FIN 500 Class Web Page, Fall '16

The Syllabus

Business Finance Online, an interactive learning tool for the Corporate Finance Student https://www.zenwealth.com/BusinessFinanceOnline/index.htm

  

Weekly SCHEDULE, LINKS, FILES and Questions

Week

Coverage, HW, Supplements

-        Required

Equations

Videos (optional)

Week 1, 2 

Market Watch Game 

  Use the information and directions below to join the game.

1.     URL for your game: 
http://www.marketwatch.com/game/jufin500-16f

2.     Password for this private game: havefun.

3.     Click on the 'Join Now' button to get started.

4.     If you are an existing MarketWatch member, login. If you are a new user, follow the link for a Free account - it's easy!

5.     Follow the instructions and start trading!

1.       

 

 

 

Chapter 5 Time value of money 1

Chapter 5 ppt

Concept of FV, PV, Rate, Nper

Calculation of FV, PV, Rate, Nper

Concept of interest rate, compounding rate, discount rate

 

image002.jpg

 

 

Chapter 6 Time Value of Money 2

Chapter 6 PPT

Concept of PMT, NPV

Calculation of FV, PV, Rate, Nper, PMT, NPV, NFV

Concept of EAR, APR

Calculation of EAR, APR

 

 

Week 1 In Class Exercise

Week 1 In Class Exercise Solutions (FYI)   

 

 

HOMEWORK of Chapters 5 and 6 and Solution (Detailed)

(will not be collected or graded)

1. The Thailand Co. is considering the purchase of some new equipment. The quote consists of a quarterly payment of $4,740 for 10 years at 6.5 percent interest. What is the purchase price of the equipment? ($138,617.88)

Answer: (Rate = 6.5%/4, NPER = 10*4, PMT=4740, PV=?, FV=0, so

PV=abs(pv(6.5%/4, 10*4, 4740, 0)) 

 

2. The condominium at the beach that you want to buy costs $249,500. You plan to make a cash down payment of 20 percent and finance the balance over 10 years at 6.75 percent. What will be the amount of your monthly mortgage payment? ($2,291.89)

Answer: (Rate = 6.75%/12, NPER = 10*12, PMT=?, PV=249500*0.8, FV=0, so PMT=abs(pmt(6.75%/12, 10*12, 249500*0.8, 0))



3. Today, you are purchasing a 15-year, 8 percent annuity at a cost of $70,000. The annuity will pay annual payments. What is the amount of each payment? ($8,178.07)

Answer: (Rate = 8%, NPER = 15, PMT=?, PV=70000, FV=0, so

PMT=abs(pmt(8%, 15, 70000, 0))

 

4. Shannon wants to have $10,000 in an investment account three years from now. The account will pay 0.4 percent interest per month. If Shannon saves money every month, starting one month from now, how much will she have to save each month? ($258.81)
Answer: (Rate = 0.4%, NPER = 12*3, PMT=?, PV=0, FV=10000, so

PMT=abs(pmt(0.4%, 12*3, 0, 10000))

 

5. Trevor's Tires is offering a set of 4 premium tires on sale for $450. The credit terms are 24 months at $20 per month. What is the interest rate on this offer? (6.27 percent)
Answer: (Rate = ?,  NPER = 24, PMT=20, PV=-450, FV=0, so

Annualized Rate=rate (24, 20, -450,0) * 12

Or, Annualized Rate=rate (24, -20, 450,0) * 12

 

6. Top Quality Investments will pay you $2,000 a year for 25 years in exchange for $19,000 today. What interest rate are you earning on this annuity? (9.42 percent)

Answer: (Rate = ?,  NPER = 25, PMT=2000, PV=-19000, FV=0, so

Annualized Rate=rate (25, 2000, -19000,0) 

Or, Annualized Rate= rate (25, -2000, 19000,0) 


7. You have just won the lottery! You can receive $10,000 a year for 8 years or $57,000 as a lump sum payment today. What is the interest rate on the annuity? (8.22 percent)

Answer: (Rate = ?,  NPER = 8, PMT=10000, PV=-57000, FV=0, so

Annualized Rate=rate (8, 10000, -57000,0) 

Or, Annualized Rate=rate (8, -10000, 57000,0) 


8. Around Town Movers recently purchased a new truck costing $97,000. The firm financed this purchase at 8.25 percent interest with monthly payments of $2,379.45. How many years will it take the firm to pay off this debt? (4.0 years)

Answer: (Rate = 8.25%/12,  NPER = ?, PMT=2379.45, PV=-97000, FV=0, so

# of years= nper (8.25%/12, 2379.45, -97000,0) /12

Or, # of years= nper (8.25%/12, -2379.45, 97000,0)/12 

 

9.  Expansion, Inc. acquired an additional business unit for $310,000. The seller agreed to accept annual payments of $67,000 at an interest rate of 6.5 percent. How many years will it take Expansion, Inc. to pay for this purchase? (5.68 years)

Answer: (Rate = 6.5%,  NPER = ?, PMT=67000, PV=-310000, FV=0, so

# of years= nper (6.5%, 67000, -310000,0)  

Or, # of years= nper (6.5%, -67000, 310000,0)  


10. You want to retire early so you know you must start saving money. Thus, you have decided to save $4,500 a year, starting at age 25. You plan to retire as soon as you can accumulate $500,000. If you can earn an average of 11 percent on your savings, how old will you be when you retire? (49.74 years)
Answer: (Rate = 11%,  NPER = ?, PMT=4500, PV=0, FV=-500000,   so

Age = nper (11%, 4500, -500000, 0)   + 25

Or, Age = nper (11%, 4500, -500000, 0)   + 25


11. You just received a credit offer in an email. The company is offering you $6,000 at 12.8 percent interest. The monthly payment is only $110. If you accept this offer, how long will it take you to pay off the loan? (82.17 months)
Answer: (Rate = 12.8%/12,  NPER = ?, PMT=110, PV=-6000, FV=0,   so

# of months = nper (12.8%/12, 110, -6000, 0)   

Or, # of months = nper (12.8%/12, -110, 6000, 0)   

 

12. Fred was persuaded to open a credit card account and now owes $5,150 on this card. Fred is not charging any additional purchases because he wants to get this debt paid in full. The card has an APR of 15.1 percent. How much longer will it take Fred to pay off this balance if he makes monthly payments of $70 rather than $85? (93.04 months)
Answer: (Rate = 15.1%/12,  NPER = ?, PMT=70, PV=-5150, FV=0,   so

# of months_1 = nper (15.1%/12, 70, -5150, 0)
  # of months_2 = nper (15.1%/12, 85, -5150, 0)  

So, nper (15.1%/12, 70, -5150, 0)- nper (15.1%/12, 85, -5150, 0)    is the final answer

 

13. Bridget plans to save $150 a month, starting today, for ten years. Jordan plans to save $175 a month for ten years, starting one month from today. Both Bridget and Jordan expect to earn an average return of 8 percent on their savings. At the end of the ten years, Jordan will have approximately _____ more than Bridget. ($4,391)
Answer: (Bridget: Rate = 8%/12,  NPER =10*12, PMT=150, PV=0, FV=?,  type =1,  so

FV for Bridget = abs(fv(8%/12, 10*12, 150, 0,1)) 
      Jordan: Rate = 8%/12,  NPER =10*12, PMT=
175, PV=0, FV=?,  type =0 or default,  so

FV for Jordan = abs(fv(8%/12, 10*12, 175, 0)) 

So, abs(fv(8%/12, 10*12, 150, 0,1))  -  abs(fv(8%/12, 10*12, 175, 0))   is the final answer.


