FIN 509 Class Web Page, Fall 2 semester' 24
The
Syllabus Grade
Calculator Overall
Grade Calculator Risk Tolerance Test (FYI)
Weekly SCHEDULE, LINKS, FILES and Questions
|
Week |
Coverage, HW, Supplements -
Required |
Equations and
Assignments |
|||||||||||||||||||||||||||||||||||||||||||||||||||||||||||||||||||||||||||||||||||||||||||||||||||||||||||||||||||||||||||||||||||||||||||||||||||||||||||||||||||||||||||||||||||||||||||||||||||||||||||||||||||||||||||||||||||||||||||||||||||||||||||||||||||||||||||||||||||||||||||||||||||||||||||||||||||||||||||||||||||||||||||||||||||||||||||||||||||||||||||||||||||||||||||||||||||||||||||||||||||||||||||||||||||||||||||||||||||||||||||||||||||||||||||||||||||||||||||||||||||||||||||||||||||||||||||||||||||||||||||||||||||||||||||||||||||||||||||||||||||||||||||||||||||||||||||||||||||||||||||||||||||||||||||||||||||||||||||||||||||||||||||||||||||||||||||||||||||||||||||||||||||||||||||||||||||||||||||||||||||||||||||||||||||||||||||||||||||||||||||||||||||||||||||||||||||||||||||||||||||||||||||
|
·
Weekly Thursday class url on
blackboard collaborate: On Blackboard under “Join Course Room” Or from here https://us.bbcollab.com/guest/a070558d332041888dd5772fefccc290 ·
Weekly
Q&A Session on Blackboard URL (on Saturday from 7 – 8 PM): https://us.bbcollab.com/guest/7ee6be25e06546949517ebf89ef980b5 Class Schedule:
|
|
||||||||||||||||||||||||||||||||||||||||||||||||||||||||||||||||||||||||||||||||||||||||||||||||||||||||||||||||||||||||||||||||||||||||||||||||||||||||||||||||||||||||||||||||||||||||||||||||||||||||||||||||||||||||||||||||||||||||||||||||||||||||||||||||||||||||||||||||||||||||||||||||||||||||||||||||||||||||||||||||||||||||||||||||||||||||||||||||||||||||||||||||||||||||||||||||||||||||||||||||||||||||||||||||||||||||||||||||||||||||||||||||||||||||||||||||||||||||||||||||||||||||||||||||||||||||||||||||||||||||||||||||||||||||||||||||||||||||||||||||||||||||||||||||||||||||||||||||||||||||||||||||||||||||||||||||||||||||||||||||||||||||||||||||||||||||||||||||||||||||||||||||||||||||||||||||||||||||||||||||||||||||||||||||||||||||||||||||||||||||||||||||||||||||||||||||||||||||||||||||||||||||||||
|
Week 0 |
Market
Watch Game Use the information and directions
below to join the game. 1.
URL for
your game: 2. Password for this private game: havefun 3. Click on the 'Join Now' button to get
started. 4. If you are an existing MarketWatch member, login. If you are a new user,
follow the link for a Free account - it's
easy! 5. Follow the instructions and start trading! ·
How To Win The MarketWatch
Stock Market Game (youtube) based on https://www.finviz.com
·
A shorting strategy based on finviz.com (FYI) https://www.jufinance.com/game/short_selling.html |
Pre-class assignment: Set up marketwatch.com account and have
fun |
|||||||||||||||||||||||||||||||||||||||||||||||||||||||||||||||||||||||||||||||||||||||||||||||||||||||||||||||||||||||||||||||||||||||||||||||||||||||||||||||||||||||||||||||||||||||||||||||||||||||||||||||||||||||||||||||||||||||||||||||||||||||||||||||||||||||||||||||||||||||||||||||||||||||||||||||||||||||||||||||||||||||||||||||||||||||||||||||||||||||||||||||||||||||||||||||||||||||||||||||||||||||||||||||||||||||||||||||||||||||||||||||||||||||||||||||||||||||||||||||||||||||||||||||||||||||||||||||||||||||||||||||||||||||||||||||||||||||||||||||||||||||||||||||||||||||||||||||||||||||||||||||||||||||||||||||||||||||||||||||||||||||||||||||||||||||||||||||||||||||||||||||||||||||||||||||||||||||||||||||||||||||||||||||||||||||||||||||||||||||||||||||||||||||||||||||||||||||||||||||||||||||||||
|
Week1,2 |
Chapter 5 Time value of money – Part
1 Chapter 5 In Class Exercise (Solution Word File)
The time value of money -
German Nande (youtube)
Concept of FV, PV,
Rate, Nper Calculation of FV, PV,
Rate, Nper Concept of interest
rate, compounding rate, discount rate
Present value – Future value – Demonstration
Game In class exercise (conceptual) Chapter 6 Time Value of Money – Part
2 Chapter 6 In Class Exercise (Chapter 6 In Class Exercise
Solution Word File) Concept of PMT, NPV Calculation of FV, PV,
Rate, Nper, PMT, NPV, NFV Concept of EAR, APR Calculation of EAR,
APR First Discussion Board Assignment (post your writing on blackboard under
discussion folder):
Market Watch Game
Let's start trading in the stock market!
Please join a game and report back on your experience. Directions 1.
URL for your game: 2.
Password for this private game: havefun. 3.
Click on the Join Now button to get started. 4.
Register for a new account with your email address or sign in if
you already have an account.
1.
Why did you choose the stock? How much money did you think you would
make? Please explain. 2.
Did you make money or lose money off of your chosen stock? Which
factors contributed to that? 3.
What did you learn from this experience and how will it affect your
choices in real life when choosing stocks? Instructions ·
Responses should be 100 to 250 words in length and should answer
all three prompts ·
Optional: reply to one of your peers with meaningful,
thought-provoking responses ·
Due by 7/11/2024 at 11:59
p.m. ET HOMEWORK of Chapters 5
and 6 (due by 11/3 ) 1. The Thailand
Co. is considering the purchase of some new equipment. The quote consists of
a quarterly payment of $4,740 for 10 years at 6.5 percent interest. What is
the purchase price of the equipment? ($138,617.88) 2. The condominium
at the beach that you want to buy costs $249,500. You plan to make a cash
down payment of 20 percent and finance the balance over 10 years at 6.75
percent. What will be the amount of your monthly mortgage payment? ($2,291.89) 4. Shannon wants
to have $10,000 in an investment account three years from now. The account
will pay 0.4 percent interest per month. If Shannon saves money every month,
starting one month from now, how much will she have to save each month?
