||||||||||||||||||||||||||||||||||||||||||||||||||||||||||||||||||||||||||||||||||||||||||||||||||||||||||||||||||||||||||||||||||||||||||||||||||||||||||||||||||||||||||||||||||||||||||||||||||||||||||||||||||||||||||||||||||||||||||||||||||||||||||||||||||||||||||||||||||||||||||||||||||||||||||||||||||||||||||||||||||||||||||||||||||||||||||||||||||||||||||||||||||||||||||||||||||||||||||||||||||||||||||
|
Week 5 - Chapter 13 Risk and Return Equations (FYI): 1. Expected return and
standard deviation Given a probability distribution of
returns, the expected return can be calculated using the following equation:
where
https://www.zenwealth.com/businessfinanceonline/RR/ExpectedReturn.html Given an asset's expected return,
its variance can be calculated using the following equation:
where
The standard deviation is calculated
as the positive square root of the variance.
https://www.zenwealth.com/businessfinanceonline/RR/MeasuresOfRisk.html Exercise: Stock A has the following returns for various states of the
economy: State of the
Economy Probability Stock
A's Return Recession 10% -30% Below
Average 20% -2% Average 40% 10% Above
Average 20% 18% Boom 10% 40% Stock A's expected return is?
Standard deviation? Solution:
Expected return = 10%*(-30%)) + 20%*(-2%)
+ 40% *10% + 20%*18% + 10%*40% = 8.2% Standard
deviation =
sqrt(10%*(-30%-8.2%)2 + 20%*(-2%-8.2%)2 +40%*(10%-8.2%)2
+ 20%*(18%-8.2%)2 +10%*(40%-8.2%)2) = 16.98% Or, https://www.jufinance.com/return/
W1 and W2 are the percentage of each stock in the
portfolio.
Exercise: Stocks A and B have the following returns for various states of
the economy: State of the
Economy Probability Stock
A's Return Recession 10% -30% -10% Below
Average 20% -2% 2% Average 40% 10% 1% Above
Average 20% 18% 2% Boom 10% 40% -5% Solution: (or use calculator
at https://www.jufinance.com/return/) Stock 1: Expected return = 10%*(-30%))
+ 20%*(-2%) + 40% *10% + 20%*18% + 10%*40% = 8.2% Standard deviation = sqrt(10%*(-30%-8.2%)2 + 20%*(-2%-8.2%)2
+40%*(10%-8.2%)2 + 20%*(18%-8.2%)2 +10%*(40%-8.2%)2)
= 16.98% Stock 2: Expected return = 10%*(10%)) +
20%*(2%) + 40% *1% + 20%*2% + 10%*(-5)% = 1.7% Standard deviation = sqrt(10%*(10%-1.7%)2 + 20%*(2%-1.7%)2
+40%*(1%-1.7%)2 + 20%*(2%-1.7%)2 +10%*((-5)%-1.7%)2)
= 3.41% Covariance: Covariance = 10%*(-30%-8.2%)*(10%-1.7%)+20%*(-2%-8.2%)*(2%-1.7%)+40%*(10%-8.2%)*(1%-1.7%)+20%*(18%-8.2%)*(2%-1.7%)+10%*(40%-8.2%)*((-5%)-1.7%)
= -0.54% Correlation: Correlation = -0.54%/(16.98%* 3.41%) = -0.93
]3..
Historical returns Holding period return (HPR) =
(Selling price – Purchasing price + dividend)/ Purchasing price 4. CAPM (Capital Asset
Pricing Model) model · What is Beta? Where to find Beta?
Beta
is a measurement of a stock's price fluctuations, which is often called
volatility, and is used by investors to gauge how quickly a stock's price
will rise or fall. Because beta is calculated from past returns, it's not
considered as reliable a tool to forecast rises in stock prices, and it is
more commonly used by options traders. Beta compares the changes in a
company's stock returns against the returns of the market as a whole. Online
brokerages give investors extensive data on a stock's beta value, and some
free financial news websites also show current beta measurements. · What
Is the Capital Asset Pricing Model?