14. What is the future value of weekly payments of $25 for six years at 10 percent? ($10,673.90)
Answer: Rate = 10%/52, NPER = 6*52, PMT=25, PV=0, FV=?, so

FV=abs(Fv(10%/52, 6*52, 25, 0)) 

 

15. At the end of this month, Bryan will start saving $80 a month for retirement through his company's retirement plan. His employer will contribute an additional $.25 for every $1.00 that Bryan saves. If he is employed by this firm for 25 more years and earns an average of 11 percent on his retirement savings, how much will Bryan have in his retirement account 25 years from now? ($157,613.33)

Answer: Rate = 10%/52, NPER = 6*52, PMT=25, PV=0, FV=?, so

FV=abs(Fv(10%/52, 6*52, 25, 0)) 

 

16. Sky Investments offers an annuity due with semi-annual payments for 10 years at 7 percent interest. The annuity costs $90,000 today. What is the amount of each annuity payment? 
($6,118.35)
Answer: Rate = 7%/2, NPER = 10*2, PMT=?, PV=90000, FV=0, type=1, so

pmt=abs(pmt(7%/2, 10*2, 90000, 0,1)) 

 

17. Mr. Jones just won a lottery prize that will pay him $5,000 a year for thirty years. He will receive the first payment today. If Mr. Jones can earn 5.5 percent on his money, what are his winnings worth to him today? ($76,665.51)

Answer: Rate = 5.5%, NPER = 30, PMT=5000, PV=?, FV=0, type=1, so

pv=abs(pv(5.5%, 30, 5000, 0,1)) 

 

18. You want to save $75 a month for the next 15 years and hope to earn an average rate of return of 14 percent. How much more will you have at the end of the 15 years if you invest your money at the beginning of each month rather than the end of each month? ($530.06)

Answer:

Invest at the beginning of each month:

Rate = 14%/12, NPER = 15*12, PMT=75, PV=0, FV=?, type=1, so

fv=abs(fv(5.5%, 30, 5000, 0,1)) 

Invest by the end of each month:

Rate = 14%/12, NPER = 15*12, PMT=75, PV=0, FV=?, type=0 or default, so

fv=abs(fv(5.5%, 30, 5000, 0)) 

So,  abs(fv(5.5%, 30, 5000, 0,1)) - abs(fv(5.5%, 30, 5000, 0))  is the final answer.

 

19. What is the effective annual rate of 10.5 percent compounded semi-annually? (10.78 percent)
Answer:

APR=Norminal=10.5%, NPERY=2, so EAR=effect(nominal, NPERY) = effect(10.5%, 2)

Or, EAR = (1+10.5%/2)2-1


20. What is the effective annual rate of 9 percent compounded quarterly? (9.31 percent)
Answer:

APR=Norminal=9%, NPERY=4, so EAR=effect(nominal, NPERY) = effect(9%, 4)

Or, EAR = (1+9%/4)4-1


21. Fancy Interiors offers credit to customers at a rate of 1.65 percent per month. What is the effective annual rate of this credit offer? (21.70 percent)

Answer:

APR=Norminal=1.65%*12, NPERY=12, so EAR=effect(nominal, NPERY) = effect(1.65%*12, 12)  Or, EAR = (1+1.65%)12-1

 

22. What is the effective annual rate of 12.75 percent compounded daily? (13.60 percent)

Answer:

APR=Norminal=12.75%, NPERY=365, so EAR=effect(nominal, NPERY) = effect(12.75%, 365)  Or, EAR = (1+16.75%/365)365 -1

 

23. Your grandparents loaned you money at 0.5 percent interest per month. The APR on this loan is _____ percent and the EAR is _____ percent. (6.00; 6.17)
Answer:

APR=Norminal=0.5%*12, NPERY=12, so EAR=effect(nominal, NPERY) = effect(0.5%*12, 12)   Or, EAR = (1+0.5%)12-1


24. Three years ago, you took out a loan for $9,000. Over those three years, you paid equal monthly payments totaling $11,826. What was the APR on your loan? (18.69 percent)

Answer:

Rate=?, NPER=12*3, PMT=11826/36, PV=-9000, FV=0,

So monthly rate = rate(12*3, 11826/36, -9000, 0)

APR = rate(12*3, 11826/36, -9000, 0)* 12 is the final answer.

 Math Formula

FV = PV *(1+r)^n

PV = FV / ((1+r)^n)

N = ln(FV/PV) / ln(1+r)

Rate = (FV/PV)1/n -1

Annuity:

N = ln(FV/C*r+1)/(ln(1+r))

Or

N = ln(1/(1-(PV/C)*r)))/ (ln(1+r))

 

image001.jpg

 

 

EAR = (1+APR/m)^m-1

APR = (1+EAR)^(1/m)*m

 

 

 

Excel Formulas 

To get FV, use FV function.    

 =abs(fv(rate, nper, pmt, pv))

 

To get PV, use PV function         

 = abs(pv(rate, nper, pmt, fv))

 

To get r, use rate function             

= rate(nper,  pmt, pv, -fv)

 

To get number of years, use nper function                                

 = nper(rate,  pmt, pv, -fv)

 

To get annuity payment, use PMT function                                          

 = pmt(rate, nperpv, -fv)

 

To get Effective rate (EAR), use Effect function                            

 = effect(nominal_ratenpery)

 

To get annual percentage rate (APR), use nominal function      

 = nominal(effective rate,  npery)

 

 

WSJ paper FYI

Opinion: The stock market could crash if Donald Trump is elected president

Published: Oct 31, 2016 3:09 p.m. ET

 

 Trump’s policies would curtail imports and slam the brakes on the U.S. economy

The precise consequences of bad policies are hard to predict, but it’s still not good.

By

SIMONJOHNSON

COLUMNIST

WASHINGTON, D.C. (Project Syndicate) — With the United States’ presidential election on Nov. 8, and a series of elections and other political decisions fast approaching in Europe, now is a good time to ask whether the global economy is in good enough shape to withstand another major negative shock.

The answer, unfortunately, is that growth and employment around the world look fragile. A big adverse surprise — like the election of Donald Trump in the U.S. — would likely cause the stock market DJIA, -0.10%   to crash and plunge the world into recession.

There is always a great deal of insight in the International Monetary Fund’s semiannual economic outlook, which is based on detailed data from around the world. And, because the latest version was published in early October, it is particularly relevant. (I was previously the IMF’s chief economist and oversaw the forecasting process, but I left that position in August 2008.)

 

Table 1.1 of the Fund’s World Economic Outlook covers the main points: a baseline forecast of 3.1% global GDP growth this year and 3.4% in 2017. This represented a nudge down from the projections in April, with signs of weakening perceived in the U.S., the eurozone, and of course the United Kingdom (grappling with the consequences of impending Brexit — the big and potentially traumatic step of leaving the European Union).

 

The most obvious dark cloud on the global horizon is Europe. The British issues are not helping, but the deeper issues continue to be related to the eurozone itself (Britain never adopted the euro). The headline growth number in Spain is somewhat encouraging, continuing to show some rebound. But the ongoing gloom about Italy — the third-largest eurozone economy, growing at less than 1% a year — is a serious matter.