($258.81)
(Hint: Bridget’s is an annuity due, so abs(fv(8%/12, 10*12, 150, 0,
1)) --- type =1; Jordan’s is an ordinary annuity, so abs(fv(8%/12, 10*12, 175, 0) --- type =0, or omitted. There is a
mistake in the help video for this question. Sorry for the mistake.) 14. What is the
future value of weekly payments of $25 for six years at 10 percent? ($10,673.90) 15. At the end of
this month, Bryan will start saving $80 a month for retirement through his
company's retirement plan. His employer will contribute an additional $.25
for every $1.00 that Bryan saves. If he is employed by this firm for 25 more
years and earns an average of 11 percent on his retirement savings, how much
will Bryan have in his retirement account 25 years from
now? ($157,613.33) 16. Sky
Investments offers an annuity due with semi-annual payments for 10 years at 7
percent interest. The annuity costs $90,000 today. What is the amount of each
annuity payment? ($6,118.35) 17. Mr. Jones
just won a lottery prize that will pay him $5,000 a year for thirty years. He
will receive the first payment today. If Mr. Jones can earn 5.5 percent on
his money, what are his winnings worth to him today? ($76,665.51) 18. You want to
save $75 a month for the next 15 years and hope to earn an average rate of
return of 14 percent. How much more will you have at the end of the 15 years
if you invest your money at the beginning of each month rather than the end
of each month? ($530.06) 19. What is the
effective annual rate of 10.5 percent compounded
semi-annually? (10.78%) 22. What is the
effective annual rate of 12.75 percent compounded daily? (13.60 percent) 23. Your
grandparents loaned you money at 0.5 percent interest per month. The APR on
this loan is _____ percent and the EAR is _____ percent. (6.00; 6.17) FYI only: help for homework Part 1(Qs
1-2) Part 2(Qs
4-8) Part 3(Qs 9-12) Part 4(Qs
13-16) Part 5(Qs
17-20) Part 6(Qs 21-24) (Q13: Bridget’s is an annuity
due, so abs(fv(8%/12, 10*12, 150, 0, 1)) --- type =1; Jordan’s is an ordinary
annuity, so abs(fv(8%/12, 10*12, 175, 0) --- type =0, or omitted. There is a mistake in the help
video for this question. Sorry for the mistake.) Quiz 1- Help Videos - Practice
Quiz |
Calculators Time
Value of Money Calculator © 2002 - 2019 by Mark A. Lane,
Ph.D. Math Formula FV = PV *(1+r)^n PV = FV /
((1+r)^n) N = ln(FV/PV)
/ ln(1+r) Rate = (FV/PV)1/n -1 Annuity: N
= ln(FV/C*r+1)/(ln(1+r)) Or N
= ln(1/(1-(PV/C)*r)))/ (ln(1+r))
EAR = (1+APR/m)^m-1 APR = (1+EAR)^(1/m)*m Excel Formulas To get FV, use FV
function. =abs(fv(rate, nper,
pmt, pv)) To get PV, use PV
function =
abs(pv(rate, nper, pmt, fv)) To get r, use
rate
function =
rate(nper, pmt, pv, -fv) To get number of
years,
use nper function = nper(rate, pmt, pv,
-fv) To get annuity
payment, use PMT
function = abs(pmt(rate, nper, pv,
-fv)) To get Effective
rate (EAR), use Effect
function =
effect(nominal_rate, npery) To get annual
percentage rate (APR), use nominal
function APR = nominal(effective rate, npery) To get NPV, use NPV function NPV = npv(rate, cf1, cf2,…) + cf0 |
|||||||||||||||||||||||||||||||||||||||||||||||||||||||||||||||||||||||||||||||||||||||||||||||||||||||||||||||||||||||||||||||||||||||||||||||||||||||||||||||||||||||||||||||||||||||||||||||||||||||||||||||||||||||||||||||||||||||||||||||||||||||||||||||||||||||||||||||||||||||||||||||||||||||||||||||||||||||||||||||||||||||||||||||||||||||||||||||||||||||||||||||||||||||||||||||||||||||||||||||||||||||||||||||||||||||||||||||||||||||||||||||||||||||||||||||||||||||||||||||||||||||||||||||||||||||||||||||||||||||||||||||||||||||||||||||||||||||||||||||||||||||||||||||||||||||||||||||||||||||||||||||||||||||||||||||||||||||||||||||||||||||||||||||||||||||||||||||||||||||||||||||||||||||||||||||||||||||||||||||||||||||||||||||||||||||||||||||||||||||||||||||||||||||||||||||||||||||||||||||||||||||||||
|
Week3 |
Chapter 7 Bond
Pricing Part I - Yield Curve Quiz Self-Produced
Video
https://www.ustreasuryyieldcurve.com/ US Treasuries Yield Curve - October 22, 2024 ·
Inverted Yield Curve: The curve starts high at
the short end, with a peak around 1-month maturity, and then declines,
hitting a low point at around 3 years. This is indicative of an inverted
yield curve, which often signals an impending
economic recession. ·
Steepening Beyond 10 Years: After the 10-year mark,
the curve starts to rise again, indicating investors expect higher returns
for longer maturities, possibly due to anticipated future inflation or uncertainty.
Or at https://www.gurufocus.com/yield_curve.php Current Treasury Yield Curve vs. prior years’
Summary: · Inflation:
·
Stock Market:
·
Economic Growth:
Part II – Bond Definition How
Bonds Work (video) For
discussion: https://jufinance.com/risk_tolerance.html
· Among the aforementioned bonds, do you
have a preference? If so, what factors influence your choice? Outlook for Investing in Bonds in
2024 After starting the year recommending that investors focus on
the middle of the yield curve, we began to advise investors to lengthen their
duration in our midyear bond
market update. According to our forecasts, we continue to
think investors will be best served in longer-duration bonds
and locking in the currently high interest rates. https://www.morningstar.com/markets/where-invest-bonds-2024 Where can you find bond information? · All types of bonds: https://www.finra.org/finra-data/fixed-income · Treasury Bond Auction and Market information http://www.treasurydirect.gov/ Are bonds Risky? Self-produced video Quiz Bond risk – credit risk (video)
The above graph shows the cash flow of a five year 5% coupon bond.
The bond has a duration of 4.49 years.
|
Bond Pricing Formula (FYI)
Bond Pricing Excel Formula Summary of
bond pricing excel functions To calculate bond price (annual coupon bond): Price=abs(pv(yield
to maturity, years left to maturity, coupon rate*1000, 1000) To calculate yield to maturity (annual coupon bond):: Yield
to maturity = rate(years left to maturity, coupon rate *1000, -price, 1000) To calculate bond price (semi-annual coupon bond): Price=abs(pv(yield
to maturity/2, years left to maturity*2, coupon rate*1000/2,
1000) To calculate yield to maturity (semi-annual coupon
bond): Yield
to maturity = rate(years left to maturity*2, coupon rate *1000/2,
-price, 1000)*2 To calculate number of years left(annual coupon bond) Number
of years =nper(yield to maturity, coupon rate*1000, -price, 1000) To calculate number of years left(semi-annual coupon bond) Number
of years =nper(yield to maturity/2, coupon rate*1000/2, -price,
1000)/2 To calculate coupon (annual coupon bond) Coupon
= pmt(yield to maturity, number of years left, -price, 1000) Coupon
rate = coupon / 1000 To calculate coupon (semi-annual coupon bond) Coupon
= pmt(yield to maturity/2, number of years left*2, -price, 1000)*2 Coupon
rate = coupon / 1000 |
|||||||||||||||||||||||||||||||||||||||||||||||||||||||||||||||||||||||||||||||||||||||||||||||||||||||||||||||||||||||||||||||||||||||||||||||||||||||||||||||||||||||||||||||||||||||||||||||||||||||||||||||||||||||||||||||||||||||||||||||||||||||||||||||||||||||||||||||||||||||||||||||||||||||||||||||||||||||||||||||||||||||||||||||||||||||||||||||||||||||||||||||||||||||||||||||||||||||||||||||||||||||||||||||||||||||||||||||||||||||||||||||||||||||||||||||||||||||||||||||||||||||||||||||||||||||||||||||||||||||||||||||||||||||||||||||||||||||||||||||||||||||||||||||||||||||||||||||||||||||||||||||||||||||||||||||||||||||||||||||||||||||||||||||||||||||||||||||||||||||||||||||||||||||||||||||||||||||||||||||||||||||||||||||||||||||||||||||||||||||||||||||||||||||||||||||||||||||||||||||||||||||||||
|
Week 4 |
Chapter 8 Stock
Valuation Part
I Dividend payout and Stock Valuation For class
discussion: · Why can we
use dividend to estimate a firm’s intrinsic value? · Are
future dividends predictable? Refer to the following table for WMT’s dividend history Wal-Mart Dividend History https://www.macrotrends.net/stocks/charts/WMT/walmart/dividend-yield-history
WMT Dividend History
https://www.nasdaq.com/market-activity/stocks/wmt/dividend-history Walmart Inc. Common Stock (WMT) Dividend
History
·
Ex-Dividend Date08/16/2024 ·
Dividend Yield1.01% ·
Annual Dividend$0.83 ·
P/E Ratio13.72
An Analysis based on Walmart's (WMT) Dividend Payout
Record from 2020 to 2024: ·
Annual Payouts and Trends:
· Recent Dividend
Leveling:
· Prospects and Stability:
https://www.nasdaq.com/market-activity/stocks/wmt/dividend-history
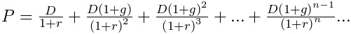
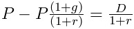
P₀ = Σ [Dₜ / (1 + r)ᵗ]
from t=1 to ∞ where:
Calculating
the present value of dividends, especially when assuming they extend to
infinity, can be challenging. To simplify, we can assume that dividends grow at a constant rate. Additionally,
we can use the discount rate 'r,' which is based on the Beta and Capital
Asset Pricing Model (CAPM) discussed in Chapter 13. By incorporating these
assumptions, we can streamline the calculation process for determining the
present value of dividends. For dividends that grow at a constant
rate, the Net Present Value (NPV) of dividends can be calculated as: P₀ = D₁ / (r -
g) where:
https://www.nasdaq.com/market-activity/stocks/wmt
What information does each item in the table convey or
represent? From
finviz.com https://finviz.com/quote.ashx?t=WMT
Part II: Constant Dividend
Growth-Dividend growth model Calculate
stock prices 1) Given next dividends and price Po= Po= Po= Po= …… where:
Refer to http://www.calculatinginvestor.com/2011/05/18/gordon-growth-model/ · Now let’s apply this Dividend
growth model in problem solving. Constant dividend
growth model calculator (www.jufinance.com/stock) Equations 1. Present
Value (P₀)
Formulas:
P₀ = D₁
/ (r - g) or P₀ = D₀
* (1 + g) / (r - g)
2. Required Rate of Return (r):
r = D₁ / P₀
+ g = D₀ * (1 + g) / P₀
+ g
3. Growth Rate (g):
g = r - D₁ / P₀
= r - D₀ * (1 + g) / P₀
4. Dividend Formulas (D₁ and D₀):
D₁ = P₀
* (r - g) and D₀ = P₀
* (r - g) / (1 + g) 5. Capital Gain Yield:
Capital Gain Yield = g = (P₁ - P₀) / P₀
P₁ = D₂
/ (r - g) 6. Dividend Yield:
Dividend Yield = r - g = D₁ / P₀ = D₀ * (1 + g) / P₀ 7. Future Dividends (D₁, D₂, D₃, …):
D₁ = D₀
* (1 + g), D₂ = D₁
* (1 + g), D₃ = D₂
* (1 + g), … Exercise: 1.