The Capital Asset Pricing Model (CAPM)
describes the relationship between systematic risk and expected
return for assets, particularly stocks. CAPM is widely used throughout
finance for pricing risky securities and generating expected returns
for assets given the risk of those assets and cost of capital. Ri = Rf + βi *( Rm -
Rf) ------ CAPM model Ri =
Expected return of investment Rf = Risk-free
rate βi = Beta of the investment Rm = Expected
return of market (Rm - Rf) = Market risk premium Investors expect to be compensated for risk and the time
value of money. The risk-free rate in the CAPM formula accounts for
the time value of money. The other components of the CAPM formula account for
the investor taking on additional risk. The beta of a potential investment is a
measure of how much risk the investment will add to a portfolio that looks
like the market. If a stock is riskier than the market, it will have a beta
greater than one. If a stock has a beta of less than one, the formula assumes
it will reduce the risk of a portfolio. A stock’s beta is then multiplied by
the market risk premium, which is the return expected from the market
above the risk-free rate. The risk-free rate is then added to the product of
the stock’s beta and the market risk premium.
The result should give an investor the required
return or discount rate they can use to find the value of an
asset. The goal of the CAPM formula is to evaluate whether a stock is
fairly valued when its risk and the time value of money are compared to its
expected return. For example, imagine an investor is
contemplating a stock worth $100 per share today that pays a 3% annual
dividend. The stock has a beta compared to the market of 1.3, which means it
is riskier than a market portfolio. Also, assume that the risk-free rate is
3% and this investor expects the market to rise in value by 8% per year. The expected return of the stock based on the CAPM formula is
9.5%. The expected return of the CAPM formula is used to discount
the expected dividends and capital appreciation of the stock over the
expected holding period. If the discounted value of those future cash flows
is equal to $100 then the CAPM formula indicates the stock is fairly valued
relative to risk. (https://www.investopedia.com/terms/c/capm.asp) · SML – Security Market Line
In class
exercise Steps: 1. From finance.yahoo.com, collect stock prices
of the above firms, in the past five years Steps: · Goto finance.yahoo.com,
search for the company · Click
on “Historical prices” in the left column on the top and choose monthly stock
prices. · Change
the starting date and ending date to “8/1/2018” and “7/1/2023”, respectively.
· Download
it to Excel · Delete
all inputs, except “adj close”
– this is the closing price adjusted for dividend. · Merge
the three sets of data just downloaded Pick three stocks. Has to be the leading firm
in three different industries. · For
example: chose WalMart, Apple, Tesla, and S&P500 index. · Stock Prices Raw Data
File (updated, summer
2024) 3. Evaluate the performance of each stock: · Calculate
the monthly stock returns. · Calculate
the average return · Calculate
standard deviation as a proxy for risk · Calculate
correlation among the three stocks. · Calculate
beta. But you need to download S&P500 index values in the past five years from
finance.yahoo.com. · Calculate stock returns based on CAPM. · Draw SML ·
Stock
Price In Class exercise all included (Beta, CAPM, excel file here) (summer 2024, updated,
equations presented clearly) · Stock Price Normal Distribution (FYI) ( https://homepage.divms.uiowa.edu/~mbognar/applets/normal.html)
HOMEWORK (Due with final) 1. AAA
firm’s stock has a 0.25 possibility to make 30.00% return, a 0.50 chance to
make 12% return, and a 0.25 possibility to make -18%
return. Calculate expected rate of return (Answer: 9%) 2. If
investors anticipate a 7.0% risk-free rate, the market risk premium = 5.0%,
beta = 1, Find the return. (answer:12%) 3. AAA
firm has a portfolio with a value of $200,000 with the following four stocks.