Compounding these macroeconomic issues is the continuing pressure on eurozone banks. These banks have never fully recovered from earlier losses, and their equity capital levels remain low relative to international competitors (like the U.S.) and to what investors regard as reasonable.

The bigger problem remains uncertainty about who is on the hook if a bank’s losses imply potential insolvency. These banks are clearly too big to fail — no European government in its right mind would allow a default on bank debt. But there is no agreement on how to share bank losses across countries. Taken as a whole, the eurozone has enough fiscal capacity to stand behind its banks. But, unfortunately, doing so is still a country-by-country decision — the collective mechanisms for recapitalizing European banks remain partial and far too weak.

Compounding these difficulties, growth in middle-income emerging markets is not strong. Slower growth in these countries is reflected in lower projected imports and lower expected commodity prices, which will negatively affect countries that export raw materials and energy resources. The Nigerian economy, just to take one example, is expected to contract by 1.7% this year.

Growth in the U.S., as reported by the IMF, was 2.6% in 2015, and is forecast to slip to 1.6% this year before rebounding slightly to 2.2% in 2017. There has been a long steady recovery from the 2008 financial crisis, but the effects of that collapse still linger.

Even in the best of times, U.S. policy makers often do not think enough about the impact of their actions on the rest of the world.

Trump promises to boost U.S. growth immediately to 4%-5%, but this is pure fantasy. It is far more likely that his anti-trade policies would cause a sharp slowdown, much like the British are experiencing.

In fact, the impact of a Trump victory on the U.S. could well be worse. Whereas British Prime Minister Theresa May’s government wants to close the U.K.’s borders to immigrants from the EU, it does want trade with the world. Trump, on the other hand, is determined to curtail imports through a variety of policies, all of which are well within the power of a president. He would not need congressional approval to slam the brakes on the U.S. economy.

Even in the best of times, U.S. policy makers often do not think enough about the impact of their actions on the rest of the world. Trump’s trade-led recession would tip Europe back into full-blown recession, which would likely precipitate a serious banking crisis. If this risk were not contained — and the probability of a European banking debacle is already disconcertingly high — there would be a further negative spiral. Either way, the effects on emerging markets and all lower-income countries would be dramatic.

Investors in the stock market SPX, -0.01%  currently regard a Trump presidency as a relatively low-probability development. But while the precise consequences of bad policies are always hard to predict, if investors are wrong and Trump wins, we should expect a big markdown in expected future earnings for a wide range of stocks — and a likely crash in the broader market.

Simon Johnson is a professor at MIT’s Sloan School of Management and the co-author of “White House Burning: The Founding Fathers, Our National Debt, and Why It Matters to You.”   

Fall of Lehman Brother part i

https://www.youtube.com/watch?v=aPOtQkSiCk8

 

Fall of Lehman Brother part ii

https://www.youtube.com/watch?v=l0N_FX0kUMI&feature=relmfu

 

Fall of Lehman Brother part iii

https://www.youtube.com/watch?v=YmZd3vVoPgY&feature=relmfu

 

Fall of Lehman Brother part iv

https://www.youtube.com/watch?v=FcO_dQCJ3HA&feature=relmfu

 

Fall of Lehman Brother part v

https://www.youtube.com/watch?v=L4gqzRePtes

 

Fall of Lehman Brother part vi

https://www.youtube.com/watch?v=Ms_tnEe4wFk&feature=relmfu

 

How the stock market works

 

How the market works

 

 

Week 2,  3

Chapter 7 Bond Market

ppt

1.      Definition

2.      FINRA.org (www.finra.org è Investor center è market data è bond è corporate bond)

3.      Cash flows of a bond

Annual coupon bond, semi-annual coupon bond. Zero coupon bond.

4.      Bond Pricing

Annual coupon bond, semi-annual coupon bond. Zero coupon bond.

5.      Bond Yield

Annual coupon bond, semi-annual coupon bond.

6.      Bond rating agencies

Three rating agencies; how to understand the ratings

7.      Term Structure (yield curve)

 

 

Simplified Balance Sheet of WalMart

 

In Millions of USD 

As of 2014-01-31

Total Assets

204,751.00

Total Current Liabilities

69,345.00

Long Term Debt

41,771.00

Other liabilities

17,380.00

Total Liabilities

128,496.00

Total Equity

76,255.00

Total Liabilities & Shareholders' Equity

204,751.00

 

For discussion:

·         What is this “long term debt”?

·         Who is the lender of this “long term debt”?

So this long term debt is called bond in the financial market. Where can you find the pricing information and other specifications of the bond issued by WMT?

 

How Bonds Work (video)

 

FINRA – Bond market information

http://finra-markets.morningstar.com/BondCenter/Default.jsp

 

 

image003.jpg

 

image002.jpg

 

 

image004.jpg

 

image005.jpg (annual coupon bond)

 

 

image006.jpg(semi annual coupon bond)

 

image006.jpg

 

image007.jpg

 

WAL-MART STORES INC

Coupon Rate 3.300%         Maturity Date  04/22/2024

Symbol

 

CUSIP

 

Next Call Date

01/22/2024

Callable

Yes

Last Trade Price

$106.18

Last Trade Yield

2.512%

Last Trade Date

04/09/2015

US Treasury Yield

Credit and Rating Elements

Moody's Rating

Aa2 (04/21/2014)

Standard & Poor's Rating

AA (04/16/2014)

Fitch Rating

AA (09/30/2014)

Coupon Payment Frequency

Semi-Annual

 

 

 

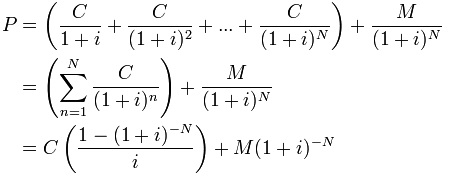
Summary of bond pricing excel functions

To calculate bond price (annual coupon bond):

Price=abs(pv(yield to maturity, years left to maturity, coupon rate*1000, 1000)

 

To calculate yield to maturity (annual coupon bond)::

Yield to maturity = rate(years left to maturity, coupon rate *1000, -price, 1000)

 

To calculate bond price (semi-annual coupon bond):

Price=abs(pv(yield to maturity/2, years left to maturity*2, coupon rate*1000/2, 1000)

 

To calculate yield to maturity (semi-annual coupon bond):

Yield to maturity = rate(years left to maturity*2, coupon rate *1000/2, -price, 1000)*2

 

To calculate number of years left(annual coupon bond)

Number of years =nper(yield to maturity,  coupon rate*1000, -price, 1000)

 

To calculate number of years left(semi-annual coupon bond)

Number of years =nper(yield to maturity/2,  coupon rate*1000/2, -price, 1000)/2

 

To calculate coupon (annual coupon bond)

Coupon = pmt(yield to maturity, number of years left, -price, 1000)

Coupon rate = coupon / 1000

 

To calculate number of years left(semi-annual coupon bond)

Coupon = pmt(yield to maturity/2, number of years left*2, -price, 1000)*2

Coupon rate = coupon / 1000

 

 

Risk of Bonds: Is bond market safe?

Bond risk (video)

Bond risk – credit risk (video)

Bond risk – interest rate risk (video)

 

Is there a bond bubble? When will it burst?