Consider the valuation of a common stock that
paid $1.00 dividend at the end of the last year and is expected to pay a cash
dividend in the future. Dividends are expected to grow at 10% and the
investors required rate of return is 17%. How much is the price? How much is
the dividend yield? Capital gain yield? 2. The
current market price of stock is $90 and the stock pays dividend of $3 (D1)
with a growth rate of 5%. What is the return of this stock? How much is the
dividend yield? Capital gain yield? Part III: Non-Constant Dividend
Growth Calculate
stock prices 1) Given next dividends and price Po= Po= Po= Po= …… Non-constant
dividend growth model Equations 1.
Market Price in Year (Pₙ):
When dividends start to grow at a constant rate from year : Pₙ = Dₙ₊₁ / (r - g) = Dₙ * (1 + g) / (r - g) where:
2.
Present Value in Year 0 (P₀):
The present value P0 of all future dividends
up to year is: P₀ = NPV(r, D₁, D₂, …, Dₙ + Pₙ) Or, equivalently: P₀ = D₁ / (1 + r) + D₂ / (1 +
r)² + … + (Dₙ
+ Pₙ) / (1 + r)ⁿ Calculator: Non-Constant Dividend Growth Calculator https://www.jufinance.com/dcf/ In class exercise for
non-constant dividend growth model 1.
You expect
AAA Corporation to generate the following free cash flows over the next five
years:
Since year 6, you estimate that AAA's free cash flows will
grow at 6% per year. WACC of AAA = 15% · Calculate the enterprise value for DM Corporation. · Assume that AAA has $500 million debt and 14 million shares
outstanding, calculate its stock price. Answer:
2. AAA pays no dividend
currently. However, you expect it pay an annual dividend of $0.56/share 2
years from now with a growth rate of 4% per year thereafter. Its equity cost
= 12%, then its stock price=? Answer:
Do=0 D1=0 D2=0.56 g=4%
after year 2 è
P2 = D3/(r-g), D3=D2*(1+4%) è
P2 = 0.56*(1+4%)/(12%-4%) = 7.28 r=12% Po=? Po =
NPV(12%, D1, D2+P2), D2 = 0.56, P2=7.28. SO Po = NPV(12%, 0,0.56+7.28) =
6.25 (Note: for non-constant growth
model, calculate price when dividends start to grow at the constant rate.
Then use NPV function using dividends in previous years, last dividend plus
price. Or use calculator at https://www.jufinance.com/dcf/
) 3. Required return =12%.
Do = $1.00, and the dividend will grow by 30% per year for the next 4
years. After t = 4, the dividend is
expected to grow at a constant rate of 6.34% per year forever. What is the stock price ($40)? Answer:
Do=1 D1 =
1*(1+30%) = 1.3 D2=
1.3*(1+30%) = 1.69 D3 =
1.69*(1+30%) = 2.197 D4 =
2.197*(1+30%) = 2.8561 D5 =
2.8561*(1+6.34%), g=6.34% P4 =
D5/(r-g) = 2.8561*(1+6.34%) /(12% - 6.34%) Po = NPV(12%, 1.3, 1.69, 2.197,
2.8561+2.8561*(1+6.34%)) /(12% - 6.34%)) = 40 Or use calculator at https://www.jufinance.com/dcf Part IV: How to pick stocks?
(FYI) ·
FINVIZ.com http://finviz.com/screener.ashx use screener
on finviz.com to narrow down your choices of stocks, such as PE<15,
PEG<1, ROE>30% ·
Mutual
Fund Selection Game https://www.jufinance.com/game/mutual_fund_selection.html ·
FYI ~ Step-by-Step Guide for
Screening Mutual Funds:
1. Open the Mutual Fund
Screener:
2. Choose Basic Search
Criteria:
Key
Criteria to Focus On:
3. Set Up a Simple Screen:
Step-by-Step Filters for the screener:
4. Run the Search:
5. Analyze the Results:
After you run the screen, a
list of funds will appear. Here's how to interpret the most important columns:
6. Key Points:
Example:
Let’s say you want to find a low-cost,
well-rated balanced fund:
Now, click Search,
and the results will show a list of funds that match this criteria. 7. Choosing a Fund:
After the search, click on a
fund’s name for more detailed information. You’ll see details like:
Additional Tips:
· Start
Simple: Focus on categories and ratings to avoid getting
overwhelmed by too many options. · Expense
Ratio: Always look at the fees! They can significantly impact
long-term returns. · Performance:
A fund’s historical performance isn’t
a guarantee of future returns, but it’s a useful
indicator. Part V: Behavior Finance (FYI) Understanding
behavioral finance is essential because it explains how psychological biases
and emotions influence investors' decisions, often leading to irrational market
behavior. By recognizing these tendencies, investors and analysts can make
more informed choices, avoid common pitfalls, and better anticipate market
trends driven by human behavior. Anchoring Game Self-produced Video • Test
yourself first: A
stock price jumps to $40 from $20 but it suddenly dropped back to $20. Shall
you buy the stock or not? • The
concept of anchoring draws on the tendency to attach or "anchor"
our thoughts to a reference point - even though it may have no logical
relevance to the decision at hand. • Avoiding Anchoring – Be
especially careful about which figures you use to evaluate a stock's
potential. – Don't
base decisions on benchmarks – Evaluate
each company from a variety of perspectives to derive the truest picture of
the investment landscape. Mental
Accounting Self-produced Video • Test
yourself – Shall
you payoff your credit card debt or start saving for a vocation? – How
do you spend your tax refund? • Mental
Accounting refers to the tendency for people to separate their money into
separate accounts based on a variety of subjective criteria, like the source
of the money and intent for each account. Example: People
have a special "money jar" set aside for a vacation while still
carrying credit card debt. Confirmation Bias Self-produced video • Confirmation
bias: First impression can be hard to shake – people
selectively filter information that supports their opinion – People
ignore the rest opinions. – In
investing, people look for information that supports original idea • Generate
faulty decision making because of the bias Example: investor finds all
sorts of green flags about the investment (such as growing cash flow or a low
debt/equity ratio), while glossing over financially disastrous red flags,
such as loss of critical customers or dwindling markets. Herding Game Self-produced video – Example:
Dotcom herd – The
tendency for individuals to mimic the actions of a larger group. • Social
pressure of conformity is one of the causes. – This
is because most people are very sociable and have a natural desire to be
accepted by a group • The
second reason is the common rationale that a large group could not be
wrong. – This
is especially prevalent when an individual has very little experience. Overconfidence: • Confidence
implies realistically trusting in one's abilities • Overconfidence
implies an overly optimistic assessment of one's knowledge or control over a
situation. Disposition
effect Game Self-produced Video – which
is the tendency for investors to hold on to losing stocks for too long and
sell winning stocks too soon. » The
most logical course of action would be to hold on to winning stocks to
further gains and to sell losing stocks to prevent escalating losses. » investors
are willing to assume a higher level of risk in order to avoid the negative
utility of a prospective loss. » Unfortunately,
many of the losing stocks never recover, and the losses incurred continued to
mount . Avoiding the Disposition Effect • When you have a
choice of thinking of one large gain or a number of smaller gains (such as
finding $100 versus finding a $50 bill from two places), thinking of the
latter can maximize the amount of positive utility. • When you have a
choice of thinking of one large loss or a number of smaller losses (losing
$100 versus losing $50 twice), think of one large loss would create less
negative utility. • When you can
think of one large gain with a smaller loss or a situation where you net the
two to create a smaller gain ($100 and -$55, versus +$45), you would receive
more positive utility from the smaller gain. • When you can
think of one large loss with a smaller gain or a smaller loss (-$100 and
+$55, versus -$45), try to separate losses from gains. Gambler’s
fallacy Game Self-produced Video – An
individual erroneously believes that the onset of a certain random event is less
likely to happen following an event or a series of events. Example: • Example: – You
liquidate a position after it has gone up in several days. – You
hold on to a stock that has fallen in several days because you view further
declines as "improbable". • Avoiding
Gambler's Fallacy – Investors
should base decisions on fundamental or technical analysis before
determining what will happen. It is irrational to buy a
stock because you believe it is likely to reverse. 12 Cognitive Biases Explained - How to Think Better and More Logically
Removing Bias (video, FYI)
0:18 Anchoring Bias 1:22 Availability
Bias 2:22 Bandwagon Effect
3:09 Choice
Supportive Bias 3:50 Confirmation
Bias 4:30 Ostrich Bias 5:20 Outcome Bias 6:12 Overconfidence 6:52 Placebo Effect 7:44 Survivorship
Bias 8:32 Selective
Perception 9:08 Blindspot Bias Part VI: Practice (FYI) Play the stock market investment game. Make
investment decision and balance risk with rewards in the stock market at https://www.jufinance.com/game/investment/index.html
HOMEWORK (Due with final) 1. Northern
Gas recently paid a $2.80 annual dividend on its common stock. This dividend
increases at an average rate of 3.8 percent per year. The stock is currently
selling for $26.91 a share. What is the market rate of return? (14.60
percent) 5.