Calculate the beta of this portfolio ( answer: 0.988) Stock value β A $
50,000.00 0.9500 B 50,000.00 0.8000 C 50,000.00 1.0000 D 50,000.00 1.2000 Total $200,000.00 4. A
portfolio with a value of $40,000,000 has a beta = 1. Risk free rate = 4.25%,
market risk premium = 6.00%. An additional $60,000,000 will be included in
the portfolio. After that, the expected return should be 13%. Find the
average beta of the new stocks to achieve the goal ( answer:
1.76) 5. Stock A
has the following returns for various states of the economy: State of the
Economy Probability Stock
A's Return Recession 10% -30% Below
Average 20% -2% Average 40% 10% Above
Average 20% 18% Boom 10% 40% Stock A's
expected return is? Standard deviation? (answer:
expected return = 8.2%, variance=0.02884, standard deviation=16.98%,
visit https://www.jufinance.com/return/) 6. Collectibles
Corp. has a beta of 2.5 and a standard deviation of returns of 20%. The
return on the market portfolio is 15% and the risk free rate is 4%. What is
the risk premium on the market? 7. An
investor currently holds the following portfolio: Amount Invested 8,000 shares of
Stock A $16,000 Beta = 1.3 15,000 shares of
Stock B $48,000 Beta = 1.8 25,000 shares of
Stock C $96,000 Beta = 2.2 The beta
for the portfolio is? 8. Deleted 9. Assume that
you have $165,000 invested in a stock that is returning 11.50%, $85,000
invested in a stock that is returning 22.75%, and $235,000 invested in a
stock that is returning 10.25%. What is the expected return of your portfolio? 10. If you hold
a portfolio made up of the following stocks: Investment
Value Beta Stock
A $8,000 1.5 Stock
B $10,000 1.0 Stock
C $2,000 .5 What is the
beta of the portfolio? 11. You
own a portfolio consisting of the stocks below. Stock Percentage
of
portfolio Beta 1. 20% 1 2. 30% 0.5 3. 50% 1.6 The risk free
rate is 3% and market return is 10%. a. Calculate
the portfolio beta. b. Calculate
the expected return of your portfolio. 12. An
investor currently holds the following portfolio: Amount Invested 8,000 shares of
Stock A $10,000 Beta = 1.5 15,000 shares of Stock B $20,000 Beta
= 0.8 25,000 shares of
Stock C $20,000 Beta = 1.2 Calculate the
beta for the portfolio. Homework Help videos Q1 Q5 Q2 Q3 Q4 Q6 Q7 Q9 TO THE END Quiz 5
prep video Part
I (has three questions from chapter 8) Part
II |
How much does Amazon worth?” --- FYI only: Amazon.com Inc. (AMZN) https://www.stock-analysis-on.net/NASDAQ/Company/Amazoncom-Inc/DCF/Present-Value-of-FCFF
Present
Value of Free Cash Flow to the Firm (FCFF)
In discounted
cash flow (DCF) valuation techniques the value of the stock is estimated
based upon present value of some measure of cash flow. Free cash flow to the
firm (FCFF) is generally described as cash flows after direct costs and
before any payments to capital suppliers.
Intrinsic Stock Value (Valuation Summary)
Amazon.com
Inc., free cash flow to the firm (FCFF) forecast
1 Weighted Average Cost of Capital (WACC)
Amazon.com
Inc., cost of capital
1 USD $ in millions Equity (fair value) = No. shares
of common stock outstanding × Current share price Debt (fair value). See Details » 2 Required rate of return on equity
is estimated by using CAPM. See Details » Required rate of return on
debt. See Details » Required rate of return on debt
is after tax. Estimated (average) effective
income tax rate WACC
= 16.17% FCFF Growth Rate (g)
FCFF growth rate
(g) implied by PRAT model
Amazon.com
Inc., PRAT model
2017
Calculations 2 Interest expense, after tax =
Interest expense × (1 – EITR) 3 EBIT(1 – EITR) = Net income
(loss) + Interest expense, after tax 4 RR = [EBIT(1 – EITR) – Interest
expense (after tax) and dividends] ÷ EBIT(1 – EITR) 5 ROIC = 100 × EBIT(1 – EITR) ÷
Total capital 6 g = RR × ROIC FCFF growth rate