We are in a bond bubble now  (video)

There's Going to be a Collapse in the Bond Market Like We've Never Seen Before (video)

 

 

 

Homework (will not be collected or graded)

 

WAL-MART STORES INC

Coupon Rate 3.300%         Maturity Date  04/22/2024

Symbol

 

CUSIP

 

Next Call Date

01/22/2024

Callable

Yes

Last Trade Price

$106.18

Last Trade Yield

2.512%

Last Trade Date

04/09/2015

US Treasury Yield

Credit and Rating Elements

Moody's Rating

Aa2 (04/21/2014)

Standard & Poor's Rating

AA (04/16/2014)

Fitch Rating

AA (09/30/2014)

Coupon Payment Frequency

Semi-Annual

 

Refer to the above table and answer questions 1-8.

1.                  How much is the coupon?   $33

2.                  This WMT bond is callable. This means that when interest rate increases, Wal-Mart might call this bond back from bondholders.  True _____ False _____

3.                  Moody’s rating of this bond is Aa2 for this bond. Assume that GE’s bond rating is A. JEA’s rating is B+. Treasury bond’s rating is AAA. Rank the risk of the four bonds from low to high.(WMT, GE, JEA)

4.                  Calculate the current yield based on the above table. (33/1061.8=3.11%)

5.                  Imagine that the interest rate has increased to 4%. Calculate the new bond price. (semi-annual, coupon rate = 3.3%, 9 years left). (abs(pv(4%/2, 9*2, 33/2, 1000) = $947.53)

6.                  Imagine that the interest rate has increased to 4%. Calculate the new bond price. (annual, coupon rate = 3.3%, 9 years left). ( abs(pv(4%, 9, 33, 1000) = $947.95)

7.                  Imagine that the price is $850. Calculate the new yield to maturity. (semi-annual, coupon rate = 3.3%, 9 years left). ((rate(9*2, 33/2, -850,1000))*2 = 5.43%)

8.                  Imagine that the price is $850. Calculate the new yield to maturity. (annual, coupon rate = 3.3%, 9 years left) .(rate(9, 33, -850,1000) =  5.45%)

9.                  Firm AAA’s bonds price = $850.  Coupon rate is 5% and par is $1,000. The bond has six years to maturity. Calculate for current yield? (50/850 = 5.88%)

10.              For a zero coupon bond, use the following information to calculate its yield to maturity.  Years left to maturity = 10 years. Price = $250. 

((Rate(10*2, 0, -250, 1000) )*2= 14.35%)

11.              For a zero coupon bond, use the following information to calculate its price.  Years left to maturity = 10 years. Yield = 8%.

 (abs(pv(8%/2, 10*2, 0, 1000) = $456.39)

12.              Imagine that an annual coupon bond’s coupon rate = 5%, 15 years left. Draw price-yield profile. (hint: Change interest rate, calculate new price and draw the graph). 

13.              IBM 5 year 2% annual coupon bond is selling for $950. How much this IBM bond’s YTM?  3.09%     (rate(5, 20, -950, 1000)

14.              IBM 10 year 4% semi-annual coupon bond is selling for $950. How much is this IBM bond’s YTM?  4.63%   (rate(10*2, 40/2, -950, 1000)*2

15.              IBM 10 year 5% annual coupon bond offers 8% of return. How much is the price of this bond?   798.7      (abs(pv(8%, 10, 50, 1000))

16.              IBM 5 year 5% semi-annual coupon bond offers 8% of return. How much is the price of this bond?  $878.34  (abs(pv(8%/2, 5*2, 50/2, 1000) 

17.              IBM 20 year zero coupon bond offers 8% return. How much is the price of this bond?  ((abs(pv(8%/2, 20*2, 0, 1000))

18.              Collingwood Homes has a bond issue outstanding that pays an 8.5 percent coupon and matures in 18.5 years. The bonds have a par value of $1,000 and a market price of $964.20. Interest is paid semiannually. What is the yield to maturity? (8.90%)   (rate(18.5*2, 85/2, -964.2, 1000)*2

19.              Grand Adventure Properties offers a 9.5 percent coupon bond with annual payments. The yield to maturity is 11.2 percent and the maturity date is 11 years from today. What is the market price of this bond if the face value is $1,000?

($895.43)     (abs(pv(11.2%, 11, 95, 1000))

20.              The zero coupon bonds of D&L Movers have a market price of $319.24, a face value of $1,000, and a yield to maturity of 9.17 percent. How many years is it until these bonds mature? (12.73 years)   (nper(9.17%/2, 0, -319.24, 1000)/2

21.        The bonds issued by Stainless Tubs bear a 6 percent coupon, payable semiannually. The bonds mature in 11 years and have a $1,000 face value. Currently, the bonds sell for $989. What is the yield to maturity? (6.14%)   (rate (11*2 ,60, -989, 1000)*2)

WSJ papers: FYI

 

Traders watching to see if that's the air beginning to leak from bond bubble

 

 

 

How you should learn to stop worrying about the bond bubble and love the market

 

Treasury Bond Auction Website

http://www.treasurydirect.gov

 

 

 

 

How to calculate bond prices using exact

date(not required but useful)

 

Use price function in Excel. Returns the price

 per $100 face value of a security that pays periodic interest.

Syntax

PRICE(settlement, maturity, rate, yld, redemption, frequency, [basis])

 

Excel How to use the PRICE formula video

https://www.youtube.com/watch?v=4UzFPKv2Tnw

 

 

 

Calculate bond yield using exact date?(not required but useful)

 

Use YIELD to calculate bond yield.

Syntax

YIELD(settlement,maturity,rate,pr,

redemption, frequency, basis)

Excel yield function video

https://www.youtube.com/watch?v=vi27yLPgwZc

 

 

 

Risk of Bonds

Bond risk (video)

Bond risk – credit risk (video)

Bond risk – interest rate risk (video)

 

Week 4,5

Chapter 8 Stock Valuation

ppt

 

from google.com/finance --- Wal-Mart (Ticker: WMT)

 

71.42 

+0.93 (1.32%)

After Hours: 71.42 0.00 (0.00%)

Nov 15, 4:22PM EST  

NYSE real-time data - Disclaimer

Currency in USD

Range

70.35 - 71.42

52 week

56.36 - 75.19

Open

70.79

Vol / Avg.

9.43M/8.83M

Mkt cap

218.63B

P/E

15.35

 

Div/yield

0.50/2.80

EPS

4.65

Shares

3.09B

Beta

0.09

Inst. own

30%

 

1.      Comparison between bond and stock

 

In Millions of USD (except for per share items)

As of 2016-07-31

Total Assets

197,886.00

Accounts Payable

39,902.00

Accrued Expenses

19,651.00

Notes Payable/Short Term Debt

1,932.00

Current Port. of LT Debt/Capital Leases

2,816.00

Other Current liabilities, Total

3,821.00

Total Current Liabilities

68,122.00

Long Term Debt

36,673.00

Capital Lease Obligations

6,070.00

Total Long Term Debt

42,743.00

Total Debt

47,491.00

Deferred Income Tax

7,877.00

Minority Interest

2,619.00

Other Liabilities, Total

0

Total Liabilities

121,361.00

Common Stock, Total

310

Additional Paid-In Capital

1,915.00

Retained Earnings (Accumulated Deficit)

85,972.00

Treasury Stock - Common

-

Other Equity, Total

-11,672.00

Total Equity

76,525.00

Total Liabilities & Shareholders' Equity

197,886.00

Total Common Shares Outstanding

3,097.00

 