Investors of
Creamy Custard common stock earns 15% of return. It just paid a
dividend of $6.00 and dividends are expected to grow at a rate of 6%
indefinitely. What is expected price of Creamy Custard's stock? ($70.67) Homework Video of this
week Homework help video
(FYI) Quiz 3- Help Video Quiz 3
Practice Part I Part II Part III Part IV
|
P/E Ratio Summary by
industry (FYI) --- Thanks to Dr Damodaran Data Used: Multiple data services Date of Analysis: Data used is as of January 2021 Download as an excel file instead: http://www.stern.nyu.edu/~adamodar/pc/datasets/pedata.xls For global datasets: http://www.stern.nyu.edu/~adamodar/New_Home_Page/data.html
Details
about how to derive the model mathematically (FYI) The Gordon growth model is a simple discounted cash flow (DCF)
model which can be used to value a stock, mutual fund, or even the entire
stock market. The model is named after Myron Gordon who first published
the model in 1959. The Gordon model assumes that a financial security
pays a periodic dividend (D) which grows at a constant rate
(g). These growing dividend payments are assumed to continue forever.
The future dividend payments are discounted at the required rate of return
(r) to find the price (P) for the stock or fund. Under these simple assumptions, the price of the
security is given by this equation:
In this equation, I’ve used the “0” subscript
on the price (P) and the “1” subscript on the dividend (D) to
indicate that the price is calculated at time zero and the dividend is the
expected dividend at the end of period one. However, the equation is
commonly written with these subscripts omitted. Obviously, the assumptions built into this
model are overly simplistic for many real-world valuation problems. Many
companies pay no dividends, and, for those that do, we may expect
changing payout ratios or growth rates as the business matures. Despite
these limitations, I believe spending some time experimenting with the
Gordon model can help develop intuition about the relationship between
valuation and return. Deriving the Gordon Growth Model Equation
The Gordon growth model calculates the present value of
the security by summing an infinite series of discounted dividend payments
which follows the pattern shown here:
Multiplying both sides of the previous equation by
(1+g)/(1+r) gives:
We can then subtract the second equation from the first
equation to get:
Rearranging and simplifying:
Finally,
we can simplify further to get the Gordon growth model equation |
|||||||||||||||||||||||||||||||||||||||||||||||||||||||||||||||||||||||||||||||||||||||||||||||||||||||||||||||||||||||||||||||||||||||||||||||||||||||||||||||||||||||||||||||||||||||||||||||||||||||||||||||||||||||||||||||||||||||||||||||||||||||||||||||||||||||||||||||||||||||||||||||||||||||||||||||||||||||||||||||||||||||||||||||||||||||||||||||||||||||||||||||||||||||||||||||||||||||||||||||||||||||||||||||||||||||||||||||||||||||||||||||||||||||||||||||||||||||||||||||||||||||||||||||||||||||||||||||||||||||||||||||||||||||||||||||||||||||||||||||||||||||||||||||||||||||||||||||||||||||||||||||||||||||||||||||||||||||||||||||||||||||||||||||||||||||||||||||||||||||||||||||||||||||||||||||||||||||||||||||||||||||||||||||||||||||||||||||||||||||||||||||||||||||||||||||||||||||||||||||||||||||||||
|
Chapter 9 Capital Budgeting Self-produced video explaining
approaches for capital budgeting
1. NPV Excel syntax Syntax NPV(rate,value1,value2, ...) Rate is the rate of discount over
the length of one period. Value1, value2,
... are 1 to
29 arguments representing the payments and income. · Value1, value2, ... must be equally spaced in
time and occur at the end of each period. NPV uses the
order of value1, value2, ... to interpret the order of cash flows.
Be sure to enter your payment and income values in the correct sequence. 2. IRR Excel syntax Syntax IRR(values, guess) Values is an array or a reference to cells
that contain numbers for which you want to calculate the internal rate of
return. Guess is a number that you guess is
close to the result of IRR.
Or, PI =
NPV / CFo +1 Profitable
index (PI) =1 + NPV / absolute value of CFo 3. MIRR( values, finance_rate, reinvest_rate ) Where
the function arguments are as follows:
Modified Rate of Return:
Definition & Example (video)
https://study.com/academy/lesson/modified-rate-of-return-definition-example.html NPV, IRR, Payback Period calculator I NPV, IRR, Payback Period calculator II
Excel Template - NPV, IRR, MIRR, PI, Payback,
Discounted payback NPV
Profile in Excel Demonstration (Video, FYI) In class exercise Part I: Single project 1.
How much is MIRR? IRR? Payback period?
Discounted payback period? NPV? WACC: 11.00% Year 0 1 2 3 Cash
flows -$800 $350 $350 $350 Answer: 1)
NPV: NPV = -800 + 350/(1+11%) +
350/(1+11%)2 + 350/(1+11%)3 = 55.30 Or in excel: = npv(11%, 350, 350, 350)-800 = 55.30 2)
IRR:
So NPV = 0 = -800 +
350/(1+IRR) + 350/(1+IRR)2 + 350/(1+IRR)3 , use Solver,
can get IRR = 14.93% Or in excel:
3)
PI: profitable index
SO, PI= (350/(1+11%) + 350/(1+11%)2 + 350/(1+11%)3
) / 800 = 1.069 Or PI = NPV/800 + 1 = 55.30/800 + 1 = 1.069 4)
Payback period:
A portion of the third year = (800-350-350)/350 = 100/350 =
0.2857 So it takes 2 + 0.2857 = 2.2857 years to pay off the debt of
$800. 5)
Discounted payback period:
Note: All the cash flows in the above equation should be the
present values. A portion of the third year = (800-318.18-289.26)/262.96 =
0.72 So it takes 2 + 0.72 = 2.72 years to pay off the debt of $800.
A portion of the third year = (800-315.32-289.26)/262.96 = 0.72 So it takes 2 + 0.72 = 2.72 years to pay off the debt of $800. Or use the calculator at https://www.jufinance.com/capital/ Part
II: Multi-Projects 1.