(g) forecast
Amazon.com
Inc., H-model
where: Calculations g2 = g1 + (g5 – g1) × (2 – 1) ÷ (5 – 1) g3 = g1 + (g5 – g1) × (3 – 1) ÷ (5 – 1) g4 = g1 + (g5 – g1) × (4 – 1) ÷ (5 – 1) |
||||||||||||||||||||||||||||||||||||||||||||||||||||||||||||||||||||||||||||||||||||||||||||||||||||||||||||||||||||||||||||||||||||||||||||||||||||||||||||||||||||||||||||||||||||||||||||||||||||||||||||||||||||||||||||||||||||||||||||||||||||||||||||||||||||||||||||||||||||||||||||||||||||||||||||||||||||||||||||||||||||||||||||||||||||||||||||||||||||||||||||||||||||||||||||||||||||||||||||||||||||||||||||||||||||||||||||||||||||||||||||||||||||||||||||||||||||||||||||||||||||||||||||||||||||||||||||||||||||||||||||||||||||||||||||||||||||||||||||||||||||||||||||||||||||||||||||||||||||||||||||||||||||||||||||||||||||||||||||||||||||||||||||||||||||||||||||||||||||||||||||||||||||||||||||||||||||||||||||||||||||||||||||||||||||||||||||||||||||||||||||||||||||||||||||||||||||||||||||||||||||||||||||||||||||||||||||||||||||||||||||||||||||||||||||||||||||||||||||||||||||||||||||||||||||||||||||||||||||||||||||||||||||||||||||||||||||||||||||||||||||||||||||||||||||||||||||||||||||||
|
Week7 part I |
Final
Exam (will be posted on blackboard) Final prep video (on youtube) |
||||||||||||||||||||||||||||||||||||||||||||||||||||||||||||||||||||||||||||||||||||||||||||||||||||||||||||||||||||||||||||||||||||||||||||||||||||||||||||||||||||||||||||||||||||||||||||||||||||||||||||||||||||||||||||||||||||||||||||||||||||||||||||||||||||||||||||||||||||||||||||||||||||||||||||||||||||||||||||||||||||||||||||||||||||||||||||||||||||||||||||||||||||||||||||||||||||||||||||||||||||||||||||||||||||||||||||||||||||||||||||||||||||||||||||||||||||||||||||||||||||||||||||||||||||||||||||||||||||||||||||||||||||||||||||||||||||||||||||||||||||||||||||||||||||||||||||||||||||||||||||||||||||||||||||||||||||||||||||||||||||||||||||||||||||||||||||||||||||||||||||||||||||||||||||||||||||||||||||||||||||||||||||||||||||||||||||||||||||||||||||||||||||||||||||||||||||||||||||||||||||||||||||||||||||||||||||||||||||||||||||||||||||||||||||||||||||||||||||||||||||||||||||||||||||||||||||||||||||||||||||||||||||||||||||||||||||||||||||||||||||||||||||||||||||||||||||||||||||||
|
Week 7 Part II |
Thank you! Thank you! |
||||||||||||||||||||||||||||||||||||||||||||||||||||||||||||||||||||||||||||||||||||||||||||||||||||||||||||||||||||||||||||||||||||||||||||||||||||||||||||||||||||||||||||||||||||||||||||||||||||||||||||||||||||||||||||||||||||||||||||||||||||||||||||||||||||||||||||||||||||||||||||||||||||||||||||||||||||||||||||||||||||||||||||||||||||||||||||||||||||||||||||||||||||||||||||||||||||||||||||||||||||||||||||||||||||||||||||||||||||||||||||||||||||||||||||||||||||||||||||||||||||||||||||||||||||||||||||||||||||||||||||||||||||||||||||||||||||||||||||||||||||||||||||||||||||||||||||||||||||||||||||||||||||||||||||||||||||||||||||||||||||||||||||||||||||||||||||||||||||||||||||||||||||||||||||||||||||||||||||||||||||||||||||||||||||||||||||||||||||||||||||||||||||||||||||||||||||||||||||||||||||||||||||||||||||||||||||||||||||||||||||||||||||||||||||||||||||||||||||||||||||||||||||||||||||||||||||||||||||||||||||||||||||||||||||||||||||||||||||||||||||||||||||||||||||||||||||||||||||||
|
Chapters 2, 3 - Financial Statements (not required)
|