2.      Stockholders’ rights:

3.      Risk and return – where to find how risky the stock is

4.      Calculate stock prices

1)      Given next dividends and price expected to be sold for

 

 

image008.jpg

 

2) Given all dividends  Dividend growth model
Po = D1/(r-g); r = D1/Po + g

Where Po: current stock price; D1: next period dividend; r: stock return; g: dividend growth rate

 

Exercise:

Case study in Excel   Solution

 

5.      Avoid irrational activities

1) Herding

2) Overconfidence

3) Mental accounting

4) Anchoring

5) Gamblers fallacy

6) Momentum

 

6.     How to pick stocks  Does it work?

Stock screening tools

Reuters stock screener to help select stocks

http://stockscreener.us.reuters.com/Stock/US/

 

FINVIZ.com

http://finviz.com/screener.ashx

 

WSJ stock screen

http://online.wsj.com/public/quotes/stock_screener.html

 

Stock charts

Simply the Web's Best Financial Charts

 

 

HOMEWORK (None)

 

Mid term Exam Questions Here (Due on 11/22)

What Apple’s Stock Split Means for You

·                     By STEVEN RUSSOLILLO

 

 WHAT IF APPLE NEVER SPLIT ITS STOCK? Apple has now split its stock four times throughout its history. It previously conducted 2-for-1 splits on three separate occasions: February 2005, June 2000 and June 1987. According to some back-of-the-envelop math by S&P’s Howard Silverblatt, if Apple never split its stock, you’d have eight shares for each original one prior to the most recent split. So Friday’s $645.57 closing level would translate to $5164.56 unadjusted for splits.

NoHere are five things you need to know about Apple’s stock split.

WHO DOES THE STOCK SPLIT IMPACT? Investors who owned Apple shares as of June 2 qualify for the stock split, meaning they get six additional shares for every share held. So if an investor held one Apple share, that person would now hold a total of seven shares. Apple also previously paid a dividend of $3.29, which now translates into a new quarterly dividend of $0.47 per share.

WHY IS APPLE DOING THIS? The iPhone and iPad maker says it is trying to attract a wider audience. “We’re taking this action to make Apple stock more accessible to a larger number of investors,” Apple CEO Tim Cook   said in April. But the comment also marked an about-face from two years earlier. At Apple’s shareholder meeting in February 2012, Mr. Cook said he didn’t see the point of splitting his company’s stock, noting such a move does “nothing” for shareholders.

WILL APPLE GET ADDED TO THE DOW? It’s unclear at the moment, although a smaller stock price certainly makes Apple a more attractive candidate to get added to blue-chip Dow. Apple, the bigge, your screens aren’t lying to you. Shares of Apple Inc.

 

 now trade under $100, a development that hasn’t happened in years.

Apple’s unorthodox 7-for-1 stock split, announced at the end of April, has finally arrived. The stock started trading on a split-adjusted basis Monday morning, and recently rose 1% to $93.14.

In a stock split, a company increases the number of shares outstanding while lowering the price accordingly. Splits don’t change anything fundamentally about a company or its valuation, but they tend to make a company’s stock more attractive to mom-and-pop investors. Apple shares rallied 23% from late April, when the company announced the split in conjunction with a strong quarterly report, through Friday.

A poll conducted by our colleagues at MarketWatch found 50% of respondents said they would buy Apple shares after the split. Some 31% said they already owned the stock and 19% said they wouldn’t buy it. The survey received more than 20,000 responses.

st U.S. company by market capitalization, has never been part of the historic 30-stock index, a factor that many observers attributed to its high stock price. The Dow is a price-weighted measure, meaning the bigger the stock price, the larger the sway for a particular component. That is different from indexes such as the S&P 500, which are weighted by market caps (each company’s stock price multiplied by shares outstanding).

WILL APPLE KEEP RALLYING? Since the financial crisis, companies that have split their stocks have struggled in the short term and outperformed the broad market over a longer time horizon. Since 2010, 57 companies in the S&P 500 have split their shares. Those stocks have averaged a 0.2% gain the day they started trading on a split-adjusted basis, according to New York research firm Strategas Research Partners. A month later, they have risen just 0.5%. But longer term, the average gains are more pronounced. Since 2010, these stocks have averaged a 5.4% increase three months after a split and a 28% surge one year later,Strategas says.

 

WHAT IF APPLE NEVER SPLIT ITS STOCK? Apple has now split its stock four times throughout its history. It previously conducted 2-for-1 splits on three separate occasions: February 2005, June 2000 and June 1987. According to some back-of-the-envelop math by S&P’s HowardSilverblatt, if Apple never split its stock, you’d have eight shares for each original one prior to the most recent split. So Friday’s $645.57 closing level would translate to $5164.56 unadjusted for splits.

http://s.wsj.net/public/resources/images/BN-DD629_stocks_G_20140609093920.jpg 

 

Apple Inc (NASDAQ: AAPL) Stock Split: WhenTo Buy Shares

 

 

 

Is Apple stock a buy after the annual Apple event?

 

 

How does a stock split works

 

Vanguard Founder Jack Bogle on Mutual Funds, Common Sense Investing and the Stock Market

 

 

Passive Investing: The Evidence the Fund Management Industry Would Prefer You Not to See

 

 

 

Stock screening tools

Reuters stock screener to help select stocks

http://stockscreener.us.reuters.com/Stock/US/

 

FINVIZ.com

http://finviz.com/screener.ashx

 

WSJ stock screen

http://online.wsj.com/public/quotes/stock_screener.html

 

Stock charts

Simply the Web's Best Financial Charts

 

How to pick stocks

Capital Asset Pricing Model (CAPM)Explained

https://www.youtube.com/watch?v=JApBhv3VLTo

 

Fama French 3 Factor Model Explained

https://www.youtube.com/watch?v=zWrO3snZjuA

 

Ranking stocks using PEG ratio

https://www.youtube.com/watch?v=bekW_hTehNU

 

Week 6

Chapter 9 Capital Budgeting

Ppt

 NPV, IRR, Payback, PI, MIRR template (excel, simple, my contribution, updated)

Syntax

  NPV(rate,value1,value2, ...)

  Rate     is the rate of discount over the length of one period.

  Value1, value2, ...     are 1 to 29 arguments representing the payments and income.

·         Value1, value2, ... must be equally spaced in time and occur at the end of each    period. NPV uses the order of value1, value2, ... to interpret the order of cash flows. Be sure to eter your payment and income values in the correct sequence.

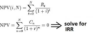
IRR Excel syntax

Syntax

   IRR(values, guess)

   Values  is an array or a reference to cells that contain numbers for which you want to calculate the internal rate of return.

  Guess     is a number that you guess is close to the result of IRR.

image013.jpg

 

Chapter 9 Study Guide

Part I: Single project

Consider the following scenario.

You are reviewing a new project and have estimated the following cash flows:

—  Year 0:            CF = -165,000

—  Year 1:            CF = 63,120; NI = 13,620

—  Year 2:            CF = 70,800; NI = 3,300

—  Year 3:            CF = 91,080; NI = 29,100

Your required return for assets of this risk level is 12%.

1)      Using payback period method to make capital budgeting decision.

2)      Using discounted payback period method to make capital budgeting decision.