Projects S and L, whose cash flows are
shown below. These projects are
mutually exclusive, equally risky, and not repeatable. The CEO believes the IRR is the best
selection criterion, while the CFO advocates the NPV. If the decision is made by choosing the
project with the higher IRR rather than the one with the higher NPV, how
much, if any, value will be forgone, i.e., what's the chosen NPV versus the
maximum possible NPV? Note that (1) “true value” is measured by NPV,
and (2) under some conditions the choice of IRR vs. NPV will have no effect
on the value gained or lost. WACC: 7.50% Year 0 1 2 3 4 CFS -$1,100 $550 $600 $100 $100 CFL -$2,700 $650 $725 $800 $1,400 Answer:
If the required rate of return is 10%. Which
project shall you choose? 1) How
much is the cross over rate? (answer: 11.8%) 2) How
is your decision if the required rate of return is 13%? (answer: NPV of
B>NPV of A) · Rule for mutually exclusive projects: (answer:
Choose B) · What about the two projects are
independent? (answer: Choose both) Solution:
Part III More on IRR – (non-conventional cash flow) Suppose an investment will
cost $90,000 initially and will generate the following cash flows: – Year 1: 132,000 – Year 2: 100,000 – Year 3: -150,000 The required return is 15%.
Should we accept or reject the project? 1) How does the
NPV profile look like? (Answer: Inverted NPV profile) 2) IRR1= 10.11% --
answer 3) IRR2= 42.66% --
answer Solution:
Summary
HOMEWORK(Due with final)
Year Cash
flows 1 $8,000 2 4,000 3 3,000 4 5,000 5 10,000 1) How much is the payback
period (approach one)? ---- 4 years 2) If the firm has a 10%
required rate of return. How much is NPV (approach 2)?-- $2456.74 3) If the firm has a 10%
required rate of return. How much is IRR (approach 3)? ---- 14.55% 4) If the firm has a 10%
required rate of return. How much is PI (approach 4)? ---- 1.12 Question 2: Project with an initial cash
outlay of $60,000 with following free cash flows for 5 years. Year FCF Initial
outlay –60,000 1 25,000 2 24,000 3 13,000 4 12,000 5 11,000 The firm has a 15% required
rate of return. Calculate payback period, NPV,
IRR and PI. Analyze your results. Question 3: Mutually Exclusive Projects 1) Consider the following
cash flows for one-year Project A and B, with required rates of return of
10%. You have limited capital and can invest in one but one project. Which
one? § Initial Outlay: A = -$200; B = -$1,500 § Inflow: A
= $300; B = $1,900 2) Example: Consider two projects,
A and B, with initial outlay of $1,000, cost of capital of 10%, and following
cash flows in years 1, 2, and 3: A:
$100 $200 $2,000 B:
$650 $650 $650 Which project should you choose if they are mutually
exclusive? Independent? Crossover rate? (mutually exclusive: A’s NPV=758.83 >
B’s NPV = 616.45, so choose A; Independent, choose
all positive NPV, so choose both; Crossover rate = 21.01%. The calculator does not work. Use IRR
in Excel) Quiz 4- chapter 9 – (no
video prepared; Could use the calculator) Homework help videos (chapter 9) |
Simple
Rules’ for Running a Business
From the 20-page cellphone contract to the five-pound employee
handbook, even the simple things seem to be getting more complicated. Companies have been complicating things for themselves, too—analyzing hundreds of factors when making decisions, or
consulting reams of data to resolve every budget dilemma. But those
requirements might be wasting time and muddling priorities. So argues Donald Sull,
a lecturer at the Sloan School of Management at the Massachusetts Institute
of Technology who has also worked for McKinsey & Co. and Clayton, Dubilier & Rice LLC. In the book Simple
Rules: How to Thrive in a Complex World, out this week from Houghton
Mifflin Harcourt HMHC -1.36%,
he and Kathleen Eisenhardt of Stanford University claim that straightforward
guidelines lead to better results than complex formulas. Mr. Sull recently spoke with At Work about
what companies can do to simplify, and why five basic rules can beat a
50-item checklist. Edited excerpts: WSJ: Where, in the business context,
might “simple
rules” help
more than a complicated approach? Donald Sull: Well, a common decision that people face in organizations is
capital allocation. In many organizations, there will be thick procedure
books or algorithms–one company I worked with had an
algorithm that had almost 100 variables for every project. These are very
cumbersome approaches to making decisions and can waste time. Basically, any
decision about how to focus resources—either people
or money or attention—can benefit from simple rules. WSJ: Can you give an example of
how that simplification works in a company? Sull: There’s
a German company called Weima GmBH that makes shredders. At one point,
they were getting about 10,000 requests and could only fill about a thousand
because of technical capabilities, so they had this massive problem of
sorting out which of these proposals to pursue. They had a very detailed checklist with 40 or 50 items. People
had to gather data and if there were gray areas the proposal would go to
management. But because the data was hard to obtain and there were so many
different pieces, people didn’t always fill out the checklists completely. Then
management had to discuss a lot of these proposals personally because there
was incomplete data. So top management is spending a disproportionate amount
of time discussing this low-level stuff. Then Weima came up with guidelines that the
frontline sales force and engineers could use to quickly decide whether a
request fell in the “yes,” “no” or “maybe” category. They did it with five
rules only, stuff like “Weima had to
collect at least 70% of the price before the unit leaves the factory.” After that, only the “maybes” were sent to management. This dramatically
decreased the amount of time management spend evaluating these projects–that time was decreased by almost a factor of 10. Or, take Frontier Dental Laboratories in Canada. They were
working with a sales force of two covering the entire North American market.
Limiting their sales guidelines to a few factors that made someone likely to
be receptive to Frontier—stuff like “dentists
who have their own practice” and “dentists
with a website”—helped focus their efforts and
increase sales 42% in a declining market. WSJ: Weima used five factors—is
that the optimal number? And how do you choose which rules to follow? Sull: You should have four to six
rules. Any more than that, you’ll spend too much time trying to follow
everything perfectly. The entire reason simple rules help is because they
force you to prioritize the goals that matter. They’re
easy to remember, they don’t confuse or stress you,
they save time. They should be tailored to your specific goals, so you choose
the rules based on what exactly you’re trying to
achieve. And you should of course talk to others. Get information from
different sources, and ask them for the top things that worked for them. But
focus on whether what will work for you and your circumstances. WSJ: Is there a business leader
you can point to who has embraced the “simple rules” guideline? Donald Sull: Let’s look at when Alex Behring took
over America
Latina Logistica SARUMO3.BR +1.59%,
the Brazilian railway and logistics company. With a budget of $15 million,
how do you choose among $200 million of investment requests, all of which are
valid? The textbook business-school answer to this is that you run the
NPV (net present value) test on each project and rank-order them by NPV. Alex
Behring knows this. He was at the top of the class at Harvard Business School. But instead Similarly, the global-health arm of the Gates Foundation gets
many, many funding requests. But since they know that their goal is to have
the most impact worldwide, they focus on projects in developing countries
because that’s where the money will stretch farther. |
||||||||||||||||||||||||||||||||||||||||||||||||||||||||||||||||||||||||||||||||||||||||||||||||||||||||||||||||||||||||||||||||||||||||||||||||||||||||||||||||||||||||||||||||||||||||||||||||||||||||||||||||||||||||||||||||||||||||||||||||||||||||||||||||||||||||||||||||||||||||||||||||||||||||||||||||||||||||||||||||||||||||||||||||||||||||||||||||||||||||||||||||||||||||||||||||||||||||||||||||||||||||||||||||||||||||||||||||||||||||||||||||||||||||||||||||||||||||||||||||||||||||||||||||||||||||||||||||||||||||||||||||||||||||||||||||||||||||||||||||||||||||||||||||||||||||||||||||||||||||||||||||||||||||||||||||||||||||||||||||||||||||||||||||||||||||||||||||||||||||||||||||||||||||||||||||||||||||||||||||||||||||||||||||||||||||||||||||||||||||||||||||||||||||||||||||||||||||||||||||||||||||||||