|||||||||||||||||||||||||||||||||||||||||||||||||||||||||||||||||||||||||||||||||||||||||||||||||||||||||||||||||||||||||||||||||||||||||||||||||||||||||||||||||||||||||||||||||||||||||||||||||||||||||||||||||||||||||||||||||||||||||||||||||||||||||||||||||||||||||||||||||||||||||||||||||||||||||||||||||||||||||||||||||||||||||||||||||||||||||||||||||||||||||||||||||||||||||||||||||||||||||||||||||||||||||||||||||||||||||||||||||||||||||||||||||||||||||||||||||||||||||||||||||||||||||||||||||||||||||||||||||||||||||||||||||||||||||||||||||||||||||||||||||||||||||||||||||||||||||||||||||||||||||||||||||||||||||||||||||||||||||||||||||||||||||||||||||||||||||||||||||||||||||||||||||||||||||||||||||||||||||||||||||||||||||||||||||||||||||||||||||||||||||||||||||||||||||||||||||||||||||||||||||||||||||||||||||||||||||||||||||||||||||||||||||||||||||||||||||||||||||||||||||||||||||||||||||||||||||||||||||||||||||||||||||||||||||||||||||||||||||||||||||||||||||||||||||||||||||||||||||||||||
|
Cash Flow Statement Answer |
calculation for changes |
||
|
Cash at the beginning of the
year |
2060 |
||
|
Cash
from operation |
|||
|
net income |
3843 |
||
|
plus depreciation |
1760 |
||
|
-/+ AR |
-807 |
807 |
|
|
-/+ Inventory |
-3132 |
3132 |
|
|
+/- AP |
1134 |
1134 |
|
|
net change
in cash from operation |
2798 |
||
|
Cash
from investment |
|||
|
-/+ (NFA+depreciation) |
-1680 |
1680 |
|
|
net
change in cash from investment |
-1680 |
||
|
Cash
from finaning |
|||
|
+/- long term debt |
1700 |
1700 |
|
|
+/- common stock |
2500 |
2500 |
|
|
- dividend |
-6375 |
6375 |
|
|
net
change in cash from financing |
-2175 |
||
|
Total
net change of cash |
-1057 |
||
|
Cash
at the end of the year |
1003 |
||
************ What is Free Cash Flow **************
What is free cash flow (video)
What is free cash
flow (FCF)? Why is it important?
•
FCF is the amount of cash available from operations for
distribution to all investors (including stockholders and debtholders) after
making the necessary investments to support operations.
•
A company’s value depends on the amount of FCF it can generate.
What are the five
uses of FCF?
1. Pay interest on debt.
2. Pay back principal on debt.
3. Pay dividends.
4. Buy back stock.
5. Buy nonoperating assets (e.g.,
marketable securities, investments in other companies, etc.)

What
are operating current assets?
•
Operating current assets are the CA
needed to support operations.
•
Op CA include: cash, inventory,
receivables.
•
Op CA exclude: short-term investments,
because these are not a part of operations.
What
are operating current liabilities?
•
Operating current liabilities are the
CL resulting as a normal part of operations.
•
Op CL include: accounts payable and
accruals.
•
Op CL exclude: notes payable, because
this is a source of financing, not a part of operations.

Capital expenditure = increases in NFA +
depreciation
Or, capital expenditure = increases in GFA
Note: All companies, foreign and domestic,
are required to file registration statements, periodic reports, and other
forms electronically through EDGAR. https://www.sec.gov/edgar/searchedgar/companysearch.html
In class exercise
1. Firm AAA has EBIT (operating income) of $3 million, depreciation of $1 million. Firm AAA’s expenditures on fixed assets = $1 million. Its net operating working capital = $0.6 million. Calculate for free cash flow. Imagine that the tax rate =40%.
a. $1.2
b. $1.3
c. $1.4
d. $1.5
FCF = EBIT(1 – T) + Deprec. – (Capex + NOWC)
answer:
EBIT $3
Tax rate 40%
Depreciation $1
Capex + NOWC $1.60
So, FCF = $1.2
2. The following information should be used for the following problems:
2014 2015
Sales $ 740 $ 785
COGS 430 460
Interest 33 35
Dividends 16 17
Depreciation 250 210
Cash 70 75
Accounts receivables 563 502
Current liabilities 390 405
Inventory 662 640
Long term debt 340 410
Net fixed assets 1,680 1,413
Common stock 700 235
Tax rate 35% 35%
• What is the net income for 2015? ($52)
Ratio Analysis template
https://www.jufinance.com/ratio
Finviz.com/screener
for ratio analysis (https://finviz.com/screener.ashx)
Financial ratio analysis (VIDEO)