3)      Using net present value method (NPV)

4)      Using profitable index method (PI)

5)      Using the Internal Rate of Return method (IRR)

6)      Using modified IRR method (MIRR) – on slide 75

Part II: Multi-Projects

 

Period

Project A

Project B

 0

-500

-400

1

325

325

2

325

200

IRR

NPV

If the required rate of return is 10%. Which project shall you choose?

1)      How much is the cross over rate?

2)      How is your decision if the required rate of return is 13%?

3)      Rule for mutually exclusive projects:

4)      What about the two projects are independent?

More on IRR – (non-conventional cash flow) (slide 73)

Suppose an investment will cost $90,000 initially and will generate the following cash flows:

–        Year 1: 132,000

–        Year 2: 100,000

–        Year 3: -150,000

The required return is 15%. Should we accept or reject the project?

1)      How  does the NPR profile look like?

2)      IRR1=

3)      IRR2=

Exercise (slide 82)

An investment project has the following cash flows:

CF0 = -1,000,000; C01 – C08 = 200,000 each

If the required rate of return is 12%, what decision should be made using NPV?

How would the IRR decision rule be used for this project, and what decision would be reached?

How are the above two decisions related?

 

Homework (will not be collected or graded)


 Question 1:
 Project with an initial cash outlay of $20,000 with following free cash flows for 5 years.

Year   Cash flows

1                    $8,000

2                    4,000

3                    3,000

4                    5,000

5                    10,000

 

1)      How much is the payback period (approach one)?

2)      If the firm has a 10% required rate of return. How much is NPV (approach 2)?

3)      If the firm has a 10% required rate of return. How much is IRR (approach 3)?

4)      If the firm has a 10% required rate of return. How much is PI (approach 4)?

Question 2: Project with an initial cash outlay of $60,000 with following free cash flows for 5 years.

      Year    FCF               

      Initial outlay    –60,000          

      1          25,000          

      2          24,000          

      3          13,000

      4          12,000

      5          11,000 

The firm has a 15% required rate of return.

Calculate payback period, NPV, IRR and PI. Analyze your results.

 Question 3: Mutually Exclusive Projects

1)      Consider the following cash flows for one-year Project A and B, with required rates of return of 10%. You have limited capital and can invest in one but one project. Which one?

§  Initial Outlay: A = $200; B = $1,500

§  Inflow:            A = $300; B = $1,900

 

2)      Example: Consider two projects, A and B, with initial outlay of $1,000, cost of capital of 10%, and following cash flows in years 1, 2, and 3:

A: $100                       $200                $2,000

B: $650                       $650                $650

 Which project should you choose if they are mutually exclusive? Independent? Crossover rate?

 

4.            Calculate NPV.

WACC (required rate of return, or discount rate):  9%

Year                                 year0             year1             year2             year3 

Cash flows                 -$1000.00      $500.00        $500.00         $500.00

($265.65)

 WACC:  9.00%

Year                            0                1                2                3    

Cash flows             -$1,000        $500          $500          $500

NPV = $265.65

 

5.            Find IRR 

Year                                 year0             year1             year2             year3 

Cash flows                 -$1000.00        $425.00       $425.00        $425.00

(13.21%)

Year                            0                1                2                3    

Cash flows             -$1,000        $425          $425          $425

IRR = 13.21%

 

6.            Find payback period

Year                                     year0         year1             year2             year3 

CF                                    -$1150             $500               $500               $500

(2.30 years)

Year                            0                1                2                3    

Cash flows             -$1,150        $500          $500          $500

Cumulative CF       -$1,150       -$650         -$150         $350

Payback = 2.30           -                 -                 -              2.30

Payback = last year before cum CF turns positive + abs. val. last neg. cum CF/CF in payback year.

 

7.            Find the changes in NPV due to increase in WACC

Old WACC:  10.00%                          New WACC:  11.25%

Year                                      0                      1                      2                      3      

Cash flows                   -$1,000            $410               $410               $410

(      -22.03 dollars  )

 Old WACC:  10.00%  New WACC:  11.25%

Year                            0                1                2                3    

Cash flows             -$1,000        $410          $410          $410

Old NPV = $19.61

New NPV = -$2.42

Change = -$22.03

 

8.            Find MIRR

WACC:  10%

Year                                 year0             year1             year2             year3 

CF                                    -$1000          $450.00         $450.00         $450.00

(14.20%)

WACC:  10.00%

Year                            0                1                2                3    

Cash flows             -$1,000        $450          $450          $450

Compounded values, FVs                         $544.50     $495.00   $450.00

TV = Sum of compounded inflows:  $1,489.50

MIRR = 14.20%                    Found as discount rate that equates PV of TV to cost, discounted back 3 years @ WACC

MIRR = 14.20%                    Alternative calculation, using Excel's MIRR function

 

9.            Find discounted payback period

WACC:  10%

Year                                 year0             year1                year2         year3 

cf                                       -$900              $500               $500               $500

(2.09 years)

WACC:  10.00%

Year                            0                1                2                3    

Cash flows              -$900         $500          $500          $500

PV of CFs               -$900         $455          $413          $376

Cumulative CF        -$900         -$445          -$32          $343

Payback = 2.09           -                 -                 -              2.09

10.          Find the crossover rate with the following information

WACC:  10.25%

Year                                 year0             year1             year2             year3             year4 

CFS                                  -$2,050            $750               $760               $770               $780

CFL                                  -$4,300          $1,500           $1,518           $1,536           $1,554

(13.27%)

WACC:  10.25%                      13.275% = crossover

Year                            0                1                2                3                4    

CFS                        -$2,050        $750          $760          $770          $780

CFL                        -$4,300      $1,500       $1,518       $1,536       $1,554

CFs-CFl                      

And then use IRR to get crossover rate

 

 

Chapter 14 Cost of Capital    

ppt 

 

A firm borrows money from bond market. The price they paid is $950 for the bond with 5% coupon rate and 10 years to mature. Flotation cost is $40.  For the new stocks, the expected dividend is $2 with a growth rate of 10% and price of $40. The flotation cost is $4. The company raises capital in equal proportions i.e. 50% debt and 50% equity (such as total $1m raised and half million is from debt market and the other half million is from stock market). Tax rate 34%. What is WACC (weighted average cost of capital, cost of capital)?

1)      Why does the firm raise capital from the financial market? Is there of any costs of doing so? What do you think?

 

2)      What is cost of debt?

Kd = rate(nper, coupon, -(price – flotation costs $)), 1000)*(1-tax rate))

 

3)      Cost of equity?

Ke = (D1/(Price – flotation costs $)) +g;

 or Ke = rrf + β*MRP))

Why no tax adjustment like cost of debt?

 

4)      WACC=Cost of capital = Weight of Debt * cost of debt + Weight of stock * cost of stock = Wd*Kd + We* Ke

WACC = Wd*Kd + We* Ke

 

Meaning: For a dollar raised in the capital market from debt holders and stockholders, the cost is WACC (or WACC * 1$ = several cents, and of course, the lower the better but many companies do not have good credits)

 

No homework for chapter 14

Simple Rules’ for Running a Business (FYI)

From the 20-page cell phone contract to the five-pound employee handbook, even the simple things seem to be getting more complicated.

Companies have been complicating things for themselves, too—analyzing hundreds of factors when making decisions, or consulting reams of data to resolve every budget dilemma. But those requirements might be wasting time and muddling priorities.