|
Week 4 - Chapter 14 Cost of Capital Self-Produced
Video Explaining WACC and WACC Strategies for Different Industries
One option (if beta is given, refer to chapter 13)
Another option (if dividend is given):
WACC Formula
WACC calculator (annual
coupon bond) (www.jufinance.com/wacc)
WACC calculator (semi-annual coupon bond) (www.jufinance.com/wacc_1)
WACC Calculator help
videos FYI
Weighted Average Cost of Capital (WACC) WACC
is the discount rate used to evaluate project values. Formula:
WACC = (Wd * Cost of Debt) + (We * Cost of Equity) Where:
Cost of Debt Formula: Definitions:
Cost of Equity Two
methods are available depending on the information provided:
Definitions:
Definitions:
In Class Exercise: A firm borrows money from bond market. The price they paid is $950 for the bond with 5% coupon rate and 10 years to mature. Flotation cost is $40. For the new stocks, the expected dividend is $2 with a growth rate of 10% and price of $40. The flotation cost is $4. The company raises capital in equal proportions i.e. 50% debt and 50% equity (such as total $1m raised and half million is from debt market and the other half million is from stock market). Tax rate 34%. What is WACC (weighted average cost of capital, cost of capital)? (Answer: 9.84%) 1) Why does the firm raise capital from the financial market? Is there of any costs of doing so? What do you think? 2) What is cost of debt? (Kd = rate(nper, coupon, -(price – flotation costs $)), 1000)*(1-tax rate)) 3) Cost of equity? (Ke = (D1/(Price – flotation costs $)) +g, or Ke = Rrf + Beta*MRP)) Why no tax adjustment like cost of debt? 4) WACC=Cost of capital = Percentage of Debt * cost of debt + percentage of stock * cost of stock = Wd*Kd + We* Ke Meaning: For a dollar raised in the capital market from debt holders and stockholders, the cost is WACC. Solution: Cost
of debt = rate(10, 50, -(950-40), 1000)*(1-34%) Cost
of/equity = 2/(40-4)+10% WACC
= 0.5*cost of debt + 0.5*cost of equity
https://www.jufinance.com/wacc/ No
homework for chapter 14 |
(both annual and
semi-annual) WACC calculator (annual coupon bond) WACC calculator (semi-annual coupon
bond) (www.jufinance.com/wacc_1) Wal-Mart
Inc (NYSE:WMT) WACC %: 7.62%
As of 11/4/2024 As of today (2024-11-4), Walmart's
weighted average cost of capital is 7.62%. Walmart's ROIC % is 11.51% (calculated using TTM income
statement data). Walmart generates higher returns on investment than it costs
the company to raise the capital needed for that investment. It is earning
excess returns. A firm that expects to continue generating positive excess
returns on new investments in the future will see its value increase as
growth increases.https://www.gurufocus.com/term/wacc/WMT/WACC/Walmart%2BInc
Amazon.com
Inc (NAS:AMZN) WACC %:11.77% As of 11/4/2024 As of today (2024-11/4) Amazon.com's weighted average cost of capital is 11.77%. Amazon.com's ROIC % is 13.05% (calculated using TTM income statement data). Amazon.com generates higher returns on investment than it costs the company to raise the capital needed for that investment. It is earning excess returns. A firm that expects to continue generating positive excess returns on new investments in the future will see its value increase as growth increases. https://www.gurufocus.com/term/wacc/AMZN/WACC-Percentage/Amazon.com%20Inc Apple
Inc (NAS:AAPL) WACC %:11.17%
As of 11/4/2024 As of today (2024-11/4), Apple's
weighted average cost of capital is 11.17%. Apple's ROIC % is 31.92% (calculated
using TTM income statement data). Apple generates higher returns on
investment than it costs the company to raise the capital needed for that
investment. It is earning excess returns. A firm that expects to continue
generating positive excess returns on new investments in the future will see
its value increase as growth increases..https://www.gurufocus.com/term/wacc/AAPL/WACC/Apple%2Binc
Tesla WACC %: 15.32% As of 11/4/2024
As of today (2024-11-4), Tesla's weighted average cost of capital is 15.32%. Tesla's ROIC % is 18.67% (calculated using TTM income statement data). Tesla earns returns that do not match up to its cost of capital. It will destroy value as it grows. https://www.gurufocus.com/term/wacc/NAS:TSLA/WACC-/Tesla
NVIDIA (NAS:NVDA) WACC %: 18.89% As of 11/4/2024
As of today (2024-11/4), NVDIA's weighted average cost of capital is 18.89%. NVDIA's ROIC % is 162.59%. (calculated using TTM income statement data). Tesla earns returns that do not match up to its cost of capital. It will destroy value as it grows. https://www.gurufocus.com/term/wacc/NVDA/WACC-Percentage/NVDA
Cost of Capital by
Sector (US) Date of Analysis: Data used is as of January 2024 Download as an excel file instead: https://www.stern.nyu.edu/~adamodar/pc/datasets/wacc.xls For global datasets: https://www.stern.nyu.edu/~adamodar/New_Home_Page/data.html
http://people.stern.nyu.edu/adamodar/New_Home_Page/datafile/wacc.htm |
||||||||||||||||||||||||||||||||||||||||||||||||||||||||||||||||||||||||||||||||||||||||||||||||||||||||||||||||||||||||||||||||||||||||||||||||||||||||||||||||||||||||||||||||||||||||||||||||||||||||||||||||||||||||||||||||||||||||||||||||||||||||||||||||||||||||||||||||||||||||||||||||||||||||||||||||||||||||||||||||||||||||||||||||||||||||||||||||||||||||||||||||||||||||||||||||||||||||||||||||||||||||||||||||||||||||||||||||||||||||||||||||||||||||||||||||||||||||||||||||||||||||||||||||||||||||||||||||||||||||||||||||||||||||||||||||||||||||||||||||||||||||||||||||||||||||||||||||||||||||||||||||||||||||||||||||||||||||||||||||||||||||||||||||||||||||||||||||||||||||||||||||||||||||||||||||||||||||||||||||||||||||||||||||||||||||||||||||||||||||||||||||||||||||||||||||||||||||||||||||||||||||||||
|
Week
6 - Chapter 13 Risk
and Return Equations (FYI): 1. Expected return and
standard deviation Given a probability distribution of
returns, the expected return can be calculated using the following equation:
where
https://www.zenwealth.com/businessfinanceonline/RR/ExpectedReturn.html Given an asset's expected return,
its variance can be calculated using the following equation:
where
The standard deviation is calculated
as the positive square root of the variance.
https://www.zenwealth.com/businessfinanceonline/RR/MeasuresOfRisk.html Exercise: Stock A has the following returns for various states of the
economy:
Stock A's expected return is?
Standard deviation? Solution:
· Expected return = 10%*(-30%)) + 20%*(-2%) + 40% *10% + 20%*18%
+ 10%*40% = 8.2% · Standard deviation = sqrt(10%*(-30%-8.2%)2 +
20%*(-2%-8.2%)2 +40%*(10%-8.2%)2 + 20%*(18%-8.2%)2
+10%*(40%-8.2%)2) = 16.98% Or, https://www.jufinance.com/return/
W1 and W2 are the percentage of each stock in the
portfolio.
Exercise: Stocks A and B have the following returns for various states of
the economy:
Solution: (or use calculator
at https://www.jufinance.com/return/) Stock 1: · Expected return = 10%*(-30%)) + 20%*(-2%) + 40%
*10% + 20%*18% + 10%*40% = 8.2% · Standard deviation = sqrt(10%*(-30%-8.2%)2
+ 20%*(-2%-8.2%)2 +40%*(10%-8.2%)2 + 20%*(18%-8.2%)2
+10%*(40%-8.2%)2) = 16.98% Stock 2: · Expected return = 10%*(10%)) + 20%*(2%) + 40% *1%
+ 20%*2% + 10%*(-5)% = 1.7% · Standard deviation = sqrt(10%*(10%-1.7%)2
+ 20%*(2%-1.7%)2 +40%*(1%-1.7%)2 + 20%*(2%-1.7%)2
+10%*((-5)%-1.7%)2) = 3.41% Covariance: · Covariance =
10%*(-30%-8.2%)*(10%-1.7%)+20%*(-2%-8.2%)*(2%-1.7%)+40%*(10%-8.2%)*(1%-1.7%)+20%*(18%-8.2%)*(2%-1.7%)+10%*(40%-8.2%)*((-5%)-1.7%)
= -0.54% Correlation: · Correlation = -0.54%/(16.98%* 3.41%) = -0.93
]3..
Historical returns Holding period return (HPR) =
(Selling price – Purchasing price + dividend)/ Purchasing price 4. CAPM (Capital Asset
Pricing Model) model · What is Beta? Where to find Beta?
Beta
is a measurement of a stock's price fluctuations, which is often called
volatility, and is used by investors to gauge how quickly a stock's price
will rise or fall. Because beta is calculated from past returns, it's not
considered as reliable a tool to forecast rises in stock prices, and it is
more commonly used by options traders. Beta compares the changes in a
company's stock returns against the returns of the market as a whole. Online
brokerages give investors extensive data on a stock's beta value, and some
free financial news websites also show current beta measurements. · What
Is the Capital Asset Pricing Model?
The Capital Asset Pricing Model (CAPM)
describes the relationship between systematic risk and expected
return for assets, particularly stocks. CAPM is widely used throughout
finance for pricing risky securities and generating expected returns
for assets given the risk of those assets and cost of capital. Ri = Rf + βi *( Rm -
Rf) ------ CAPM model · Ri =
Expected return of investment ·
Rf = Risk-free rate ·
βi = Beta of the investment ·
Rm = Expected return of market ·
(Rm - Rf)
= Market risk premium Investors expect to be compensated for risk and the time
value of money. The risk-free rate in the CAPM formula accounts for
the time value of money. The other components of the CAPM formula account for
the investor taking on additional risk. The beta of a potential investment is a
measure of how much risk the investment will add to a portfolio that looks
like the market. If a stock is riskier than the market, it will have a beta
greater than one. If a stock has a beta of less than one, the formula assumes
it will reduce the risk of a portfolio. A stock’s beta is then multiplied by
the market risk premium, which is the return expected from the market
above the risk-free rate. The risk-free rate is then added to the product of
the stock’s beta and the market risk premium.
The result should give an investor the required
return or discount rate they can use to find the value of an
asset. The goal of the CAPM formula is to evaluate whether a stock is
fairly valued when its risk and the time value of money are compared to its
expected return. For example, imagine an investor is
contemplating a stock worth $100 per share today that pays a 3% annual
dividend. The stock has a beta compared to the market of 1.3, which means it
is riskier than a market portfolio. Also, assume that the risk-free rate is
3% and this investor expects the market to rise in value by 8% per year. The expected return of the stock based on the CAPM formula is
9.5%. The expected return of the CAPM formula is used to discount
the expected dividends and capital appreciation of the stock over the
expected holding period. If the discounted value of those future cash flows
is equal to $100 then the CAPM formula indicates the stock is fairly valued
relative to risk. (https://www.investopedia.com/terms/c/capm.asp) · SML – Security Market Line
In Class Exercise (NVIDIA, WalMart, JP Morgan -
Monthly Stock
prices – prior 5 years) Here's how to pull monthly
stock data in Google Sheets for free
using the Step 1: Use
|
How
much does Amazon worth?” --- FYI only: Amazon.com Inc. (AMZN) https://www.stock-analysis-on.net/NASDAQ/Company/Amazoncom-Inc/DCF/Present-Value-of-FCFF
Present Value of Free Cash Flow to the Firm
(FCFF)
In discounted cash flow (DCF) valuation techniques the
value of the stock is estimated based upon present value of some measure of
cash flow. Free cash flow to the firm (FCFF) is generally described as cash
flows after direct costs and before any payments to capital suppliers.
Intrinsic Stock
Value (Valuation Summary)
Amazon.com Inc., free cash flow to the
firm (FCFF) forecast
1 Weighted Average
Cost of Capital (WACC)
Amazon.com Inc., cost of capital
1 USD $ in millions Equity (fair value) = No. shares of
common stock outstanding × Current share price Debt (fair value). See Details » 2 Required rate of return on equity is estimated by
using CAPM. See Details » Required rate of return on
debt. See Details » Required rate of return on debt
is after tax. Estimated (average) effective
income tax rate WACC = 16.17% FCFF Growth Rate
(g)
FCFF growth rate
(g) implied by PRAT model
Amazon.com Inc., PRAT model
2017 Calculations 2 Interest expense, after tax = Interest expense ×
(1 – EITR) 3 EBIT(1 – EITR) = Net income (loss) + Interest
expense, after tax 4 RR = [EBIT(1 – EITR) – Interest expense (after
tax) and dividends] ÷ EBIT(1 – EITR) 5 ROIC = 100 × EBIT(1 – EITR) ÷ Total capital 6 g = RR × ROIC FCFF growth rate
(g) forecast
Amazon.com Inc., H-model
where: Calculations g2 = g1 + (g5 – g1) × (2 – 1) ÷ (5 – 1) g3 = g1 + (g5 – g1) × (3 – 1) ÷ (5 – 1) g4 = g1 + (g5 – g1) × (4 – 1) ÷ (5 – 1) |
||||||||||||||||||||||||||||||||||||||||||||||||||||||||||||||||||||||||||||||||||||||||||||||||||||||||||||||||||||||||||||||||||||||||||||||||||||||||||||||||||||||||||||||||||||||||||||||||||||||||||||||||||||||||||||||||||||||||||||||||||||||||||||||||||||||||||||||||||||||||||||||||||||||||||||||||||||||||||||||||||||||||||||||||||||||||||||||||||||||||||||||||||||||||||||||||||||||||||||||||||||||||||||||||||||||||||||||||||||||||||||||||||||||||||||||||||||||||||||||||||||||||||||||||||||||||||||||||||||||||||||||||||||||||||||||||||||||||||||||||||||||||||||||||||||||||||||||||||||||||||||||||||||||||||||||||||||||||||||||||||||||||||||||||||||||||||||||||||||||||||||||||||||||||||||||||||||||||||||||||||||||||||||||||||||||||||||||||||||||||||||||||||||||||||||||||||||||||||||||||||||||||||||
|
Week7 part I |
Final Exam (will be posted on blackboard) Final prep video (on youtube) |
||||||||||||||||||||||||||||||||||||||||||||||||||||||||||||||||||||||||||||||||||||||||||||||||||||||||||||||||||||||||||||||||||||||||||||||||||||||||||||||||||||||||||||||||||||||||||||||||||||||||||||||||||||||||||||||||||||||||||||||||||||||||||||||||||||||||||||||||||||||||||||||||||||||||||||||||||||||||||||||||||||||||||||||||||||||||||||||||||||||||||||||||||||||||||||||||||||||||||||||||||||||||||||||||||||||||||||||||||||||||||||||||||||||||||||||||||||||||||||||||||||||||||||||||||||||||||||||||||||||||||||||||||||||||||||||||||||||||||||||||||||||||||||||||||||||||||||||||||||||||||||||||||||||||||||||||||||||||||||||||||||||||||||||||||||||||||||||||||||||||||||||||||||||||||||||||||||||||||||||||||||||||||||||||||||||||||||||||||||||||||||||||||||||||||||||||||||||||||||||||||||||||||||
|
Week 7 Part II |
|
||||||||||||||||||||||||||||||||||||||||||||||||||||||||||||||||||||||||||||||||||||||||||||||||||||||||||||||||||||||||||||||||||||||||||||||||||||||||||||||||||||||||||||||||||||||||||||||||||||||||||||||||||||||||||||||||||||||||||||||||||||||||||||||||||||||||||||||||||||||||||||||||||||||||||||||||||||||||||||||||||||||||||||||||||||||||||||||||||||||||||||||||||||||||||||||||||||||||||||||||||||||||||||||||||||||||||||||||||||||||||||||||||||||||||||||||||||||||||||||||||||||||||||||||||||||||||||||||||||||||||||||||||||||||||||||||||||||||||||||||||||||||||||||||||||||||||||||||||||||||||||||||||||||||||||||||||||||||||||||||||||||||||||||||||||||||||||||||||||||||||||||||||||||||||||||||||||||||||||||||||||||||||||||||||||||||||||||||||||||||||||||||||||||||||||||||||||||||||||||||||||||||||||
|
FYI – Develop a Stock
Data Fetcher in Google Sheets Step 1: Create a New
Google Sheet
Step 2: Set Up the
Google Apps Script
// Function to serve
the HTML file function doGet() { return HtmlService.createHtmlOutputFromFile('index'); } function fetchStockData(ticker, startDateStr) { var sheet = SpreadsheetApp.getActiveSpreadsheet().getActiveSheet(); // Clear previous data sheet.getRange("A1:F1000").clearContent(); // Set the header row for daily data sheet.getRange("A1").setValue("Date"); sheet.getRange("B1").setValue("Closing
Price"); sheet.getRange("C1").setValue("Stock Name"); // Fetch and display the stock name using GOOGLEFINANCE var stockNameFormula = `=GOOGLEFINANCE("${ticker}", "name")`; sheet.getRange("C2").setFormula(stockNameFormula); // Set up the formula to fetch daily data using
GOOGLEFINANCE var formula = `=GOOGLEFINANCE("${ticker}", "close", "${startDateStr}", TODAY(), "daily")`; sheet.getRange("A2").setFormula(formula); // Wait for the data to populate SpreadsheetApp.flush(); // Copy the daily data into an array var dataRange = sheet.getRange("A2:B1000").getValues(); var validData = dataRange.filter(row => row[0] && row[1]); // Remove empty rows and invalid data if (validData.length === 0) { return "No data
available. Please check the stock ticker and date range."; } // Set the header row for monthly data in columns
D, E, and F sheet.getRange("D1").setValue("Month"); sheet.getRange("E1").setValue("Closing
Price"); sheet.getRange("F1").setValue("Monthly
Return"); // Process data to calculate the last trading
day of each month var monthlyData = {}; validData.forEach(row => { var date = new Date(row[0]); var price = row[1]; var monthKey = `${date.getFullYear()}-${(date.getMonth() + 1).toString().padStart(2, '0')}`; // Keep updating to get the last price of the
month monthlyData[monthKey] = price; }); // Write the monthly data and calculate returns var previousPrice = null; var rowIndex = 2; for (var month in monthlyData) { var price = monthlyData[month]; sheet.getRange(rowIndex, 4).setValue(month); // Write month in column D sheet.getRange(rowIndex, 5).setValue(price); // Write price in column E if (previousPrice !== null) { var monthlyReturn = ((price - previousPrice) / previousPrice) * 100; sheet.getRange(rowIndex, 6).setValue(monthlyReturn.toFixed(2) + "%"); // Write return in column F } previousPrice = price; rowIndex++; } return "Data fetched and
returns calculated successfully!"; }
Step 3: Authorize and
Run the Script
Step 4: Create the
HTML File
1.