So argues Donald Sull, a lecturer at the Sloan School of Management at the Massachusetts Institute of Technology who has also worked for McKinsey & Co. and Clayton, Dubilier & Rice LLC. In the book Simple Rules: How to Thrive in a Complex World, out this week from Houghton Mifflin Harcourt HMHC -1.36%, he and Kathleen Eisenhardt of Stanford University claim that straightforward guidelines lead to better results than complex formulas.

Mr. Sull recently spoke with At Work about what companies can do to simplify, and why five basic rules can beat a 50-item checklist. Edited excerpts:

WSJ: Where, in the business context, might “simple rules” help more than a complicated approach?

Donald Sull: Well, a common decision that people face in organizations is capital allocation. In many organizations, there will be thick procedure books or algorithms–one company I worked with had an algorithm that had almost 100 variables for every project. These are very cumbersome approaches to making decisions and can waste time. Basically, any decision about how to focus resources—either people or money or attention—can benefit from simple rules.

WSJ: Can you give an example of how that simplification works in a company?

Sull: There’s a German company called Weima GmBH that makes shredders. At one point, they were getting about 10,000 requests and could only fill about a thousand because of technical capabilities, so they had this massive problem of sorting out which of these proposals to pursue.

They had a very detailed checklist with 40 or 50 items. People had to gather data and if there were gray areas the proposal would go to management. But because the data was hard to obtain and there were so many different pieces, people didn’t always fill out the checklists completely. Then management had to discuss a lot of these proposals personally because there was incomplete data. So top management is spending a disproportionate amount of time discussing this low-level stuff.

Then Weima came up with guidelines that the frontline sales force and engineers could use to quickly decide whether a request fell in the “yes,” “no” or “maybe” category. They did it with five rules only, stuff like Weima had to collect at least 70% of the price before the unit leaves the factory.”

After that, only the “maybes” were sent to management. This dramatically decreased the amount of time management spend evaluating these projects–that time was decreased by almost a factor of 10.

Or, take Frontier Dental Laboratories in Canada. They were working with a sales force of two covering the entire North American market. Limiting their sales guidelines to a few factors that made someone likely to be receptive to Frontier—stuff like “dentists who have their own practice” and “dentists with a website”—helped focus their efforts and increase sales 42% in a declining market.

WSJ: Weima used five factors—is that the optimal number? And how do you choose which rules to follow?

Sull: You should have four to six rules. Any more than that, you’ll spend too much time trying to follow everything perfectly. The entire reason simple rules help is because they force you to prioritize the goals that matter. They’re easy to remember, they don’t confuse or stress you, they save time.

They should be tailored to your specific goals, so you choose the rules based on what exactly you’re trying to achieve. And you should of course talk to others. Get information from different sources, and ask them for the top things that worked for them. But focus on whether what will work for you and your circumstances.

WSJ: Is there a business leader you can point to who has embraced the “simple rules”guideline?

Donald Sull: Let’s look at when Alex Behring took over America Latina Logistica SARUMO3.BR +1.59%, the Brazilian railway and logistics company. With a budget of $15 million, how do you choose among $200 million of investment requests, all of which are valid?

The textbook business-school answer to this is that you run the NPV (net present value) test on each project and rank-order them by NPV. Alex Behring knows this. He was at the top of the class at Harvard Business School.

But insteadhe decided what the most important goals were. You can’t achieve everything at once. In their case, their priorities were removing bottlenecks on growing revenues and minimizing upfront expenditure. So when allocating money, they had a bias for projects that both addressed the bottleneck problem and, for example, used existing tracks and trains.

Similarly, the global-health arm of the Gates Foundation gets many, many funding requests. But since they know that their goal is to have the most impact worldwide, they focus on projects in developing countries because that’s where the money will stretch farther.

 

Net Present Value NPV Explained with

NPV Example for NPV Calculation (Cartoon, video)

https://www.youtube.com/watch?v=7FsGpi_W9XI

 

 

 

 

 

Using Excel for Net Present Values, IRR's and MIRR's

https://www.youtube.com/watch?v=YgVQvn51noc

 

 

Week 7 

  Chapter 13 Return, Risk and Security Market Line

Class video

ppt

 

 

Study guide

PART I: Single stock’s risk and return

 

1. What is the probability of “Recession”?

                State                     Probability          C(%)      T(%)

                Boom                    0.3                          15           25

                Normal                 0.5                          10           20

                Recession            ???                           2              1

2. What are the expected returns? Standard deviation?

                State                     Probability          C(%)      T(%)

                Boom                    0.3                          15           25

                Normal                 0.5                          10           20

                Recession            0.2                            2              1

3. Consider the following information:

                State                     Probability          ABC, Inc. (%)

                Boom                                    .2            15

                Normal                                 .4              8

                Slowdown                           .2              4

                Recession                            .2            - 3

 What is the expected return? Standard deviation?


 

Part II: Portfolio’s risk and return

1.      Why portfolio? What to consider to set up a portfolio?

2.      Suppose you have $15,000 to invest and you have purchased securities in the following amounts:

·         $2000 of DCLK

·         $3000 of KO

·         $4000 of INTC

·         $6000 of KEI

What are your portfolio weights in each security?

3.      If the returns of the four stocks are the following:

·         DCLK:            19.69%

·         KO:       5.25%

·         INTC:  16.65%

·         KEI:    18.24%

What is the expected return on this portfolio?

What is the standard deviation of this portfolio?

4.      Consider the following information:

            State    Probability       A          B      

            Boom  .4                     30%     -5%       

            Bust     .6                     -10%    25%

Assume 50% of investment in A and 50% in B.

·         What is the expected return of this two stock portfolio?

·         What is the standard deviation?

5.      Consider the following information:

            State         Probability              X                     Z

            Boom              .25                   15%                 10%

            Normal            .60                   10%                 9%

            Recession        .15                   5%                   10%

·         What are the expected return of a portfolio with an investment of $6,000 in asset X and $4,000 in asset Z?

·         Standard deviation?

6.       What type of risk should you consider for your portfolio?

·         The Boston and Waco’s explosions will have a impact in your portfolio?

·         What about the nationwide alert of terrorist attack?

·         Mathew hurricane?

Can you see the benefits of diversification?

7.       What are systematic risk and non-systematic risk?

What is total risk?

 Which one is important to your portfolio?

Which one should be totally irrelevant?

8.      Why can we use Beta to measure systematic risk?

Where to find Beta? How to calculate Beta?

9.      Consider the following information:                                     

                        Standard Deviation                 Beta

            Security C                   20%                 1.25

            Security K                   30%                 0.95

·         Which security has more total risk?

·         Which security has more systematic risk?

·         Which security should have the higher expected return? (high risk high return, but which risk?)

10. Consider the previous example with the following four securities:

            Security                       Weight                        Beta

            DCLK                         .133                 2.685

            KO                              .2                     0.195

            INTC                           .267                 2.161

            KEI                             .4                     2.434

What is the portfolio beta?

 

11.

The above is the SML (Security market line).

·         What is intercept?

·         What is slope?

·         When beta is 1, which portfolio is it?

·         When Beta is 0, which portfolio?

·         Where is Apple?

·         Where is Google?

·         Where is Walmart?

·         Where is S&P500 index (SPIDER)?

12. CAPM model: E(RA) = Rf + bA(E(RM) – Rf)

If you draw a graph of Beta * return, do you get SML?

Consider the betas for each of the assets given earlier. If the risk-free rate is 4.15% and the market risk premium is 8.5%,

What is the expected return for each?

 

Why do we use beta, not standard deviation anymore?

 

 

Homework (will not be collected or graded)

1.            AAA firm’s stock has a 0.25 possibility to make 30.00% return, a 0.50 chance to make 12% return, and a 0.25 possibility to make -18% return.  Calculate expected rate of return (9%)   Prob.

Conditions      Prob.                 Return              × Return

Good               0.25                30.0%              7.50%

Average           0.50                12.0%              6.00%

Poor                 0.25               -18.0%             -4.50%

                        1.00                                        9.00%   = Expected return

 

2.            If investors anticipate a 7.0% risk-free rate, the market risk premium = 5.0%, beta = 1, Find the return. (12%)

Risk free rate                                                                 7.00%

Beta:                                                                                 1.00

Required return = rRF + b(RPM) = r* + IP + b(RPM) =   12.00%

 

3.            AAA firm has a portfolio with a value of $200,000 with the following four stocks. Calculate the beta of this portfolio (0.988)

                                 Stock                                               value                                         β

                                     A                                              $ 50,000.00                              0.9500

                                     B                                                  50,000.00                              0.8000

                                     C                                                  50,000.00                              1.0000

                                     D                                                 50,000.00                              1.2000

                                 Total                                         $200,000.00

  Stock     Investment       Percentage            Beta               Product

     A          $50,000             25.00%              0.95                0.238

     B          $50,000             25.00%              0.80                0.200

     C          $50,000             25.00%              1.00                0.250

     D          $50,000             25.00%              1.20                0.300

  Total     $200,000           100.00%                                     0.988  = Portfolio Beta

 

 

4.            A portfolio with a value of $40,000,000 has a beta = 1. Risk free rate = 4.25%, market risk premium = 6.00%. An additional $60,000,000 will be included in the portfolio. After that, the expected return should be 13%. Find the average beta of the new stocks to achieve the goal  (1.76)

 Old funds (millions)                 $40.00            40.00%

New funds (millions)                $60.00            60.00%

     Total new funds                 $100.00          100.00%

 

Beta on existing portfolio             1.00

Risk-free rate                             4.25%

Market risk premium                 6.00%

Desired required return            13.00%      13% = rRF + b(RPM); b = (13% − rRF)/RPM

Required new portfolio beta     1.4583      beta = (return − risk-free)/RPM

Required beta on new stocks        1.76      Req b = (old$/total$) × old b + (new$/total$) × new b

 

5. Stock A has the following returns for various states of the economy:

 State of

the Economy         Probability       Stock A's Return

Recession              10%                 -30%

Below Average     20%                 -2%

Average                 40%                 10%

Above Average     20%                 18%

Boom                    10%                 40%

 

Stock A's expected return is? Standard deviation?

 

6.       Collectibles Corp. has a beta of 2.5 and a standard deviation of returns of 20%. The return on the market portfolio is 15% and the risk free rate is 4%. What is the risk premium on the market?

 

7.       An investor currently holds the following portfolio:

                                       Amount

                                      Invested

8,000 shares of Stock    A $16,000    Beta = 1.3

15,000 shares of Stock  B $48,000    Beta = 1.8

25,000 shares of Stock  C $96,000    Beta = 2.2

 The beta for the portfolio is?

 

 9. Assume that you have $165,000 invested in a stock that is returning 11.50%, $85,000 invested in a stock that is returning 22.75%, and $235,000 invested in a stock that is returning 10.25%. What is the expected return of your portfolio?

 

10.  If you hold a portfolio made up of the following stocks:

            Investment Value Beta

Stock A      $8,000           1.5

Stock B      $10,000          1.0

Stock C       $2,000             .5

 What is the beta of the portfolio?

 

 11.              You own a portfolio consisting of the stocks below.

Stock                     Percentage of portfolio                 Beta

1.                                  20%                                                         1

2.                                  30%                                                         0.5

3.                                 50%                                                          1.6

The risk free rate is 3% and market return is 10%.

a.                   Calculate the portfolio beta.

b.                  Calculate the expected return of your portfolio.

 

12.  An investor currently holds the following portfolio:

                                       Amount

                                      Invested

8,000 shares of Stock    A $10,000    Beta = 1.5

15,000 shares of Stock  B $20,000    Beta = 0.8

25,000 shares of Stock  C $20,000    Beta = 1.2

Calculate the beta for the portfolio.

 

 

 

image022.jpg

 

image023.jpg

 

image024.jpg

The Importance of Diversification

https://www.youtube.com/watch?v=RoqAcdTFVFY

 

 

 Understanding Diversification in Stock Trading to Avoid Losses

https://www.youtube.com/watch?v=FrmoXog9zig

 

 

 

How to Build a Portfolio | by Wall Street Survivor

https://www.youtube.com/watch?v=V48NECmT3Ns

 

Week 8

  Chapters 2, 3 Financial statement analysis

Ppt chapter 2

Ppt chapter 3

 

Templates (My contribution)

Balance Sheet

Income statement

Cash flow statements

 

Cash flow animation video

Experts Explain: Financial Statements (well explained, video)

 

Balance Sheet

2011

2010

2011

2010

Cash

696

58

A/P

307

303

A/R

956

992

N/P

26

119

Inventory

301

361

Other CL

1,662

1,353

Other CA

303

264

Total CL

1,995

1,775

Total CA

2,256

1,675

LT Debt

843

1,091

Net FA

3,138

3,358

C/S

2,556

2,167

Total Assets

5,394

5,033

Total Liab. & Equity

5,394

5,033

 

Income Statement

Revenues

$5,000

Cost of Goods Sold

(2,006)

Expenses

(1,740)

Depreciation

(116)

EBIT

1,138

Interest Expense

(7)

Taxable Income

1,131

Taxes

(442)

Net Income

$689

EPS

$3.61

Dividends per share

$1.08

 

Cash Flow Statement

Cash, beginning of year

58

  Financing Activity

Operating Activity

      Decrease in Notes Payable

-93

     Net Income

689

      Decrease in LT Debt

-248

     Plus: Depreciation

116

      Decrease in C/S (minus RE)

-94

              Decrease in A/R

36

      Dividends Paid

-206

               Decrease in Inventory

60

        Net Cash from Financing

-641

               Increase in A/P

4

               Increase in Other CL

309

  Net Increase in Cash

638

      Less: Increase in other CA

-39

      Net Cash from Operations

1,175

  Cash End of Year

696

Investment Activity

     Sale of Fixed Assets

104

     Net Cash from Investments

104

 

Exercises:

image031.jpg

 

image032.jpg

 

Solution (Excel Solution)

 

 

Cash Flow Statement   Answer

calculation for changes

Cash at the beginning of the year

2060

Cash from operation

net income

3843

plus depreciation

1760

  -/+ AR 

-807

807

  -/+ Inventory

-3132

3132

 +/- AP

1134

1134

net change in cash from operation

2798

Cash from investment

 -/+ (NFA+depreciation)

-1680

1680

net change in cash from investment

-1680

Cash from financing

 +/- long term debt

1700

1700

 +/- common stock

2500

2500

 - dividend

-6375

6375

net change in cash from investment

-2175

Total net change of cash

-1057

Cash at the end of the year

1003

 

image029.jpg

 

 

image030.jpg

Week 8

Final  Exam Questions (Due on 12/18)