In the Apps Script editor, click on the 2.
Name the new file 3.
Paste the following HTML code into the <!DOCTYPE html> <html> <head> <base target="_top"> <title>Stock Data Fetcher</title> <style> body { font-family: Arial, sans-serif; margin: 20px; } h2 { color: #333; } label { display: block; margin-top: 10px; } input, button { margin-top: 5px; } .footer { margin-top: 20px; font-size: 12px; color: #666; text-align: center; } </style> </head> <body> <h2>Stock Data Fetcher</h2> <label for="ticker">Stock Ticker:</label> <input type="text" id="ticker" placeholder="e.g., AAPL, WMT" /><br> <label for="startDate">Start Date:</label> <input type="date" id="startDate" /><br> <button onclick="fetchData()">Fetch Data</button> <p id="status"></p> <!-- Button to open the Google Sheet --> <button onclick="openGoogleSheet()">Open Google Sheet</button> <script> function fetchData() { var ticker = document.getElementById('ticker').value; var startDate = document.getElementById('startDate').value; // Call the Apps Script function google.script.run.withSuccessHandler(function(response) {
document.getElementById('status').innerText = response;
}).fetchStockData(ticker, startDate); } function openGoogleSheet() { // Replace with the URL of your Google Sheet var sheetUrl = "YOUR_GOOGLE_SHEET_URL";
// Replace with your actual Google Sheet URL window.open(sheetUrl, "_blank"); } </script> </body> </html> Step 5: Deploy Your
Web App
Step 6: Access and
Use the Web App
|
|||||||||||||||||||||||||||||||||||||||||||||||||||||||||||||||||||||||||||||||||||||||||||||||||||||||||||||||||||||||||||||||||||||||||||||||||||||||||||||||||||||||||||||||||||||||||||||||||||||||||||||||||||||||||||||||||||||||||||||||||||||||||||||||||||||||||||||||||||||||||||||||||||||||||||||||||||||||||||||||||||||||||||||||||||||||||||||||||||||||||||||||||||||||||||||||||||||||||||||||||||||||||||||||||||||||||||||||||||||||||||||||||||||||||||||||||||||||||||||||||||||||||||||||||||||||||||||||||||||||||||||||||||||||||||||||||||||||||||||||||||||||||||||||||||||||||||||||||||||||||||||||||||||||||||||||||||||||||||||||||||||||||||||||||||||||||||||||||||||||||||||||||||||||||||||||||||||||||||||||||||||||||||||||||||||||||||||||||||||||||||||||||||||||||||||||||||||||||||||||||||||||||||||
|
Chapters 2, 3 - Financial Statements (not required)
|
|||||||||||||||||||||||||||||||||||||||||||||||||||||||||||||||||||||||||||||||||||||||||||||||||||||||||||||||||||||||||||||||||||||||||||||||||||||||||||||||||||||||||||||||||||||||||||||||||||||||||||||||||||||||||||||||||||||||||||||||||||||||||||||||||||||||||||||||||||||||||||||||||||||||||||||||||||||||||||||||||||||||||||||||||||||||||||||||||||||||||||||||||||||||||||||||||||||||||||||||||||||||||||||||||||||||||||||||||||||||||||||||||||||||||||||||||||||||||||||||||||||||||||||||||||||||||||||||||||||||||||||||||||||||||||||||||||||||||||||||||||||||||||||||||||||||||||||||||||||||||||||||||||||||||||||||||||||||||||||||||||||||||||||||||||||||||||||||||||||||||||||||||||||||||||||||||||||||||||||||||||||||||||||||||||||||||||||||||||||||||||||||||||||||||||||||||||||||||||||||||||||||||||||
|
Cash Flow Statement Answer |
calculation for changes |
||
|
Cash at the beginning of the
year |
2060 |
||
|
Cash
from operation |
|||
|
net income |
3843 |
||
|
plus depreciation |
1760 |
||
|
-/+ AR |
-807 |
807 |
|
|
-/+ Inventory |
-3132 |
3132 |
|
|
+/- AP |
1134 |
1134 |
|
|
net change
in cash from operation |
2798 |
||
|
Cash
from investment |
|||
|
-/+ (NFA+depreciation) |
-1680 |
1680 |
|
|
net
change in cash from investment |
-1680 |
||
|
Cash
from finaning |
|||
|
+/- long term debt |
1700 |
1700 |
|
|
+/- common stock |
2500 |
2500 |
|
|
- dividend |
-6375 |
6375 |
|
|
net
change in cash from financing |
-2175 |
||
|
Total
net change of cash |
-1057 |
||
|
Cash
at the end of the year |
1003 |
||
************ What is Free Cash Flow **************
What is free cash flow (video)
What is free cash flow (FCF)? Why is
it important?
•
FCF is the amount of cash available from operations for
distribution to all investors (including stockholders and debtholders) after
making the necessary investments to support operations.
•
A company’s value depends on the amount of FCF it can generate.
What are the five uses of FCF?
1. Pay interest on debt.
2. Pay back principal on debt.
3. Pay dividends.
4. Buy back stock.
5. Buy nonoperating assets (e.g., marketable securities,
investments in other companies, etc.)

What are operating
current assets?
•
Operating current assets are the CA
needed to support operations.
•
Op CA include: cash, inventory,
receivables.
•
Op CA exclude: short-term investments,
because these are not a part of operations.
What are operating
current liabilities?
•
Operating current liabilities are the
CL resulting as a normal part of operations.
•
Op CL include: accounts payable and
accruals.
•
Op CL exclude: notes payable, because
this is a source of financing, not a part of operations.

Capital
expenditure = increases in NFA + depreciation
Or,
capital expenditure = increases in GFA
Note: All companies, foreign and domestic, are required to file
registration statements, periodic reports, and other forms electronically
through EDGAR. https://www.sec.gov/edgar/searchedgar/companysearch.html
In class exercise
1. Firm AAA has EBIT (operating income) of $3 million, depreciation of $1 million. Firm AAA’s expenditures on fixed assets = $1 million. Its net operating working capital = $0.6 million. Calculate for free cash flow. Imagine that the tax rate =40%.
a. $1.2
b. $1.3
c. $1.4
d. $1.5
FCF = EBIT(1 – T) + Deprec. – (Capex + NOWC)
answer:
EBIT $3
Tax rate 40%
Depreciation $1
Capex + NOWC $1.60
So, FCF = $1.2
2. The following information should be used for the following problems:
2014 2015
Sales $ 740 $ 785
COGS 430 460
Interest 33 35
Dividends 16 17
Depreciation 250 210
Cash 70 75
Accounts receivables 563 502
Current liabilities 390 405
Inventory 662 640
Long term debt 340 410
Net fixed assets 1,680 1,413
Common stock 700 235
Tax rate 35% 35%
• What is the net income for 2015? ($52)
Ratio Analysis template
https://www.jufinance.com/ratio
Finviz.com/screener for ratio analysis (https://finviz.com/screener.ashx)
Financial ratio
analysis (VIDEO)